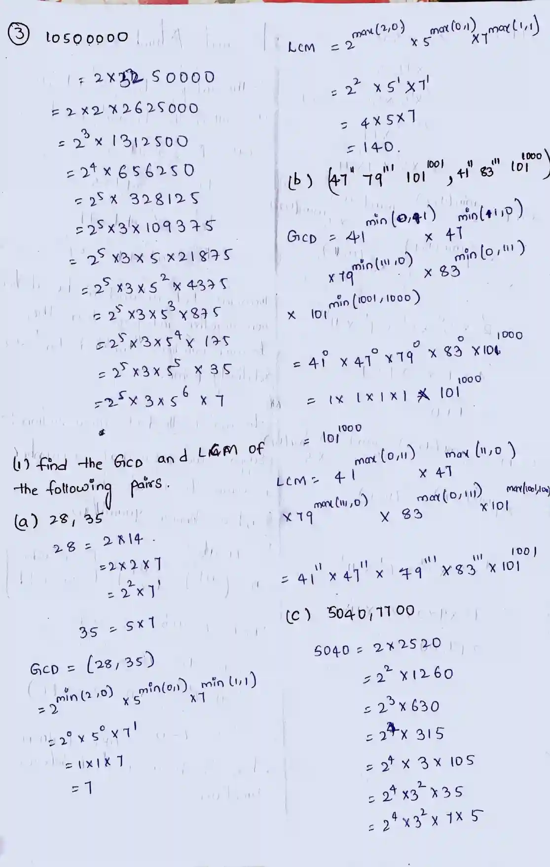
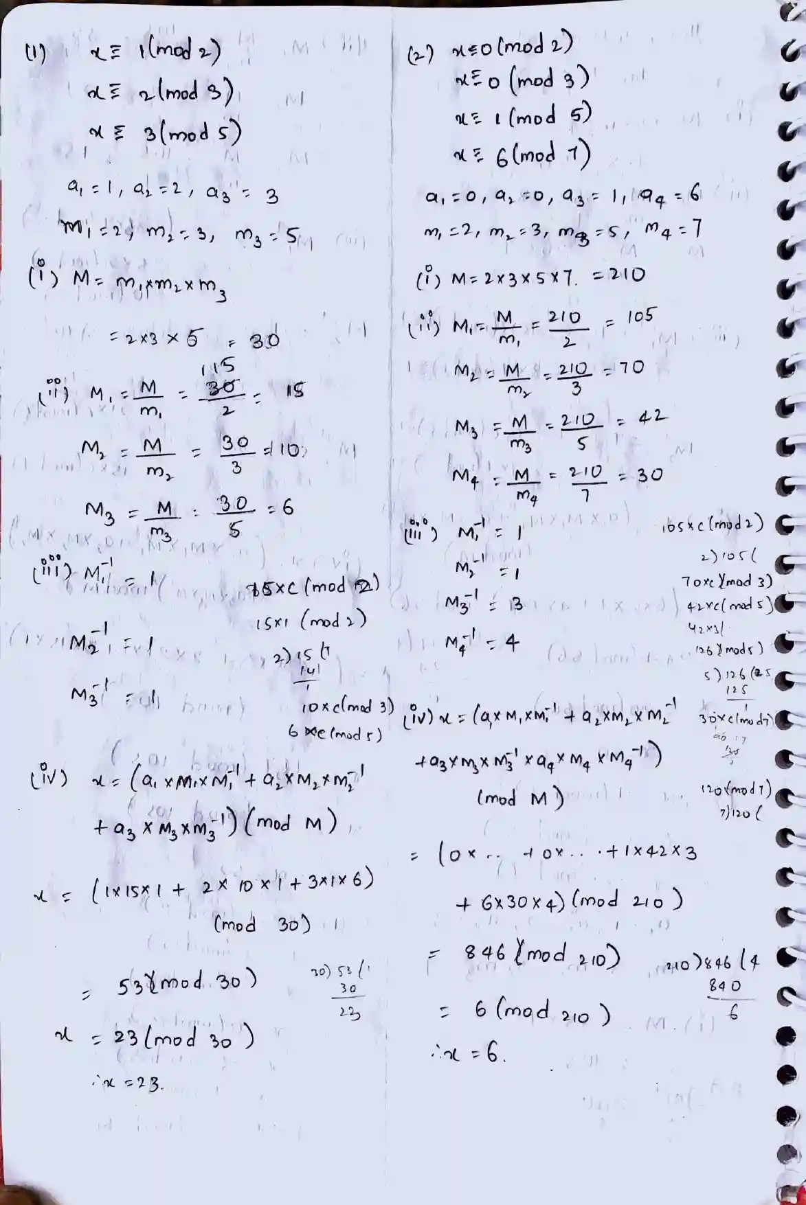
