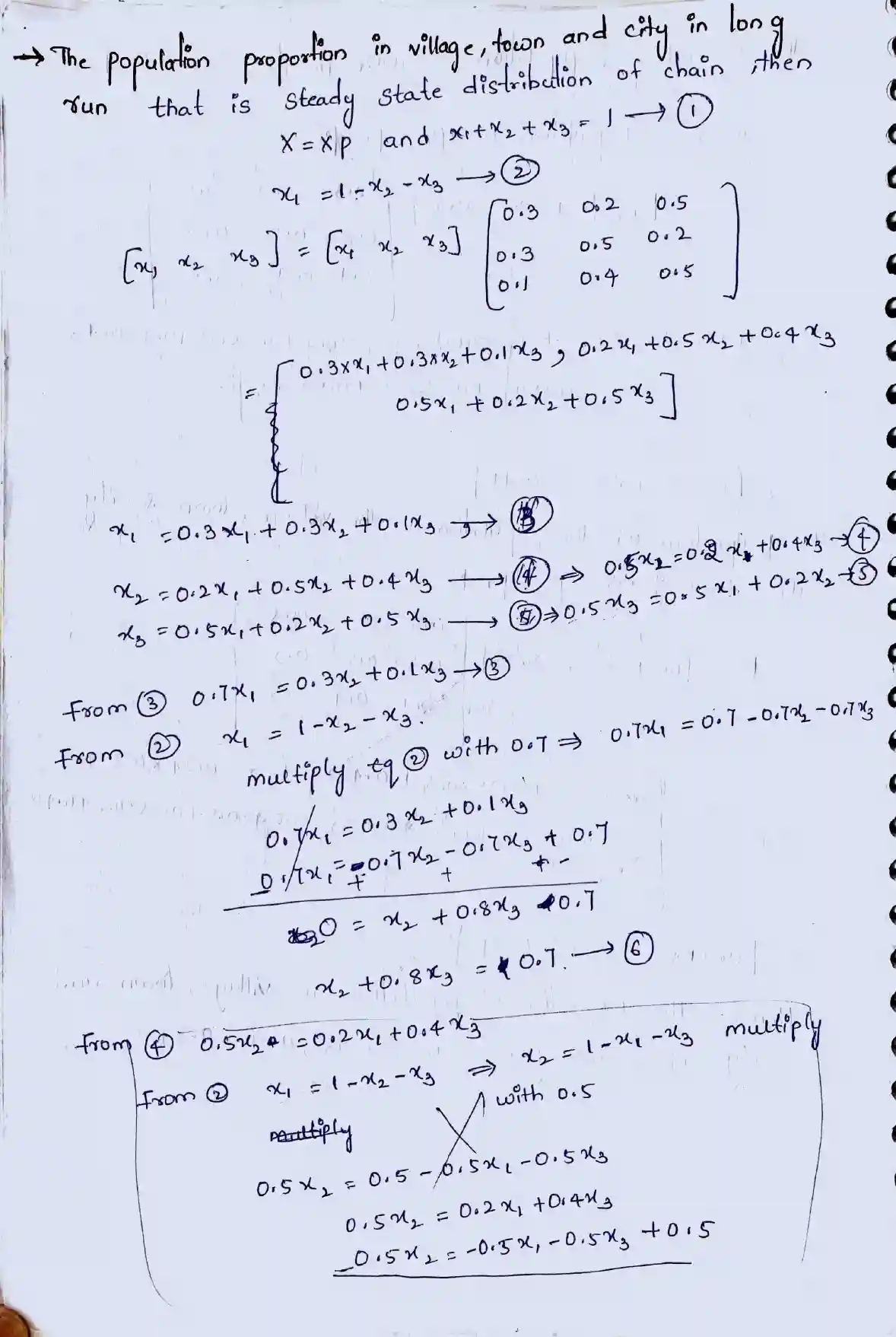
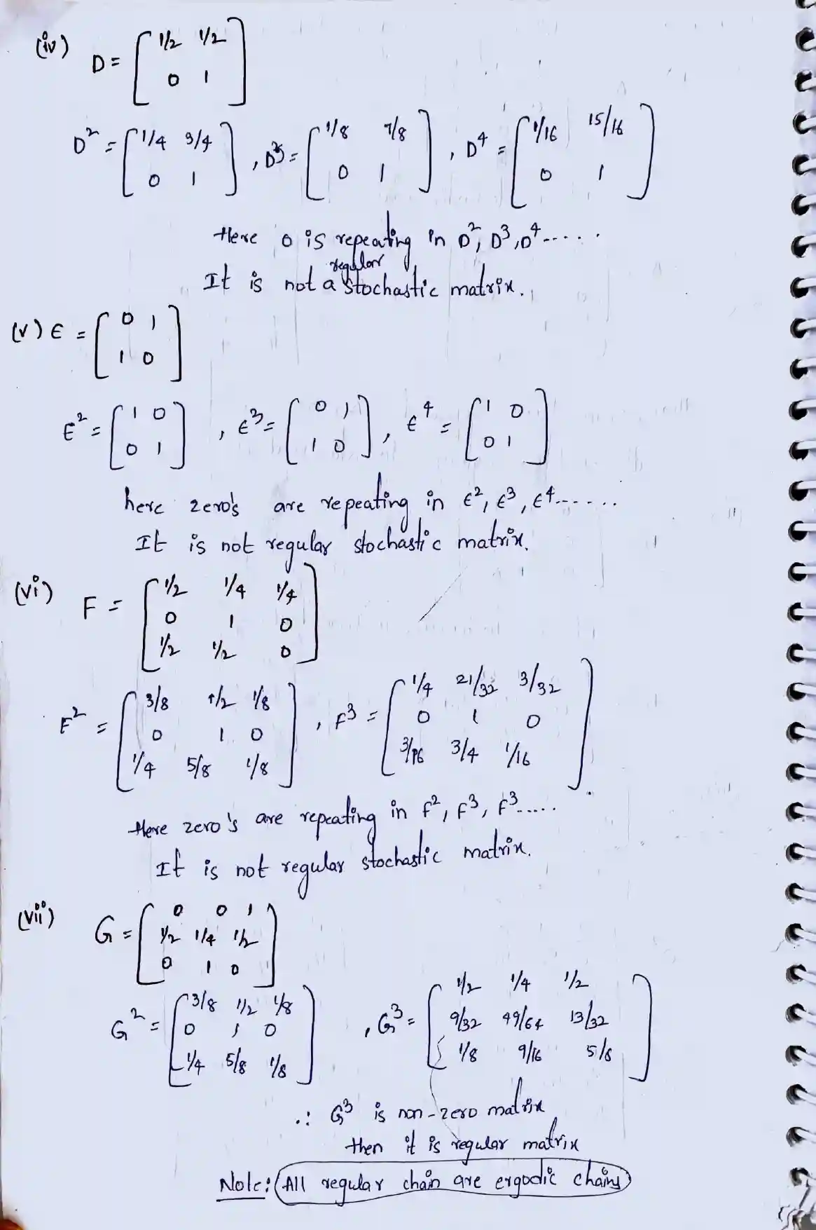
