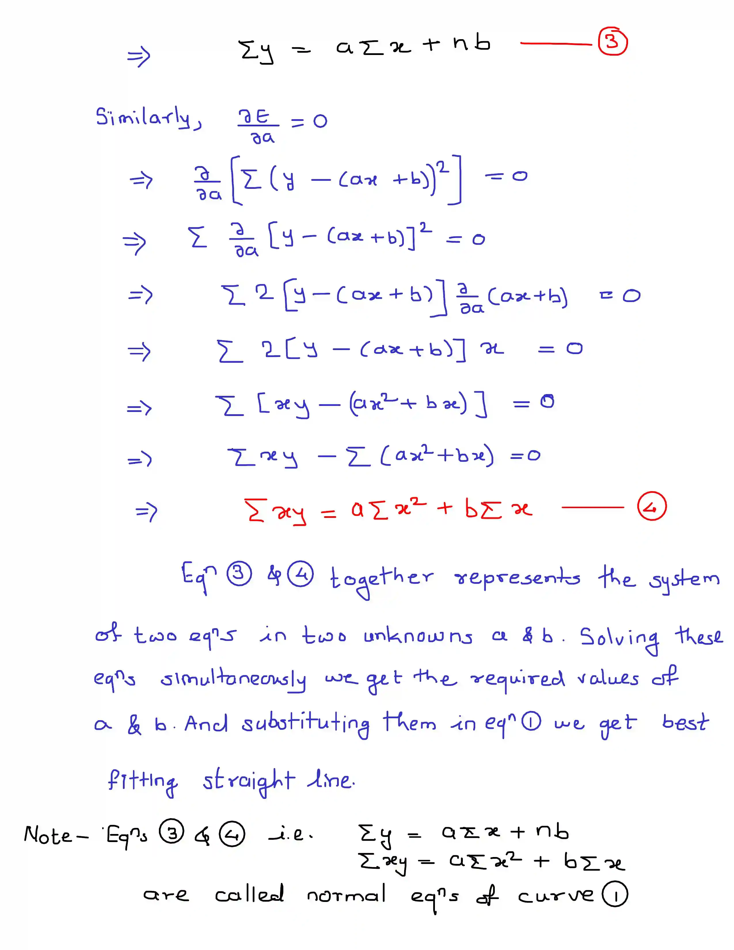
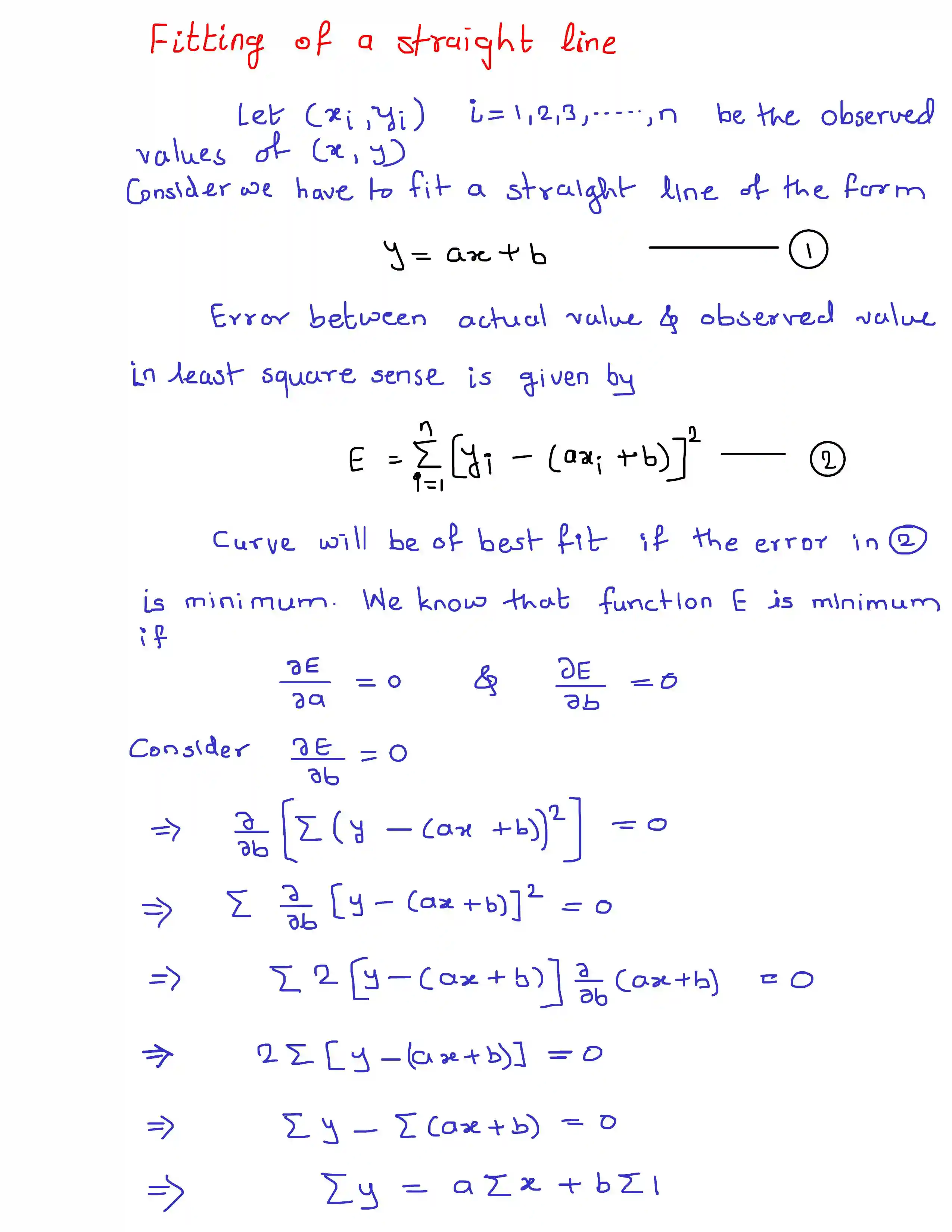
Curve Fitting
Notes: P and S Notes-1
Notes: P and S Notes-1