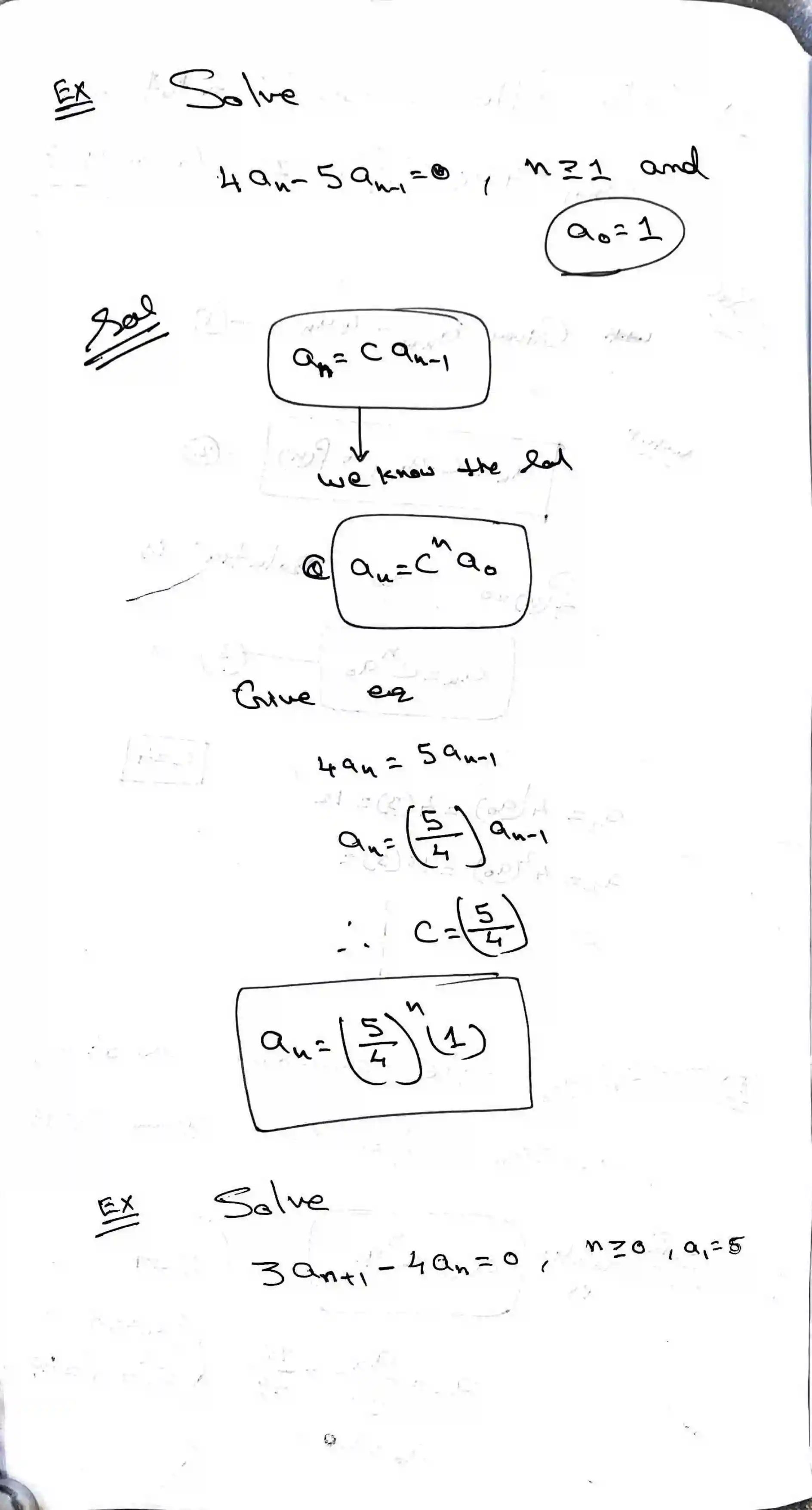