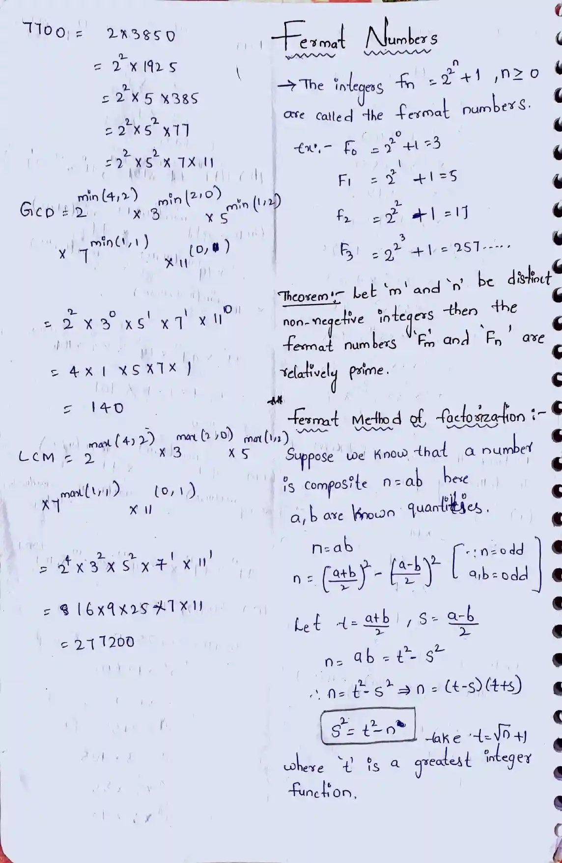
GCD and Prime