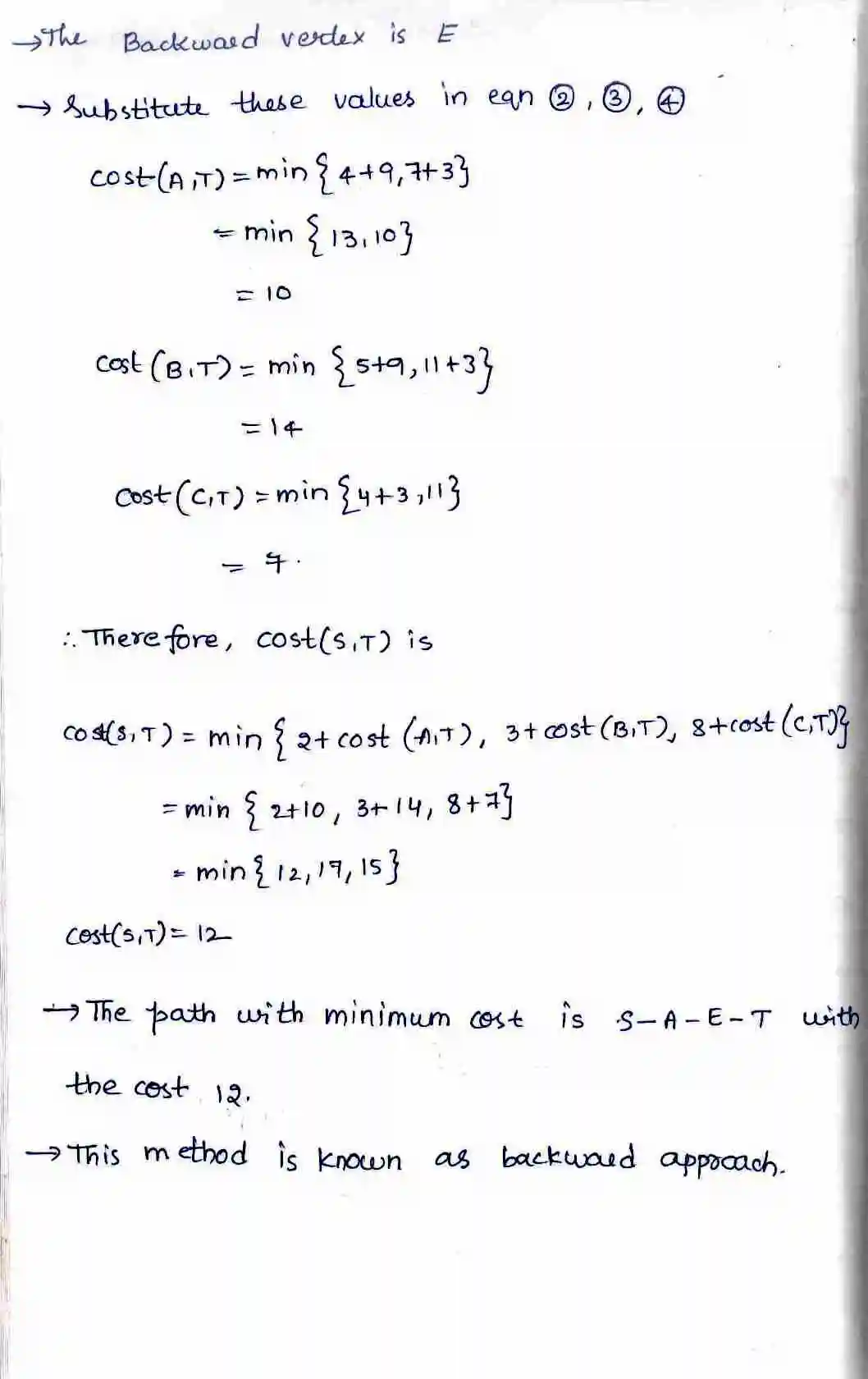
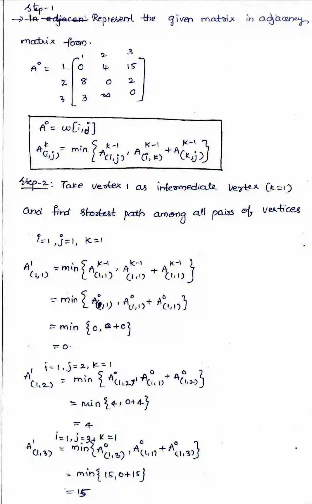