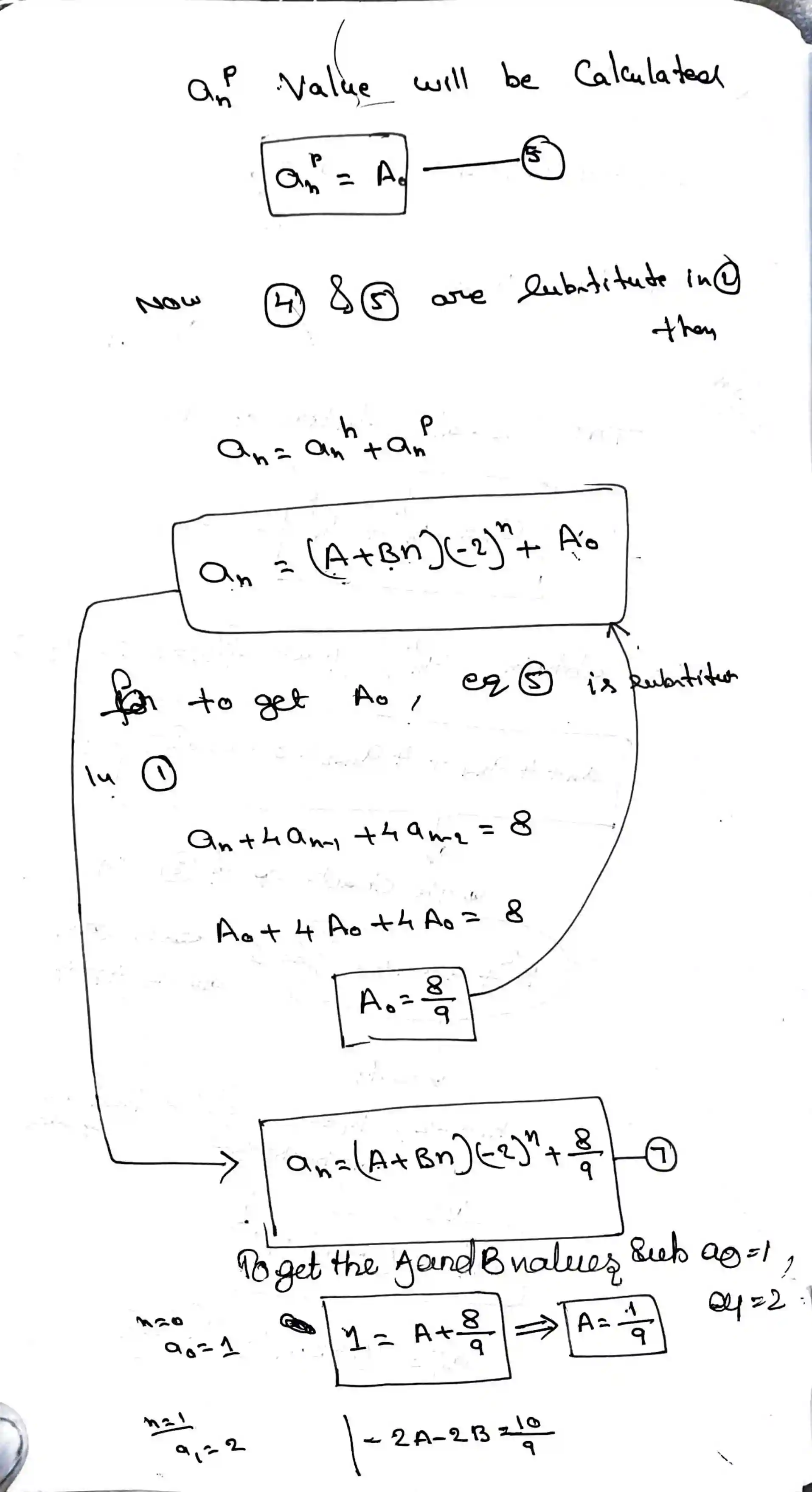