Factorisation
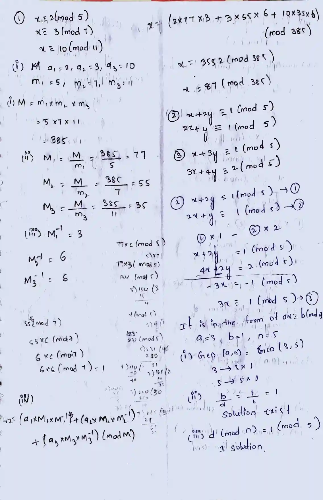
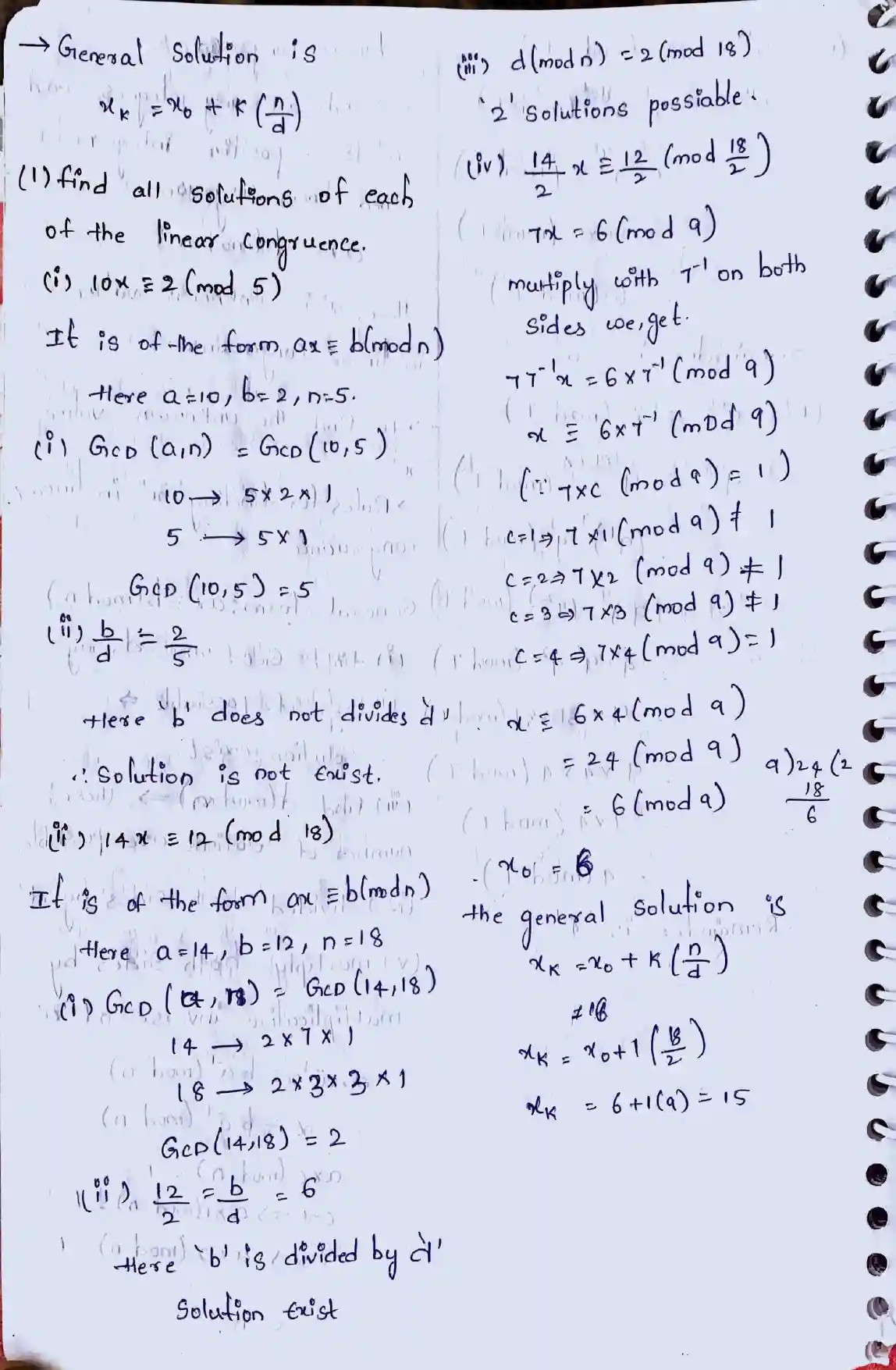
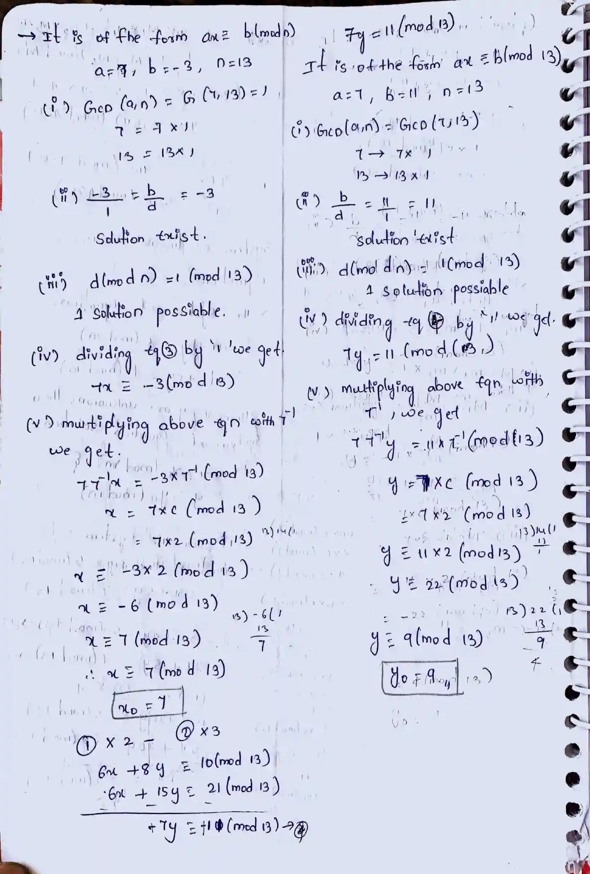
