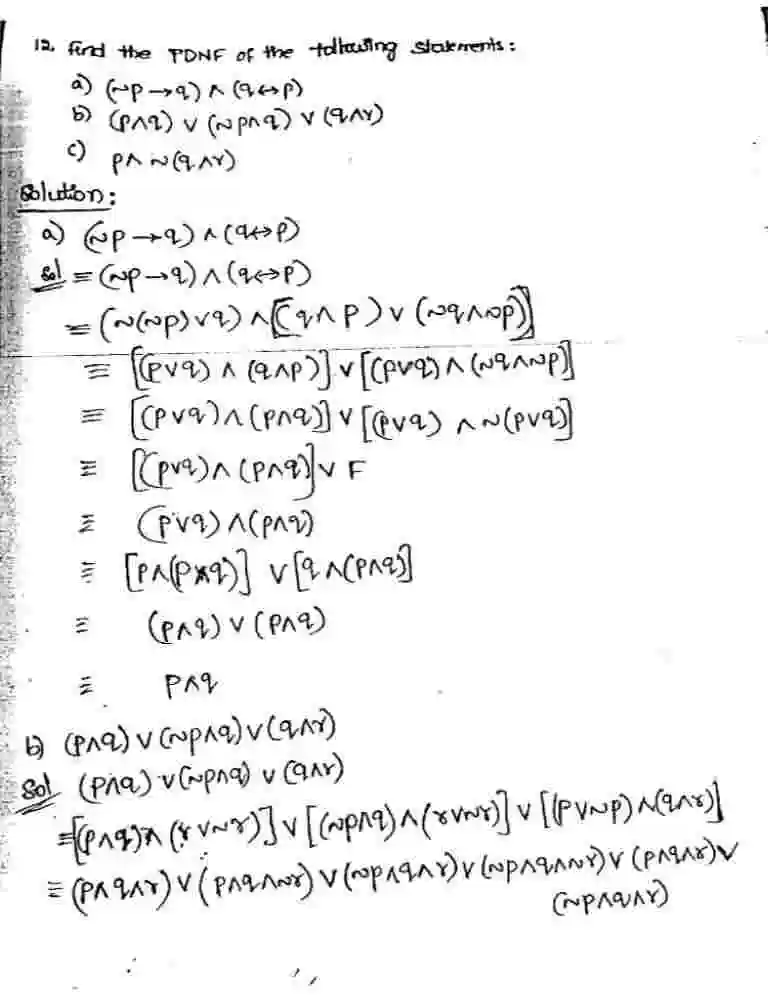
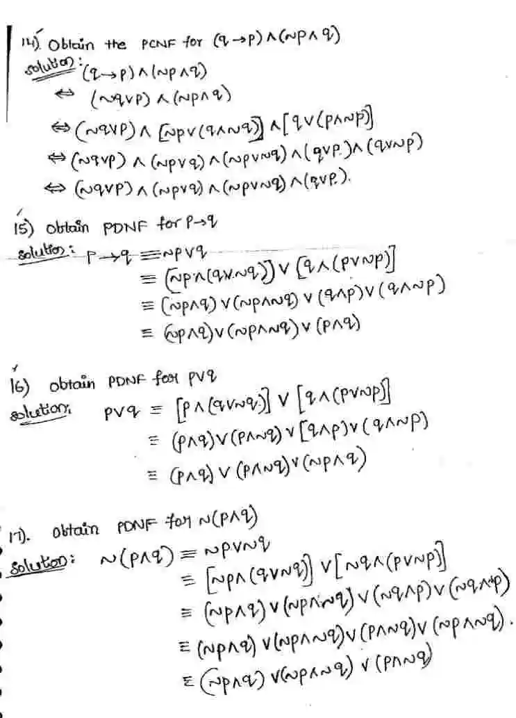
