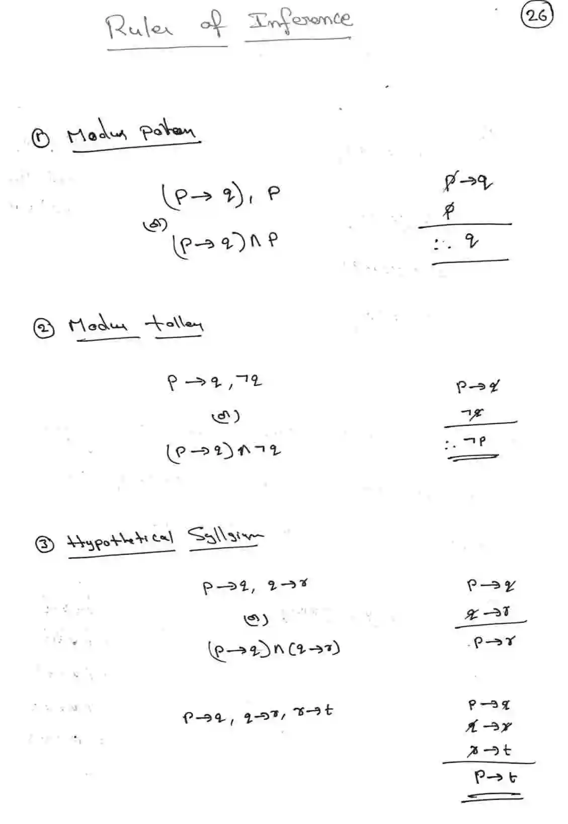
Rules Of Inference
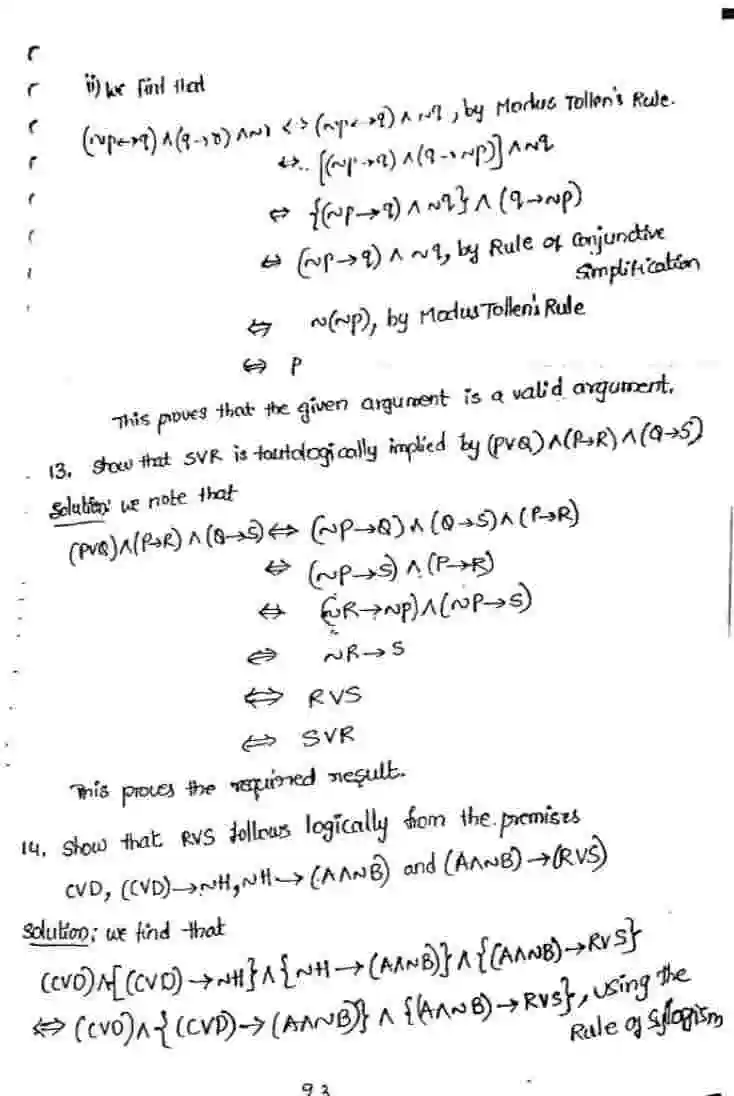
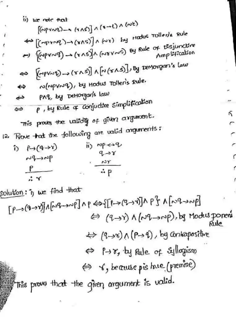
Notes: DM Notes-3
Notes: DM Notes-3