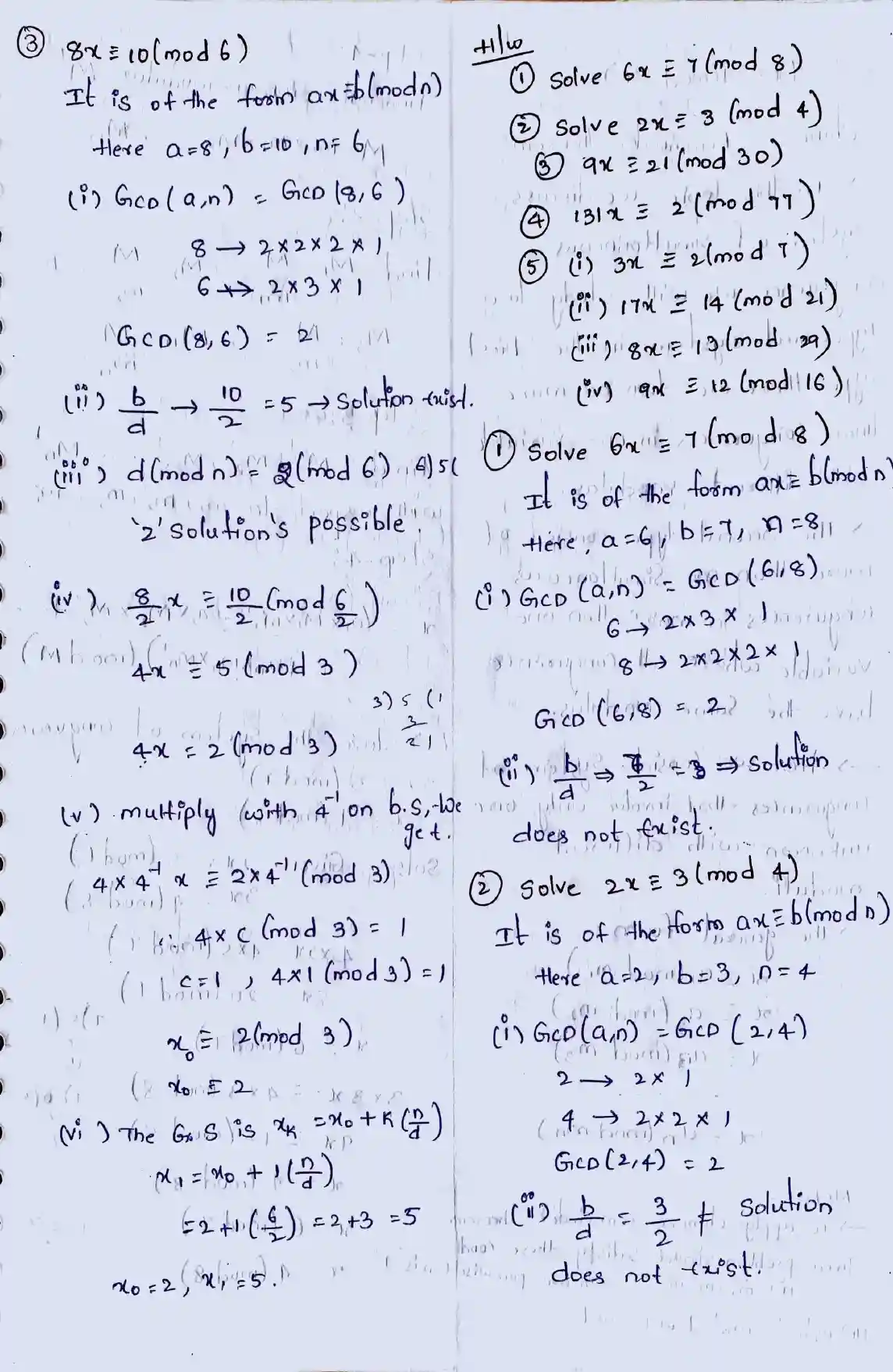
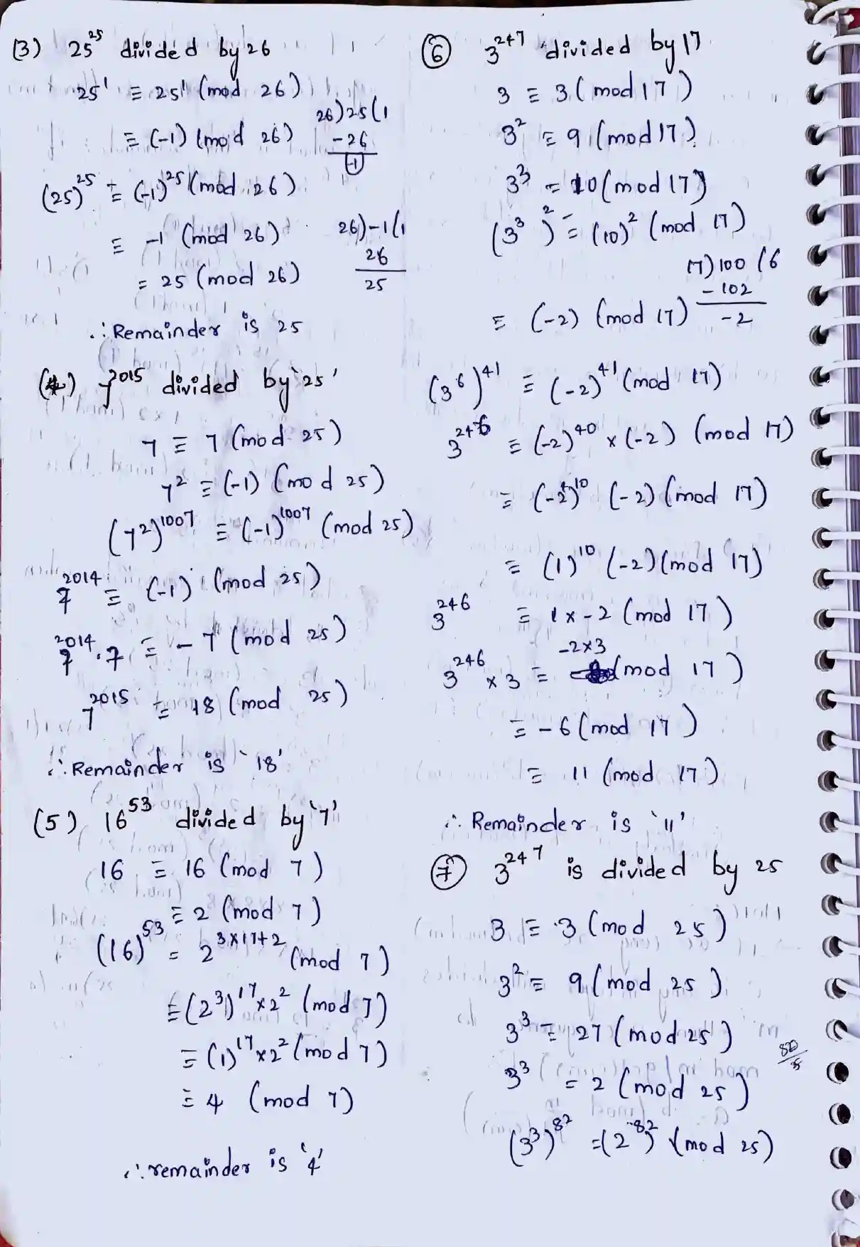
