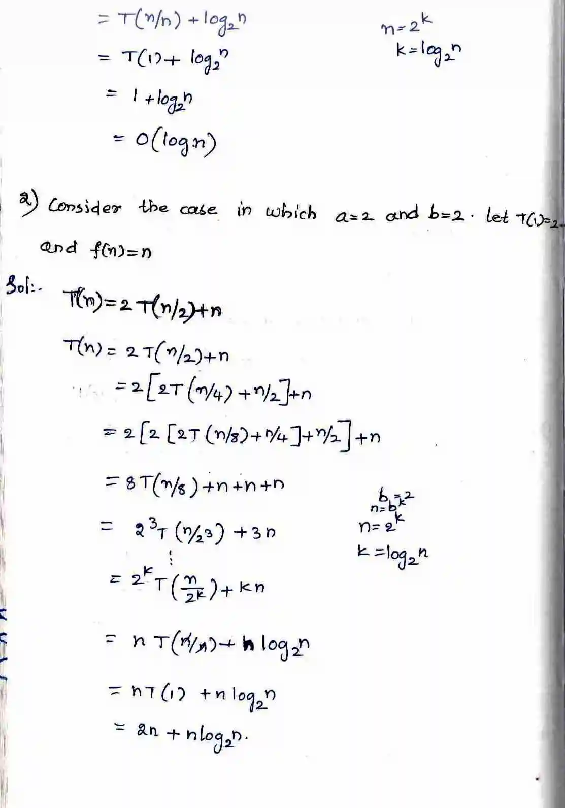
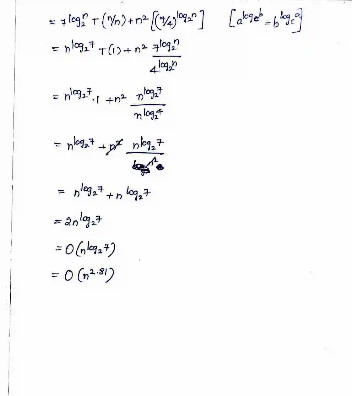
