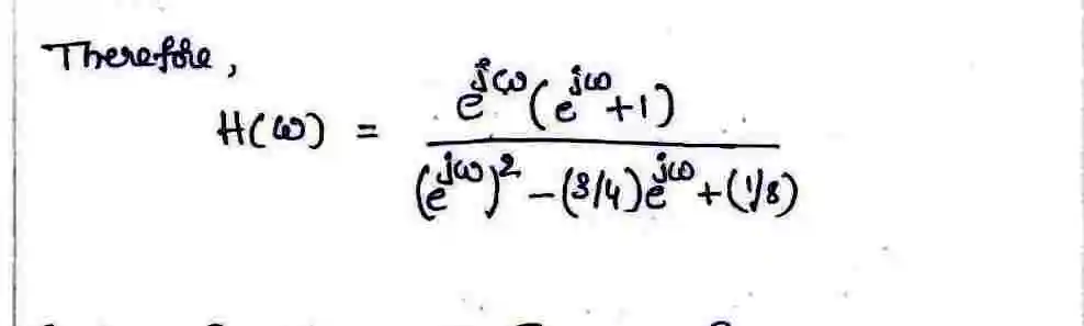
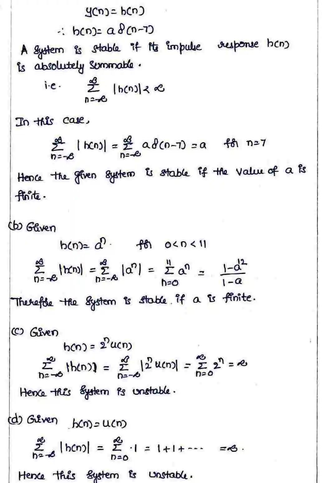
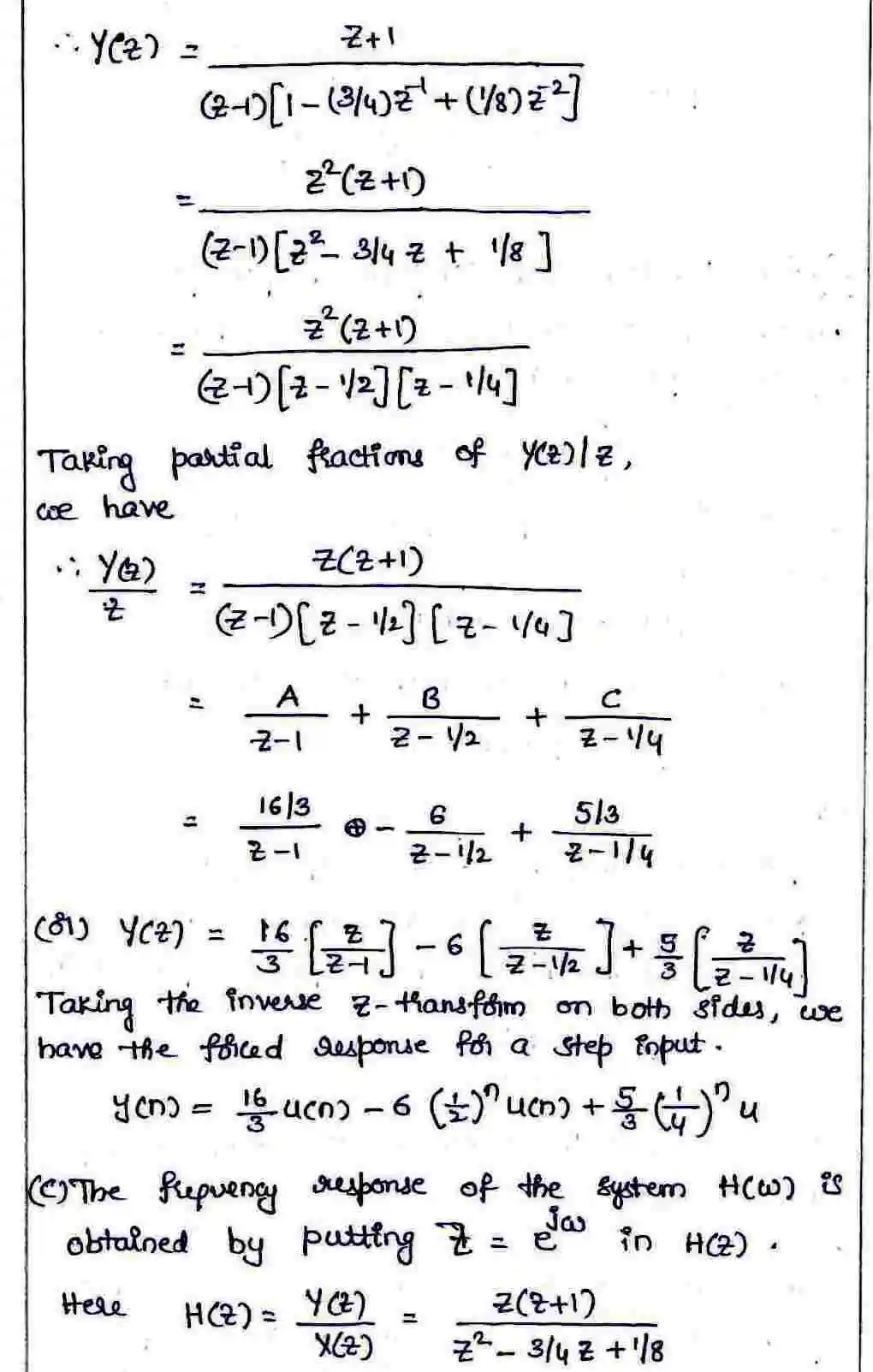
