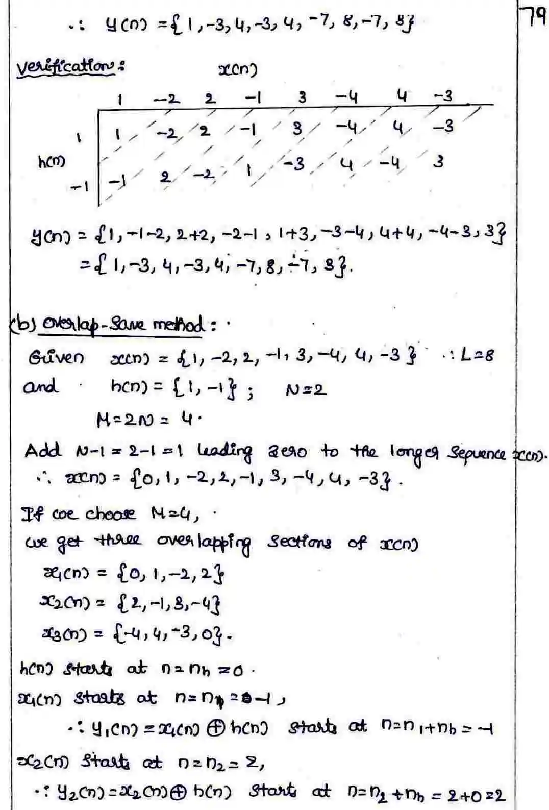
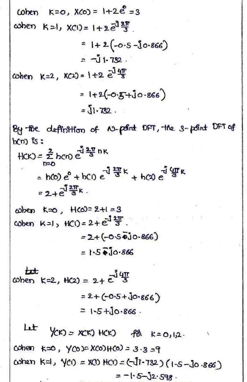
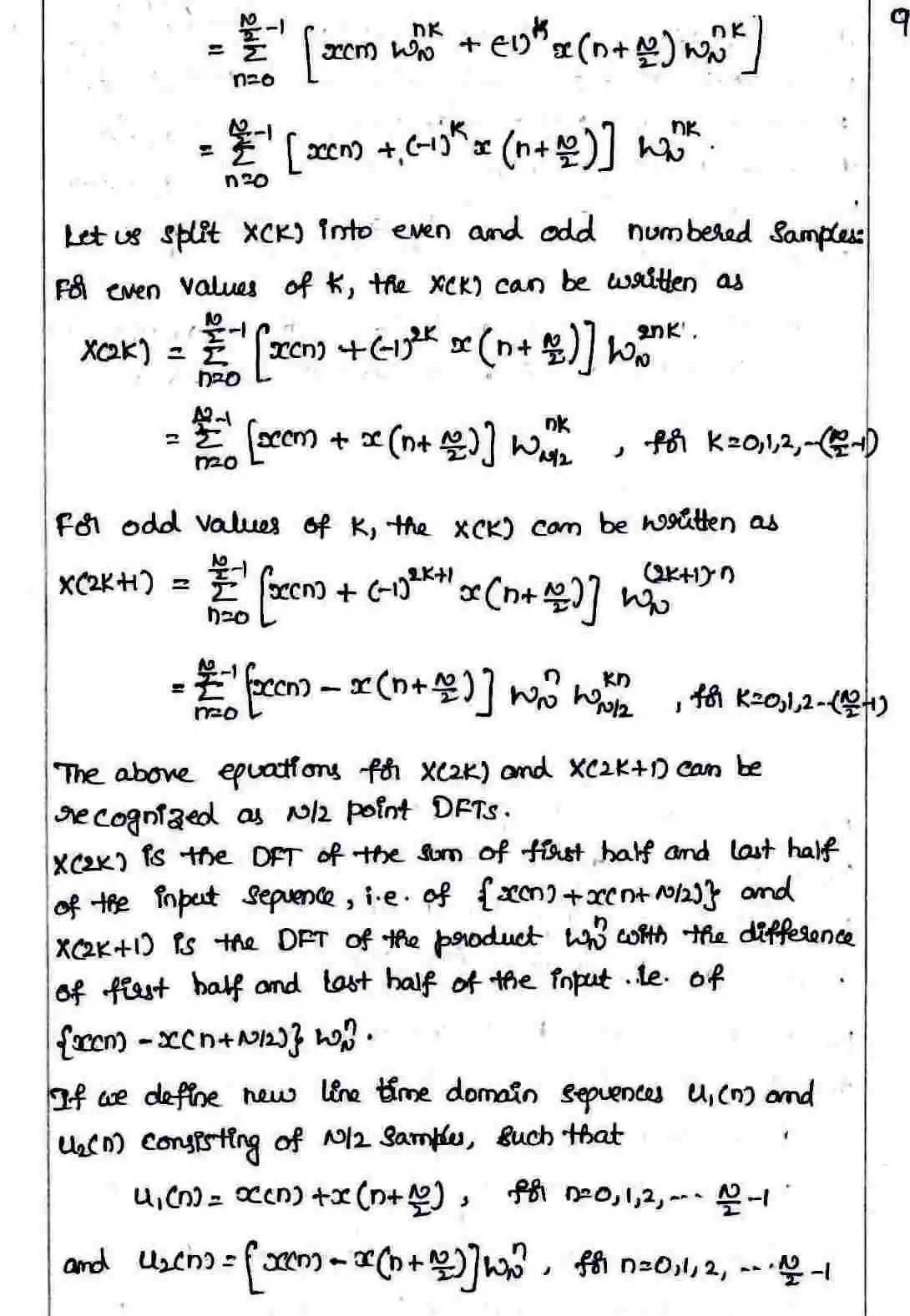
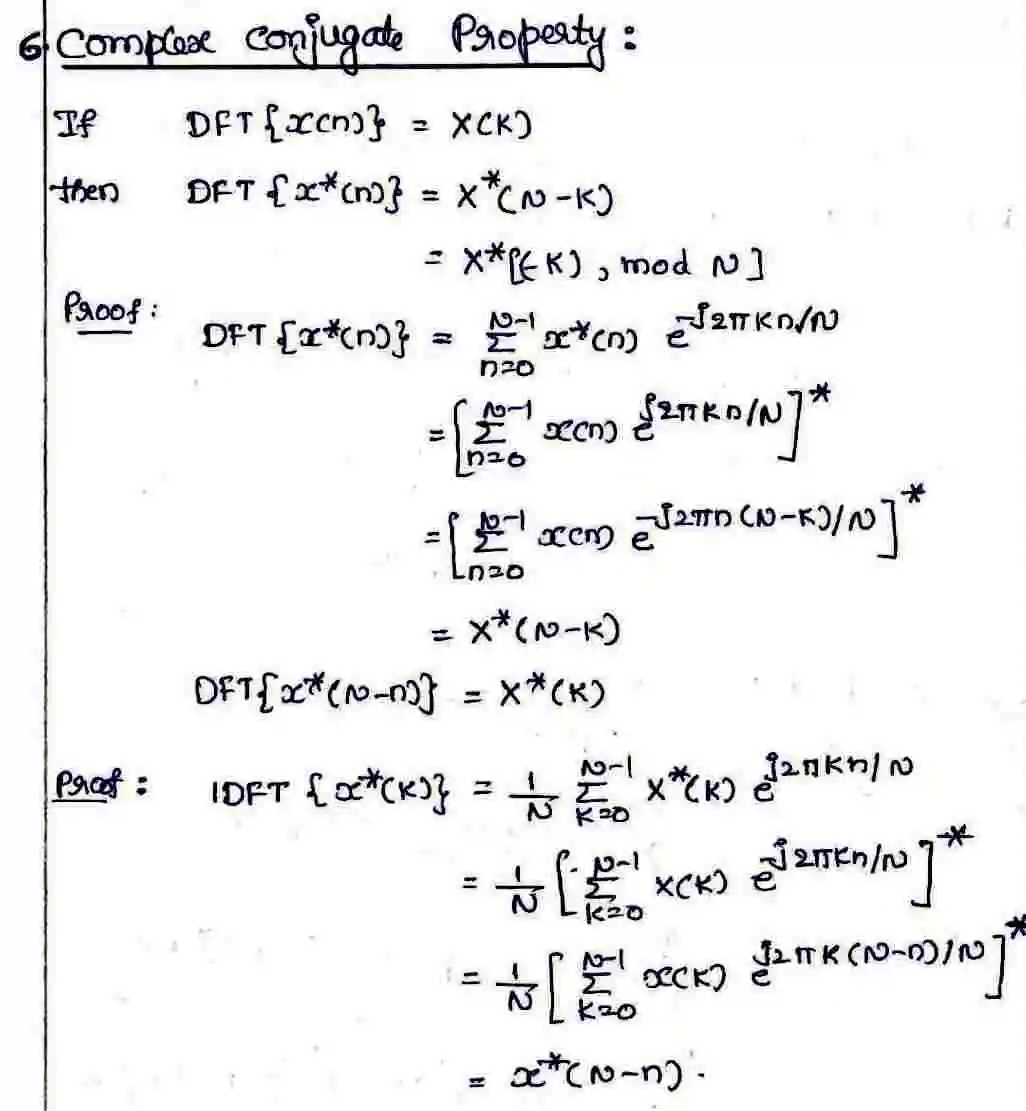
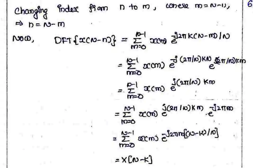
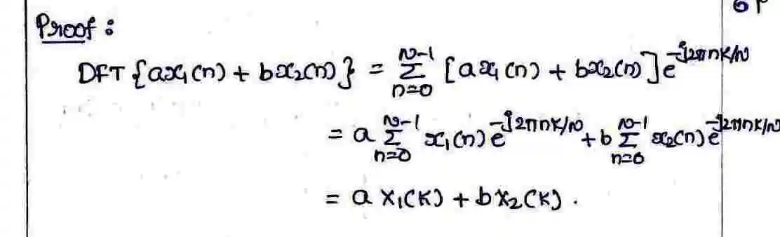
Discrete Fourier Transform
Notes: DSP Notes-1
Notes: DSP Notes-1