Home
Digital Notes
Hand Notes
Back
All Chapters
All Notes
All Subjects
All Branches
All Fields
All Chapters
Hand Notes
Anova
Correlation Analysis
Curve Fitting
GCD and Prime Factorisation
Probability
Probability distributions
Random Variable
Sampling Distribution (current)
Stochastic Processes
Testing of Hypothesis
All Notes Sets
BEE Notes-1
C Notes-1
CD Notes-1
COA Notes-1
DAA Notes-1
DM Notes-1
DSP Notes-1
ES Notes-1
JAVA Notes-1
LDIC Notes-1
P and S Notes-1 (current)
TOA Notes-1
COA Notes-2
DM Notes-2
Maths Notes-2
P and S Notes-2
PHY Notes-2
PTSP Notes-1
DE Notes-1
DM Notes-3
EDC Notes-1
EMF Notes-1
Manikantta Reddy Sir's Notes
NA Notes-1
SS Notes-1
DM Notes-4
Shrenik jain sir's notes
DM Notes-5
Notes-1
Notes-1
PHY Notes-1
All Subjects
Engineering Physics
Probability And Statistics
C Programming
Engineering Mathematics (current)
All Branches
Civil Engineering
Computers Science And Engineering
Electrical And Electronics Engineering
Electronics and Communication Engineering
Mechanical Engineering (current)
All Fields
ENGINEERING
← Previous
All Chapters
Next →
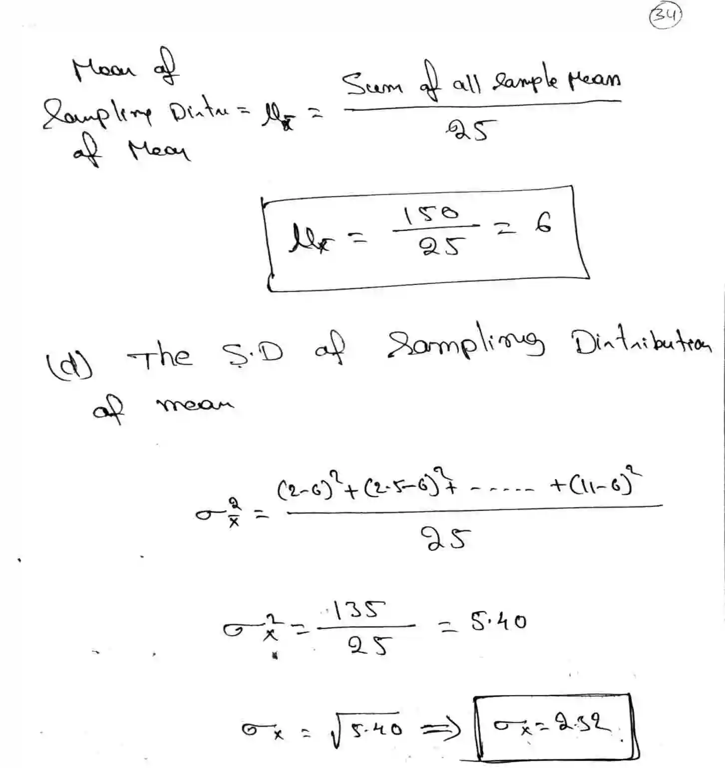
Sampling Distribution
Notes:
P and S Notes-1
← Previous Chapter
All Chapters
Next Chapter →