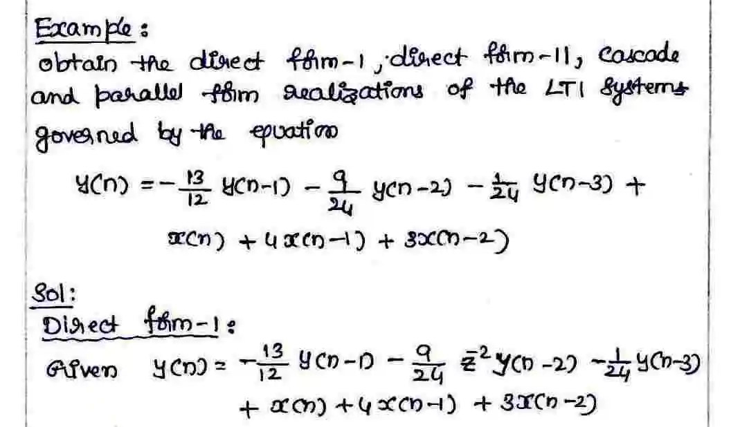
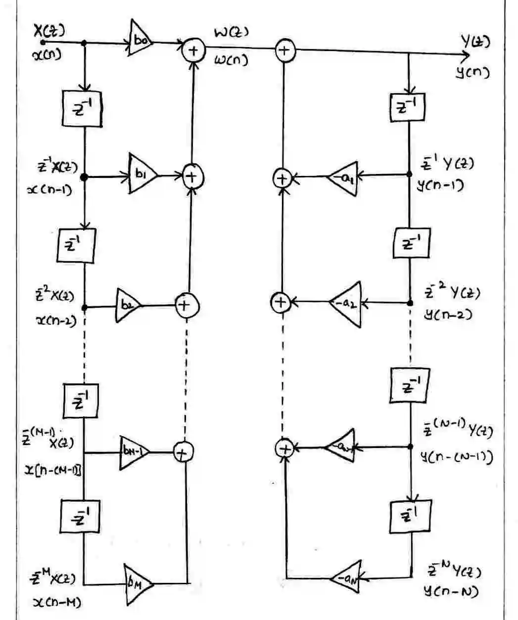
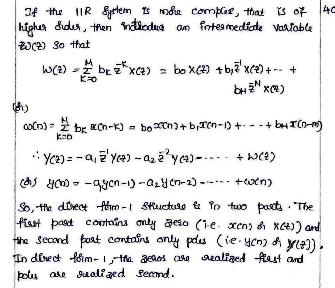
Realization
Notes: DSP Notes-1
Notes: DSP Notes-1