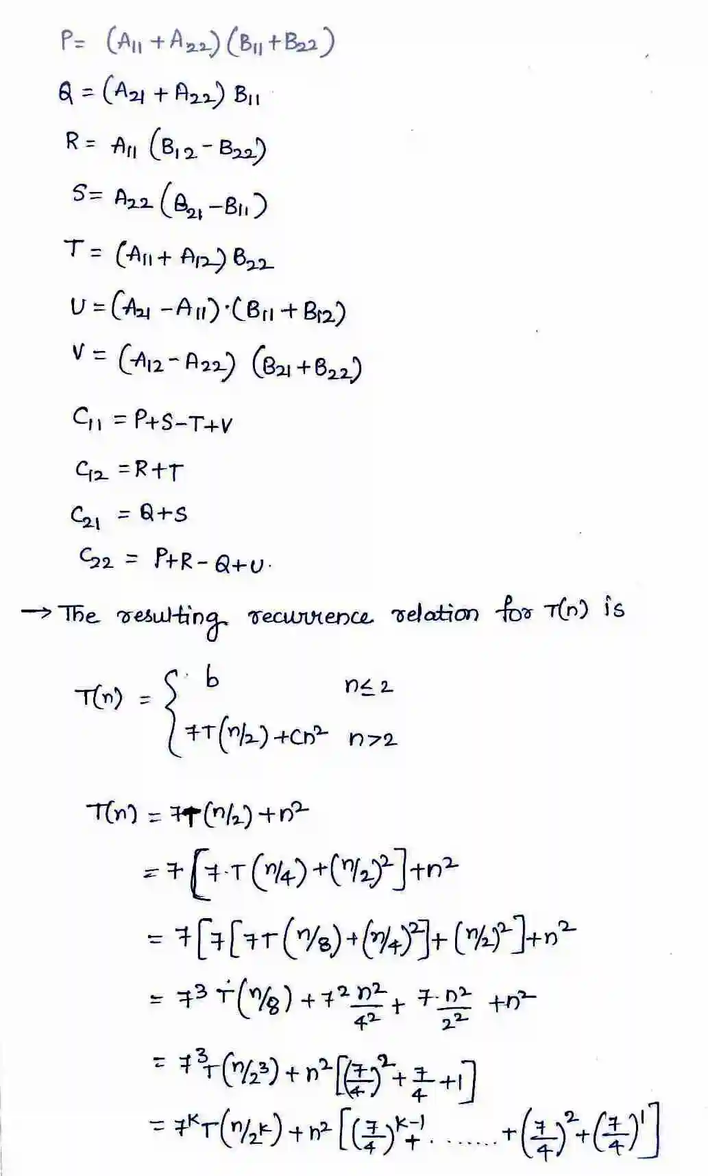
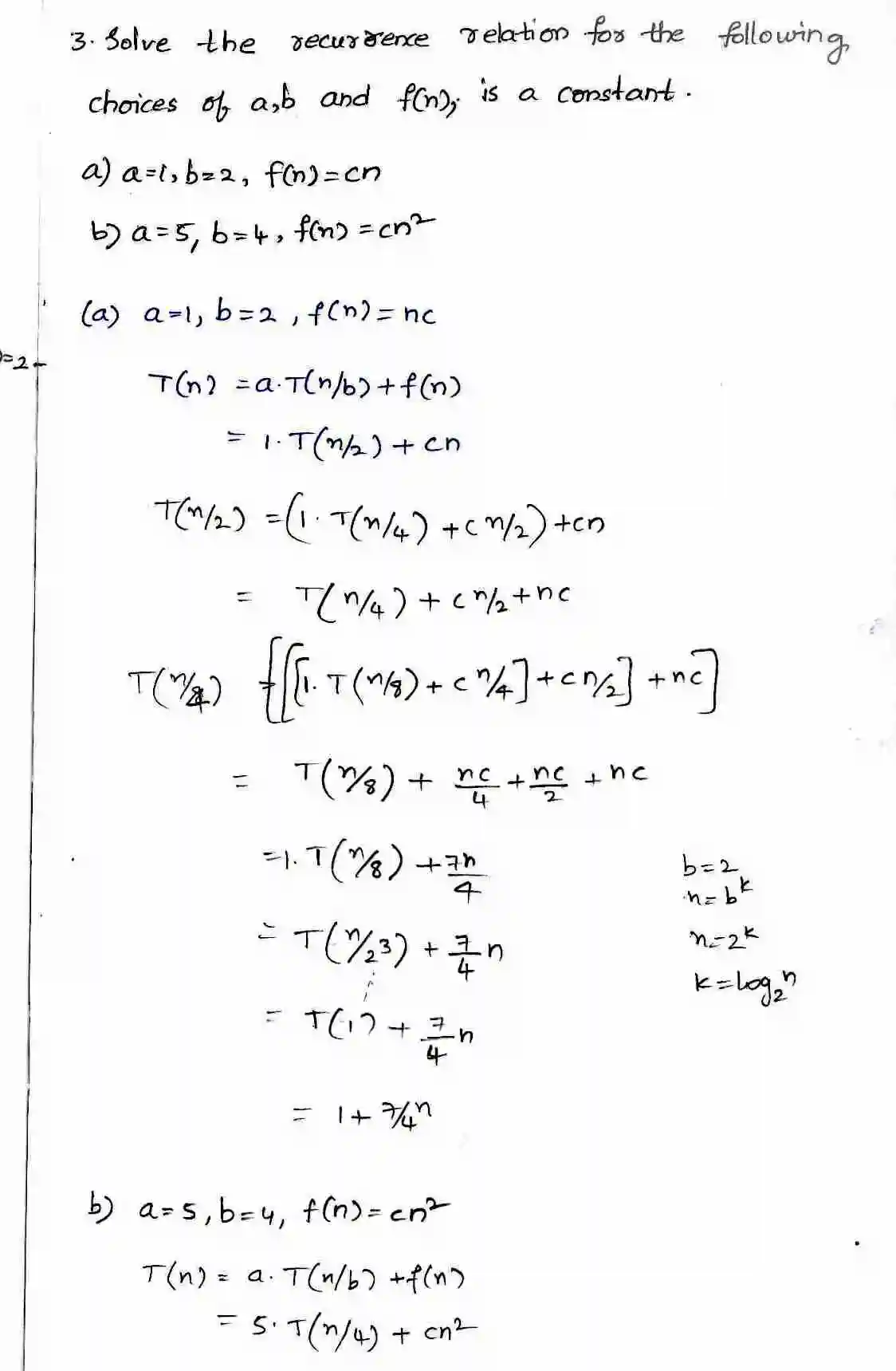