Notes: P and S Notes-1
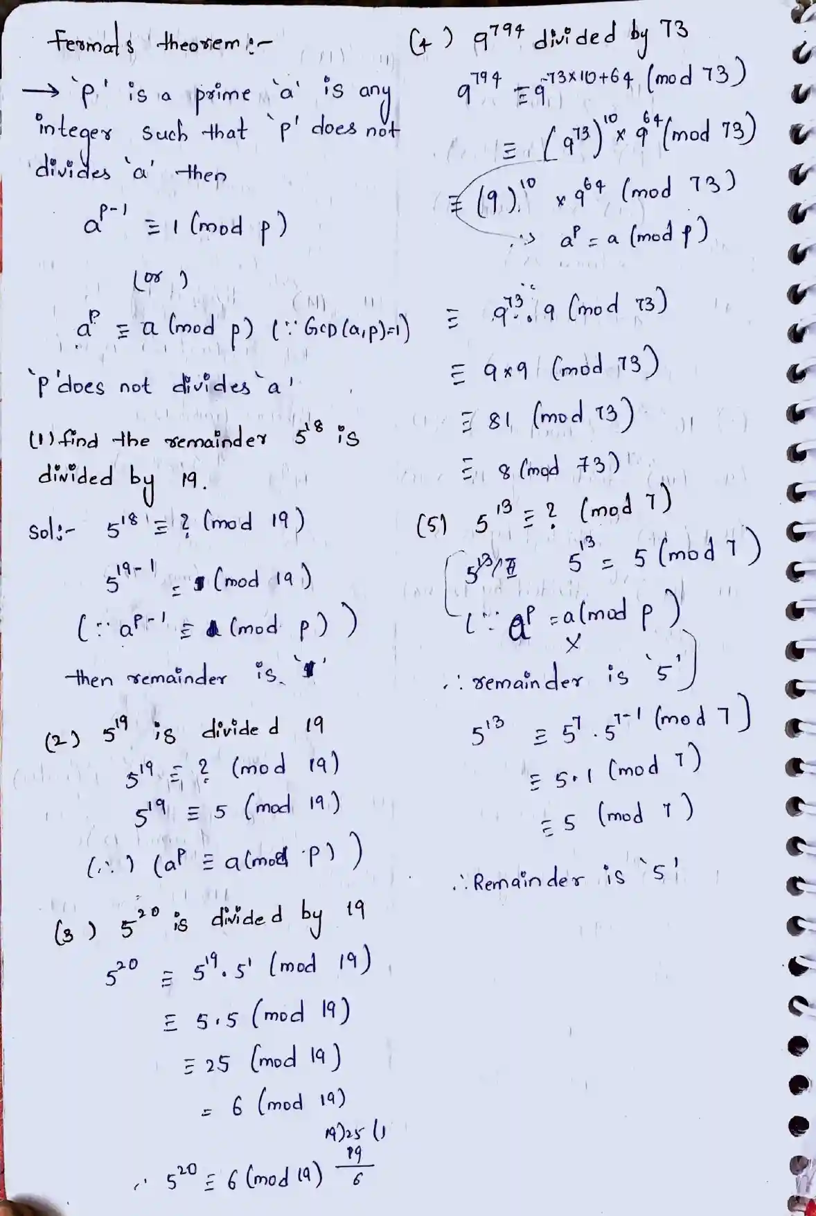