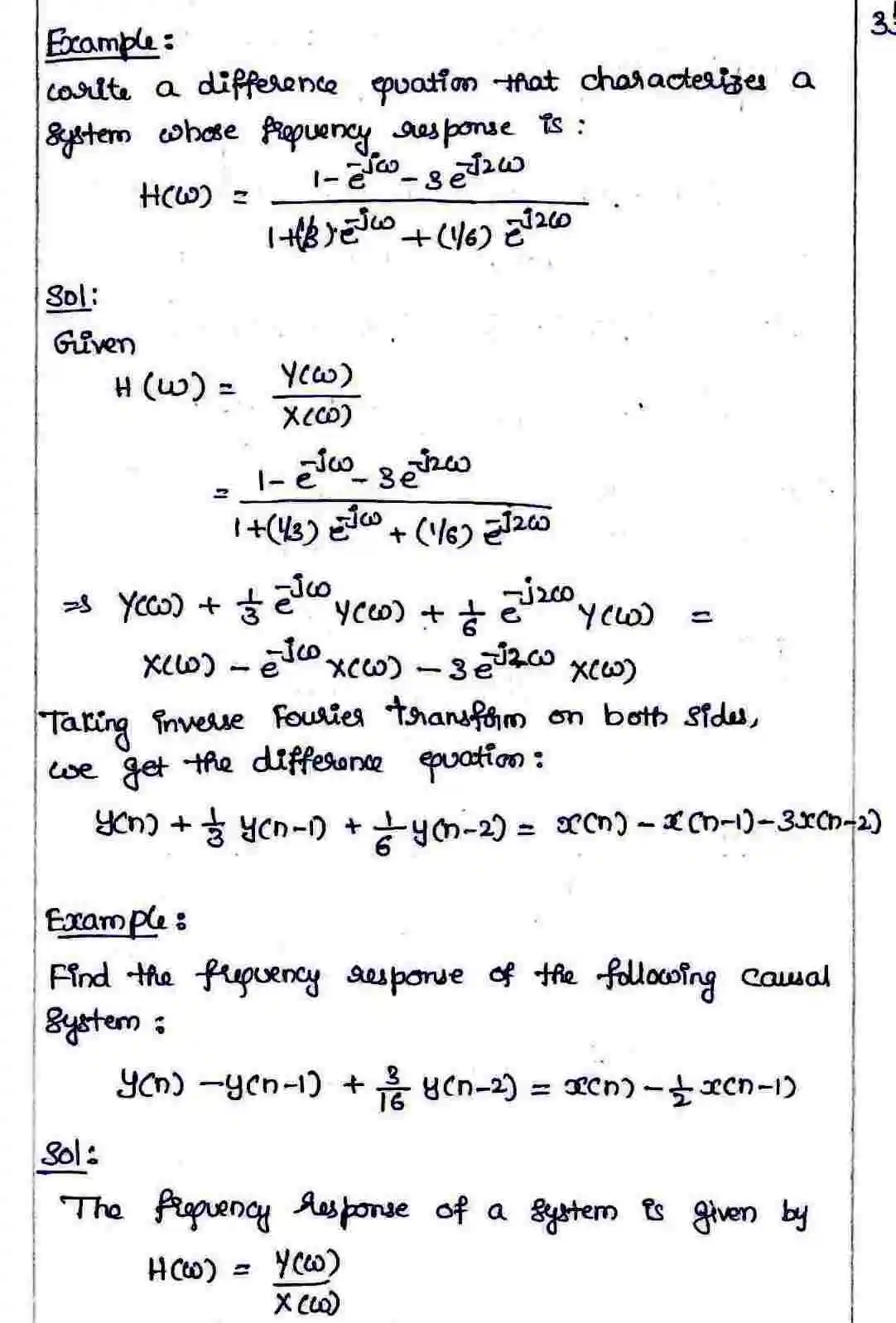
Discrete Time Singnals and Systerms
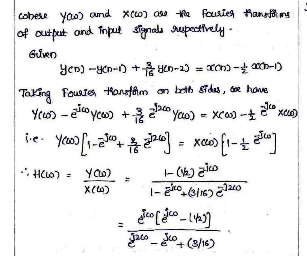
Notes: DSP Notes-1
Notes: DSP Notes-1