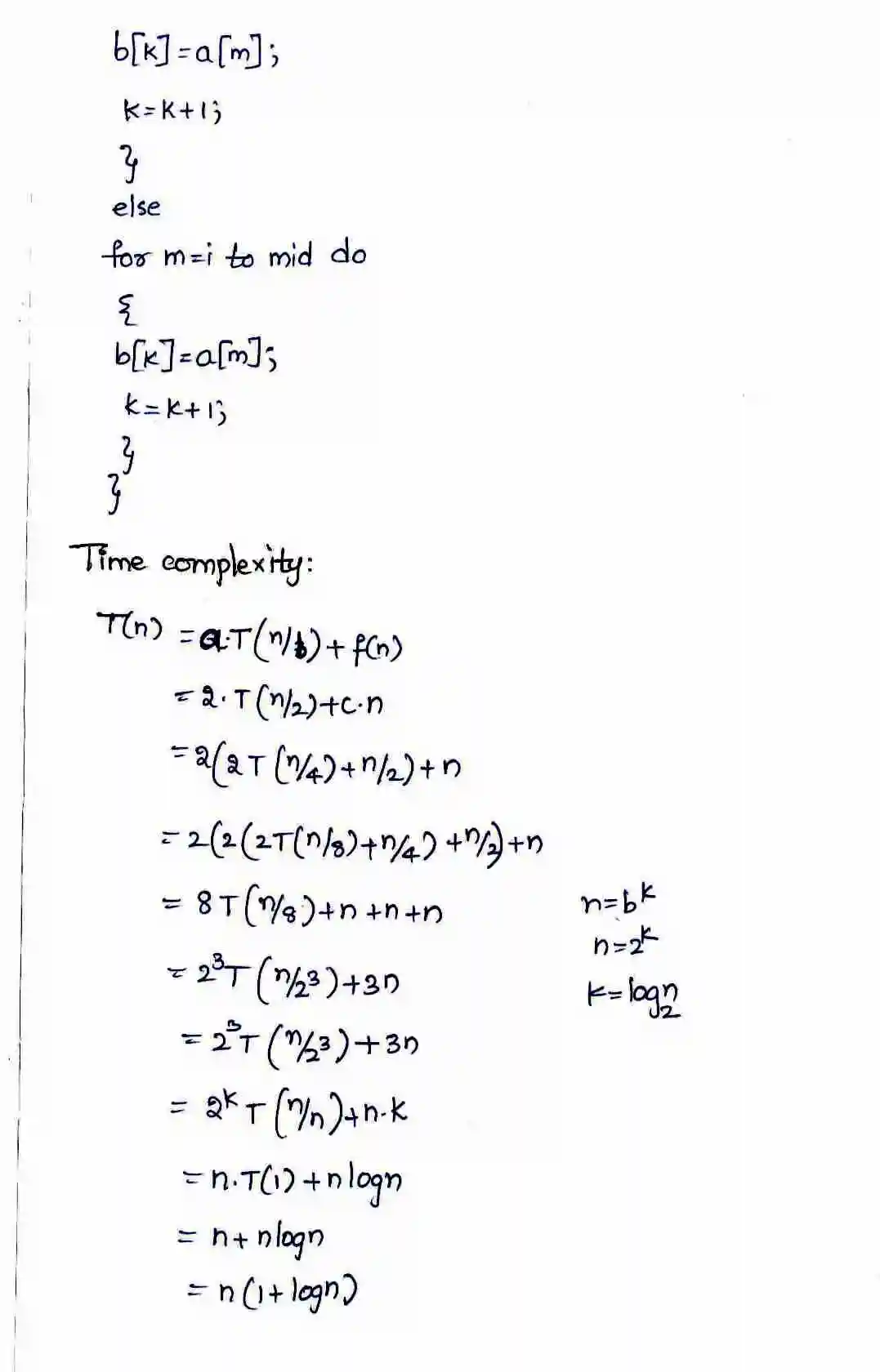
Divide and conquer
Notes: DAA Notes-1
Notes: DAA Notes-1