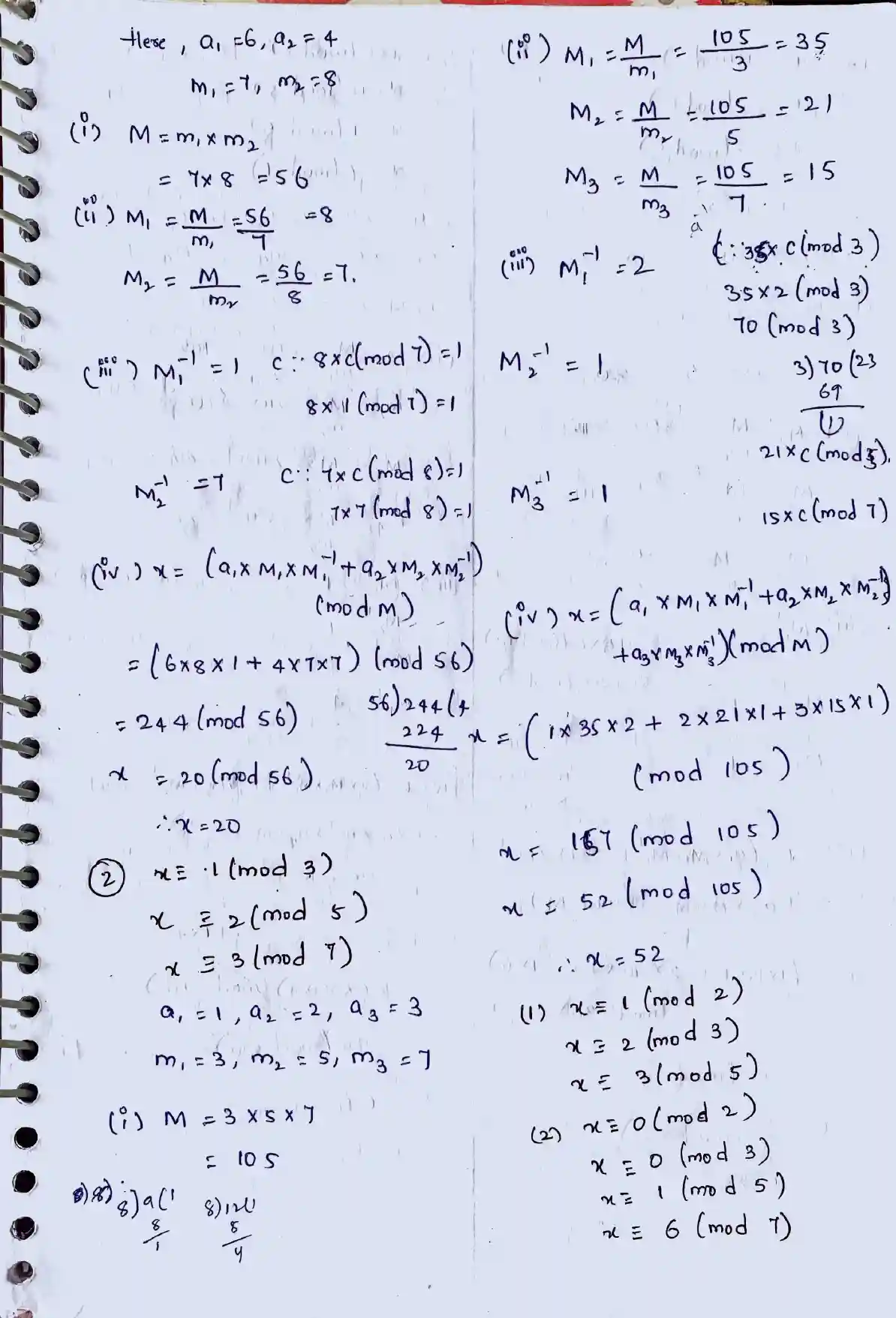
Notes: P and S Notes-1