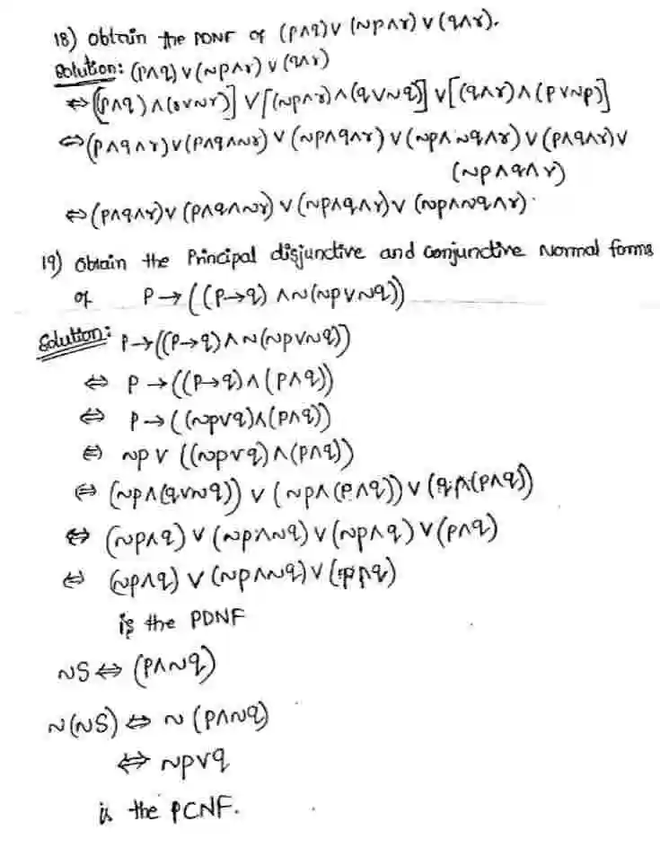
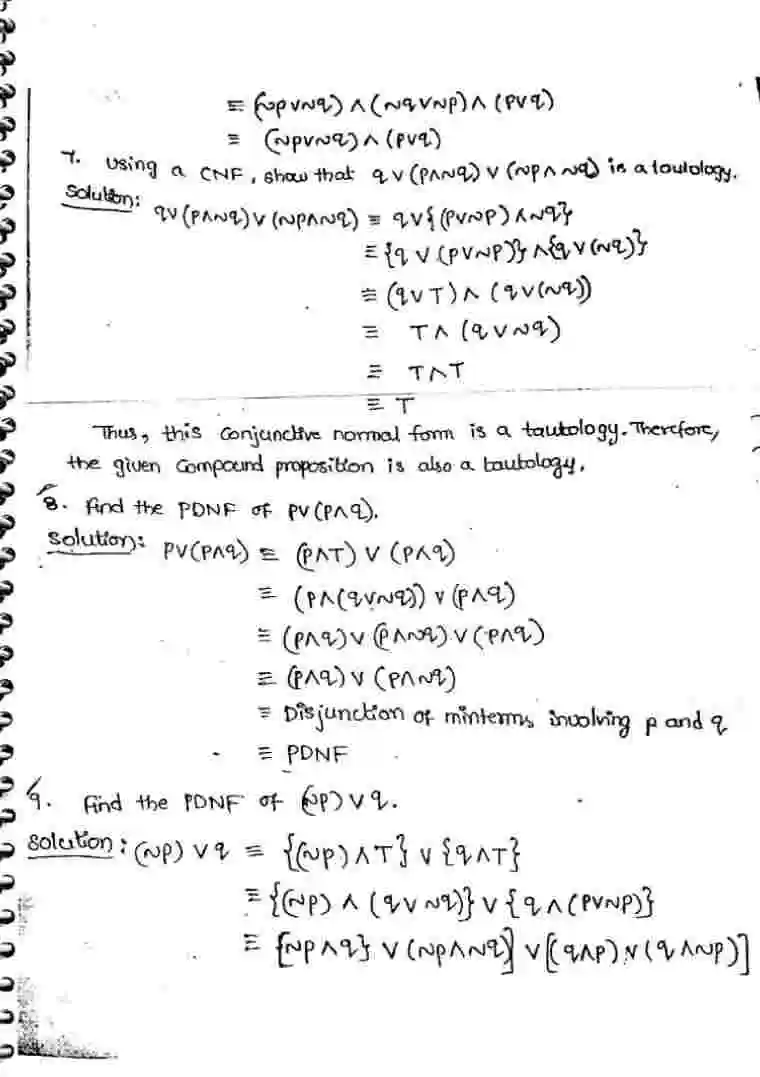
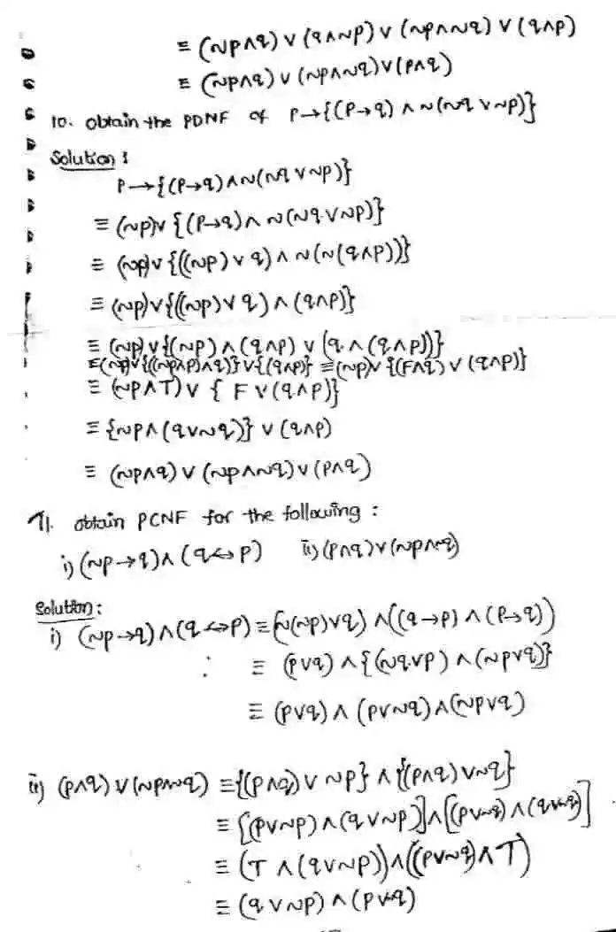
