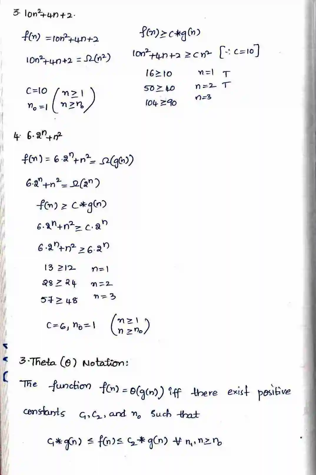
Asymptotic Notations
Notes: DAA Notes-1
Notes: DAA Notes-1