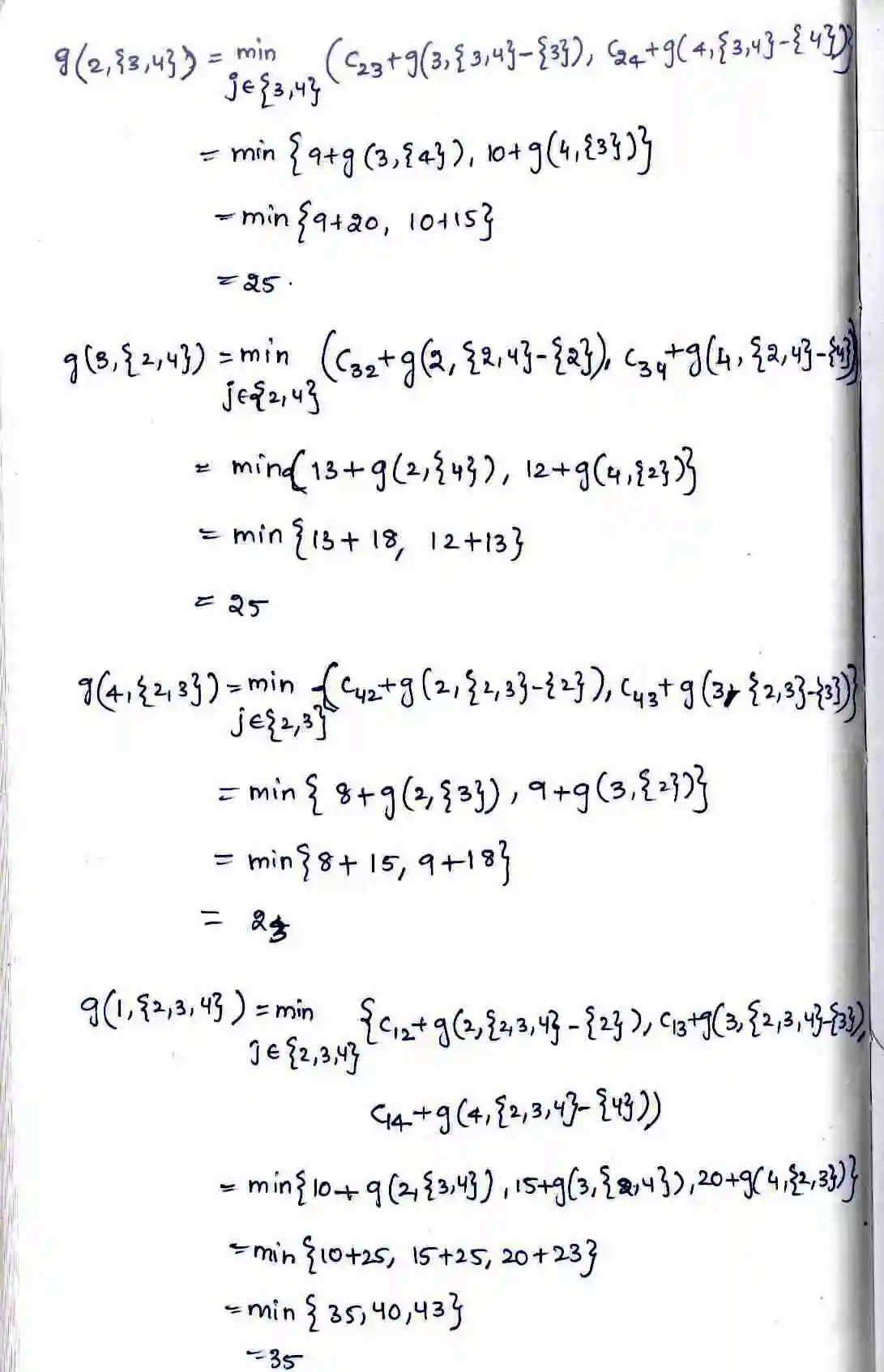
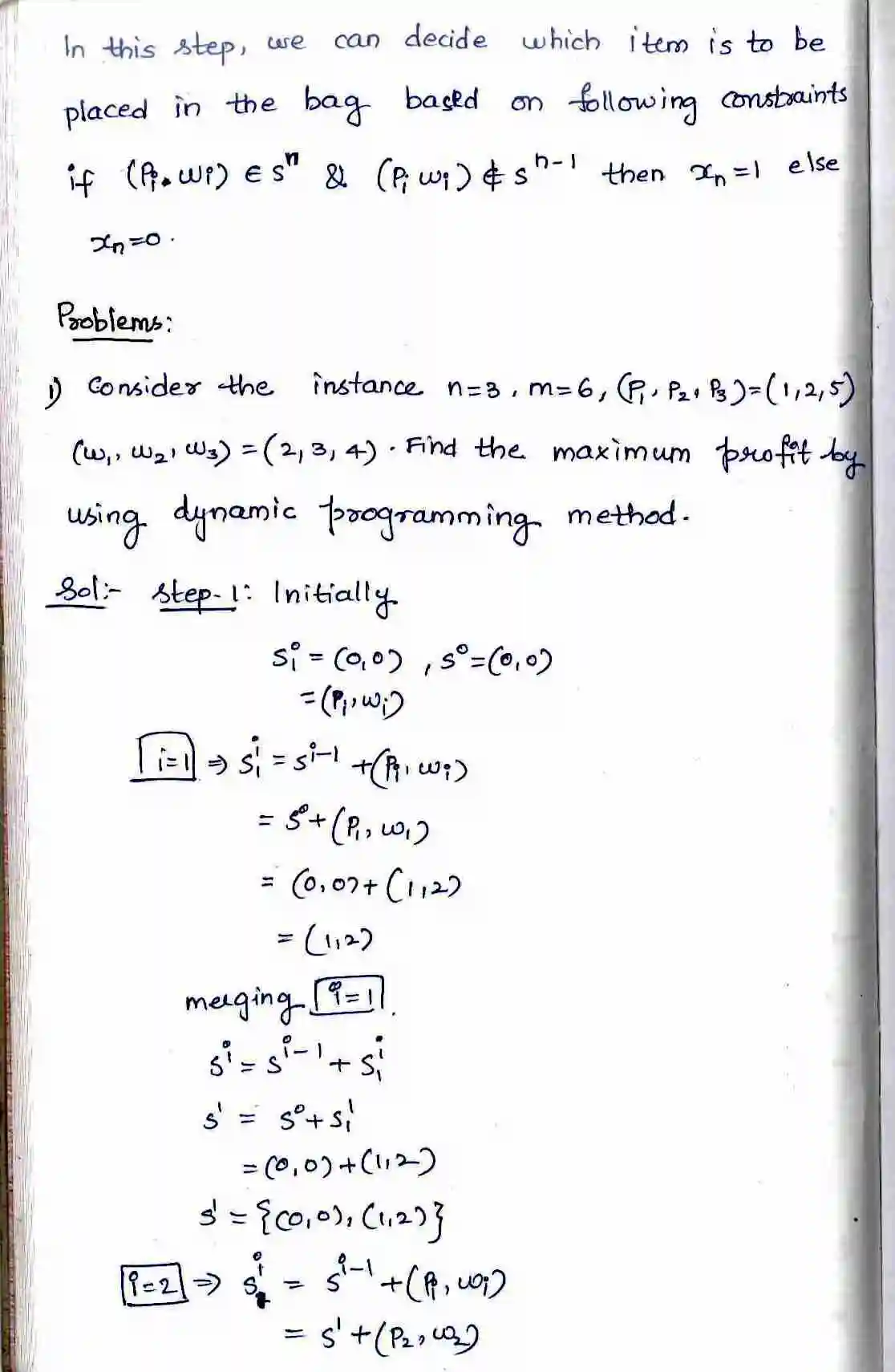
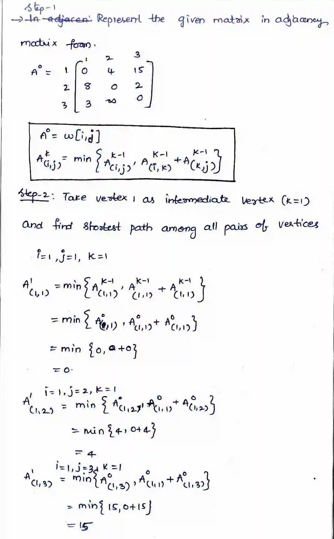
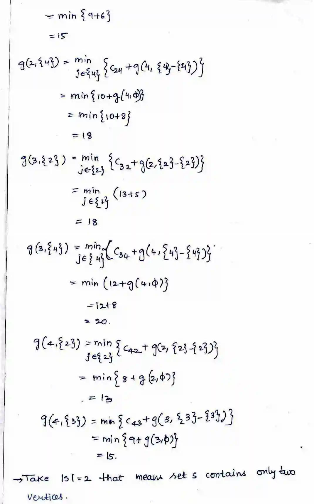
Dynamic programming
Notes: DAA Notes-1
Notes: DAA Notes-1