Home
Digital Notes
Hand Notes
Back
All Chapters
All Notes
All Subjects
All Branches
All Fields
All Chapters
Hand Notes
Asymptotic Notations
Back Tracking (current)
Divide and conquer
Dynamic programming
Greedy Method
Introduction
NP-Hard And NP-C0mplete Problems
Performance Analysis
Reliability Design
Searching and tree traversal Technique
All Notes Sets
BEE Notes-1
C Notes-1
CD Notes-1
COA Notes-1
DAA Notes-1 (current)
DM Notes-1
DSP Notes-1
ES Notes-1
JAVA Notes-1
LDIC Notes-1
P and S Notes-1
TOA Notes-1
COA Notes-2
DM Notes-2
Maths Notes-2
P and S Notes-2
PHY Notes-2
PTSP Notes-1
DE Notes-1
DM Notes-3
EDC Notes-1
EMF Notes-1
Manikantta Reddy Sir's Notes
NA Notes-1
SS Notes-1
DM Notes-4
Shrenik jain sir's notes
DM Notes-5
Notes-1
Notes-1
PHY Notes-1
All Subjects
Engineering Physics
Probability And Statistics
C Programming
Engineering Mathematics (current)
All Branches
Civil Engineering
Computers Science And Engineering
Electrical And Electronics Engineering
Electronics and Communication Engineering
Mechanical Engineering (current)
All Fields
ENGINEERING
← Previous
All Chapters
Next →
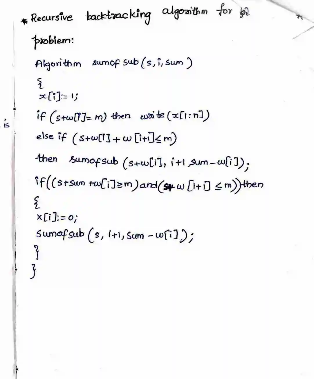
Back Tracking
Notes:
DAA Notes-1
← Previous Chapter
All Chapters
Next Chapter →