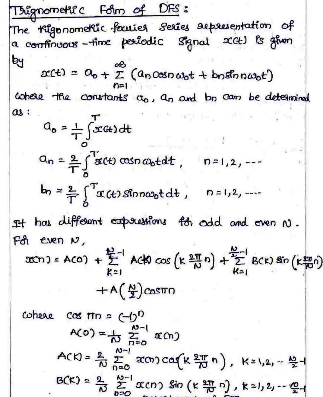
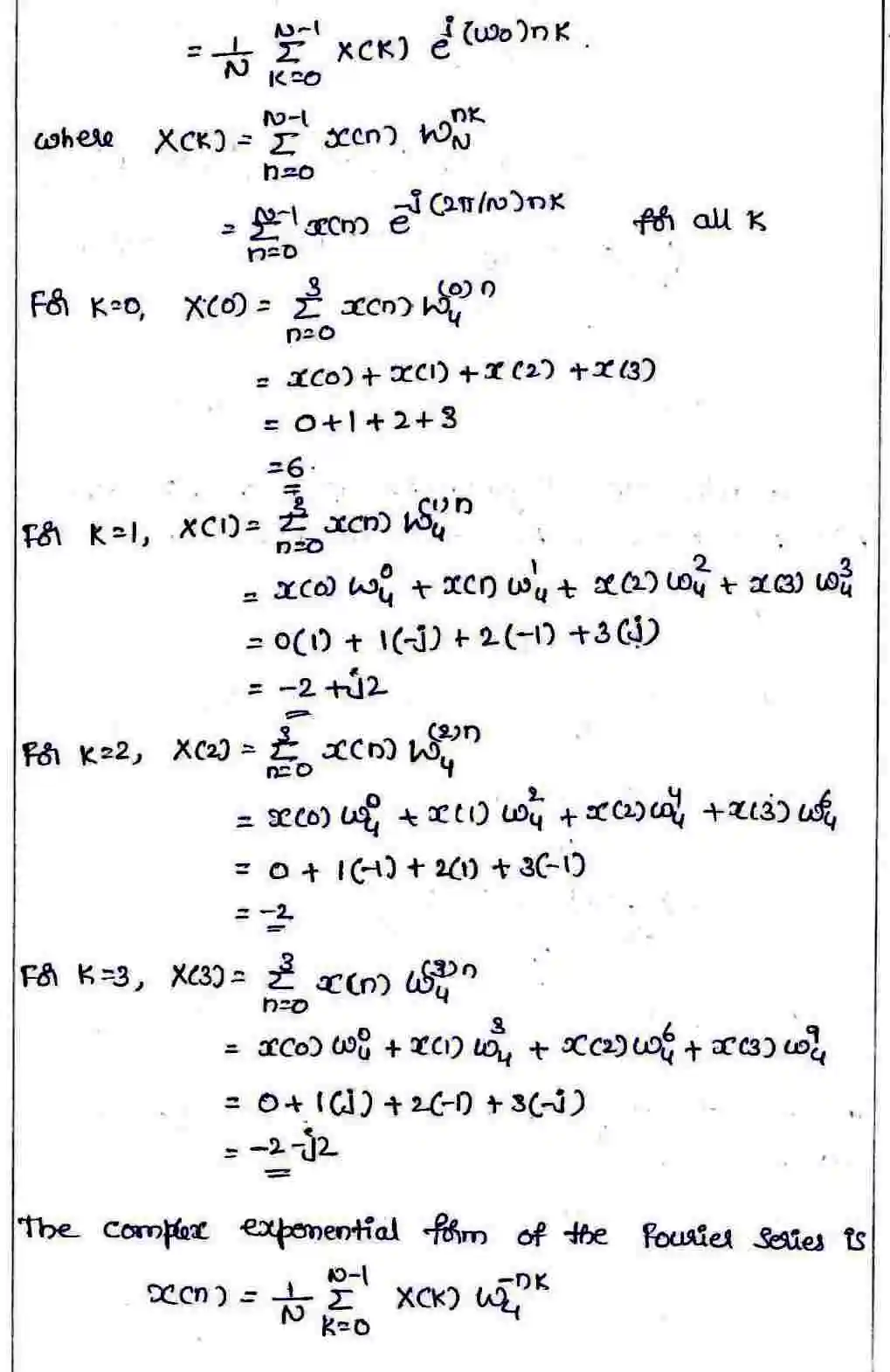
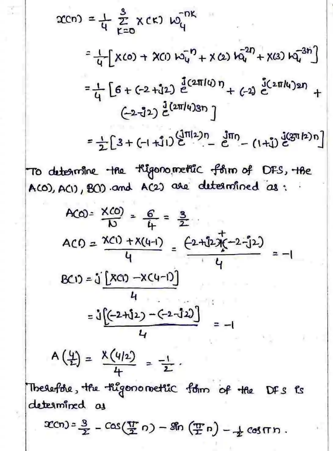
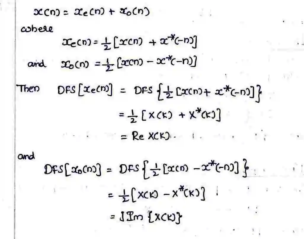
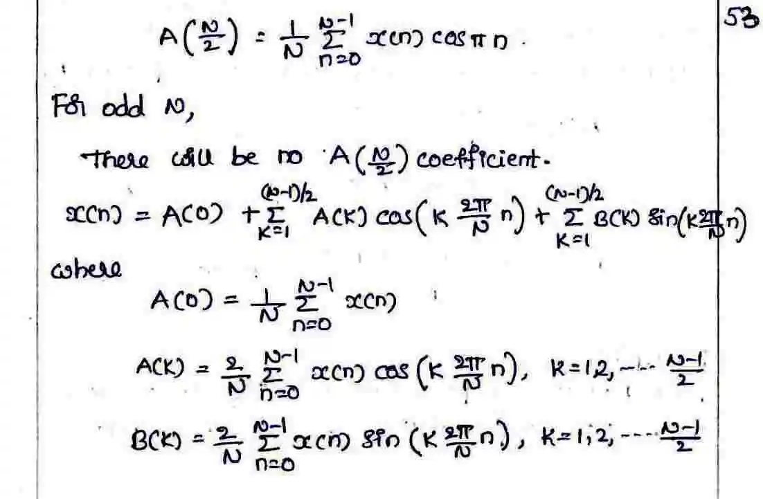
Discrete Fourier Series
Notes: DSP Notes-1
Notes: DSP Notes-1