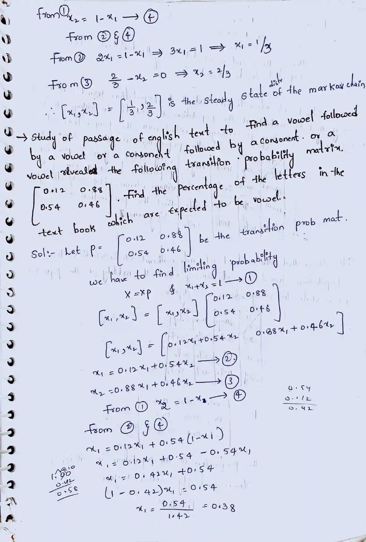
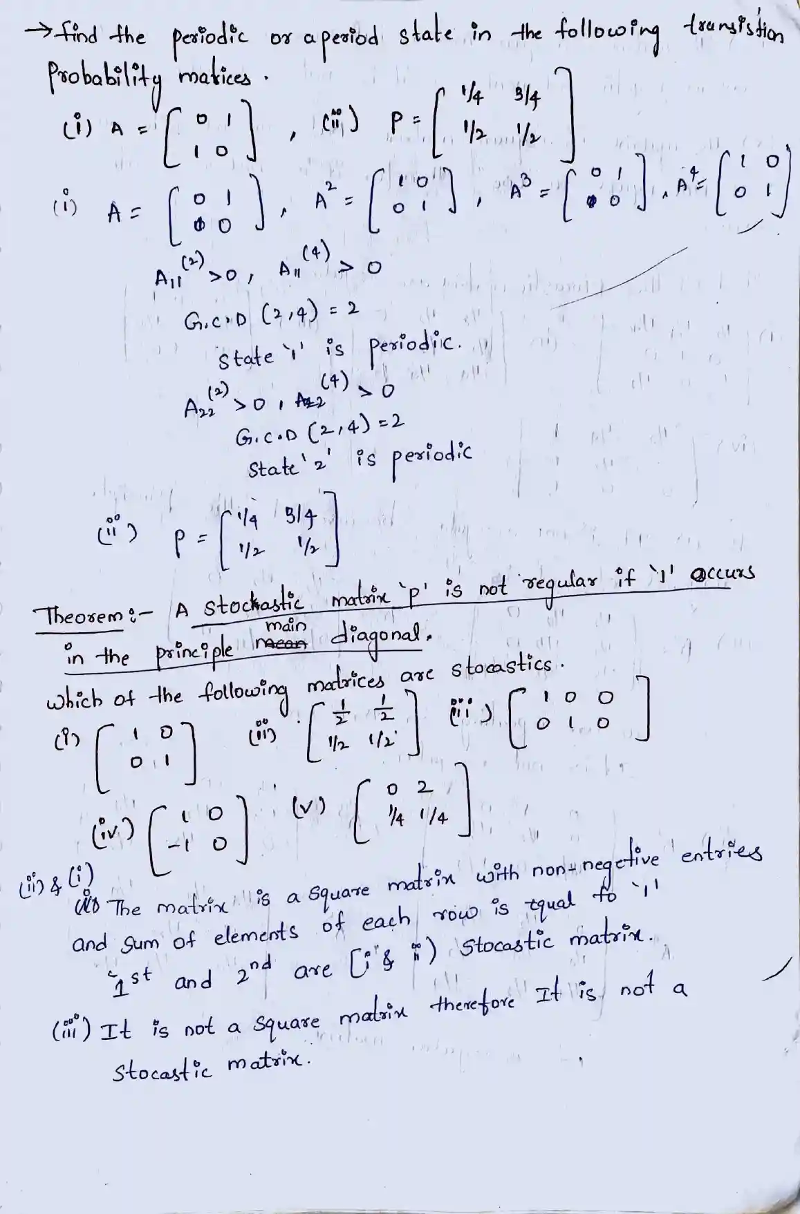