Propositional Logic
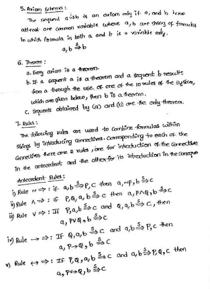
Notes: DM Notes-3
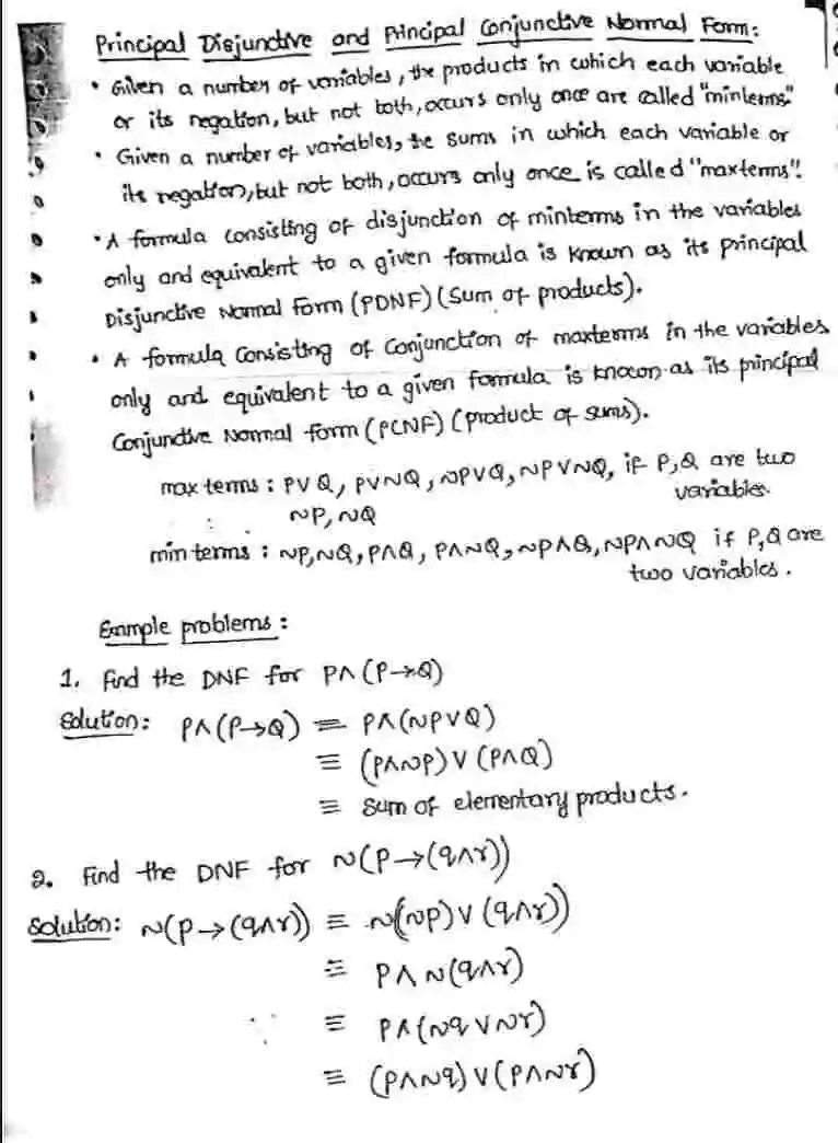
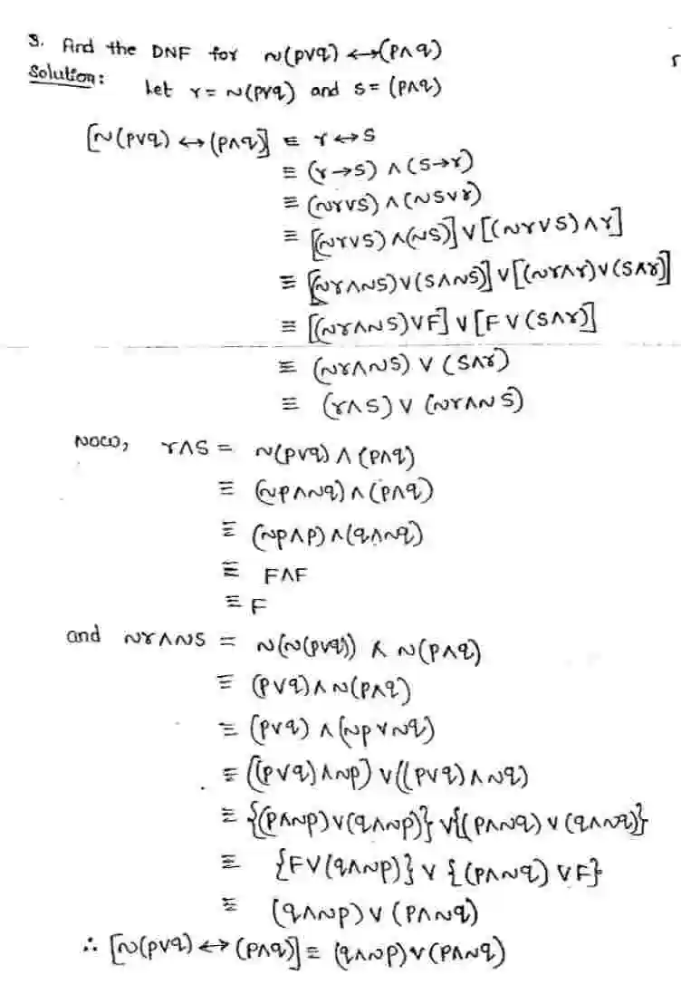
Notes: DM Notes-3