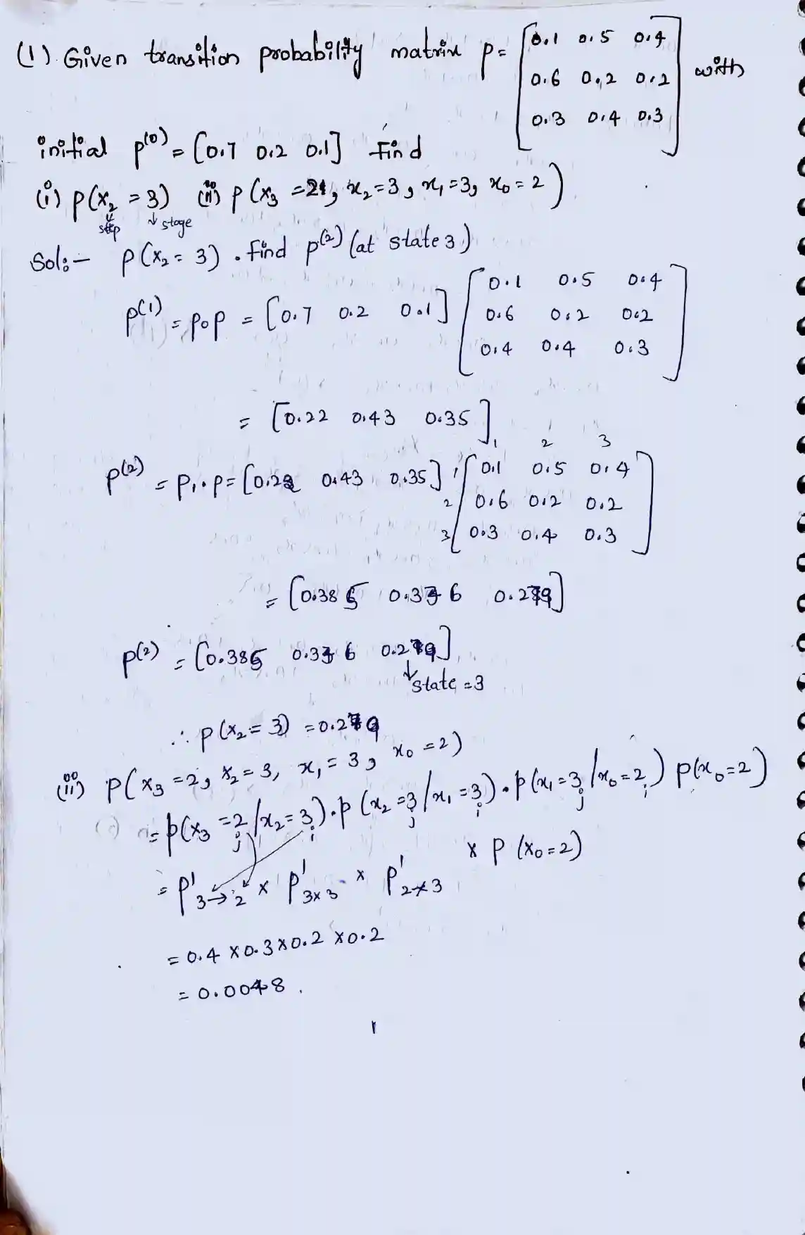
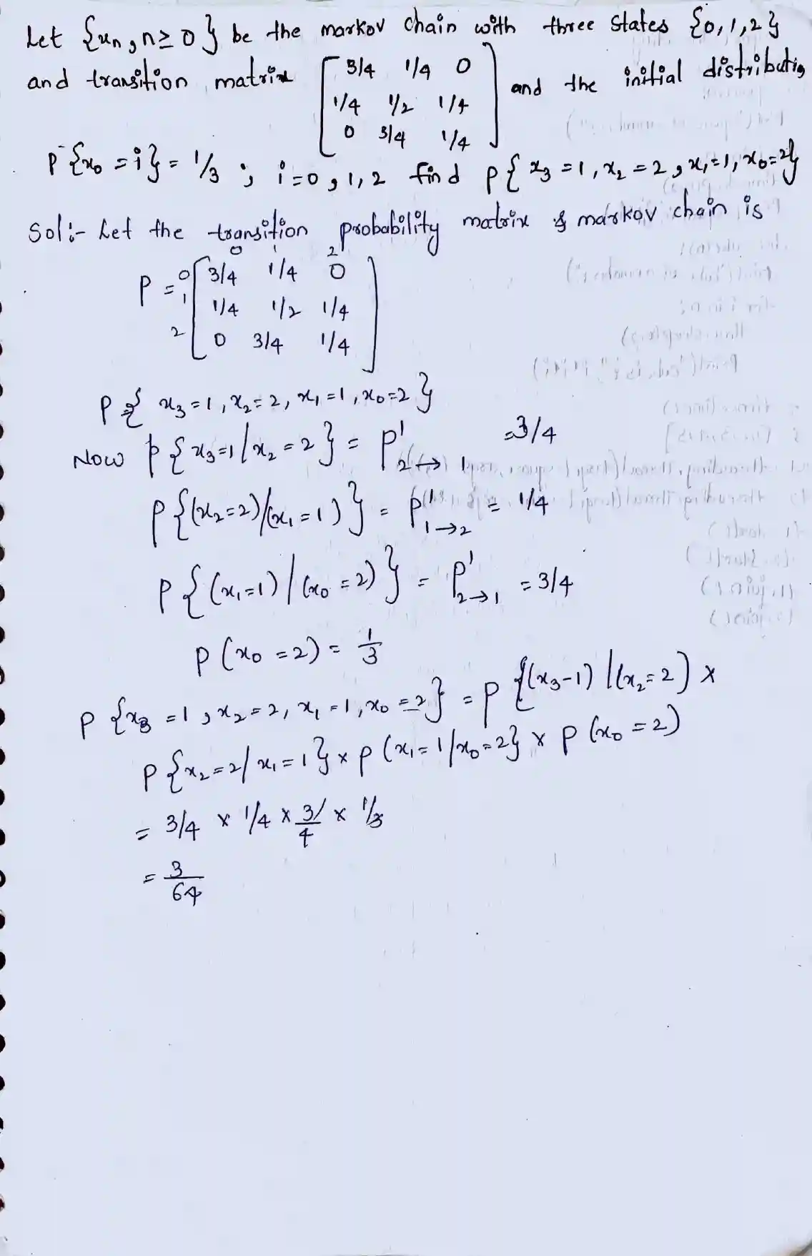
Stochastic Processes
Notes: P and S Notes-1
Notes: P and S Notes-1