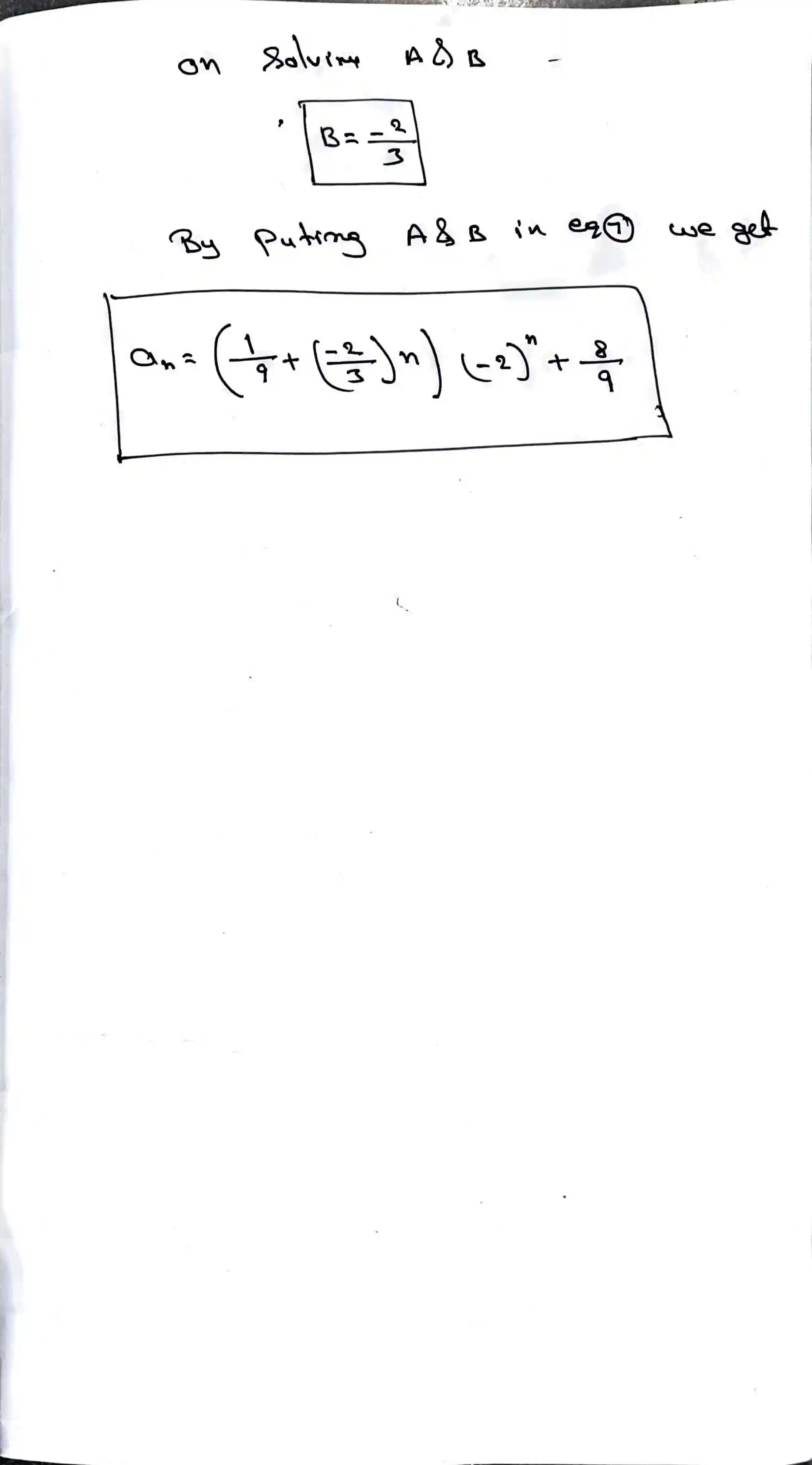
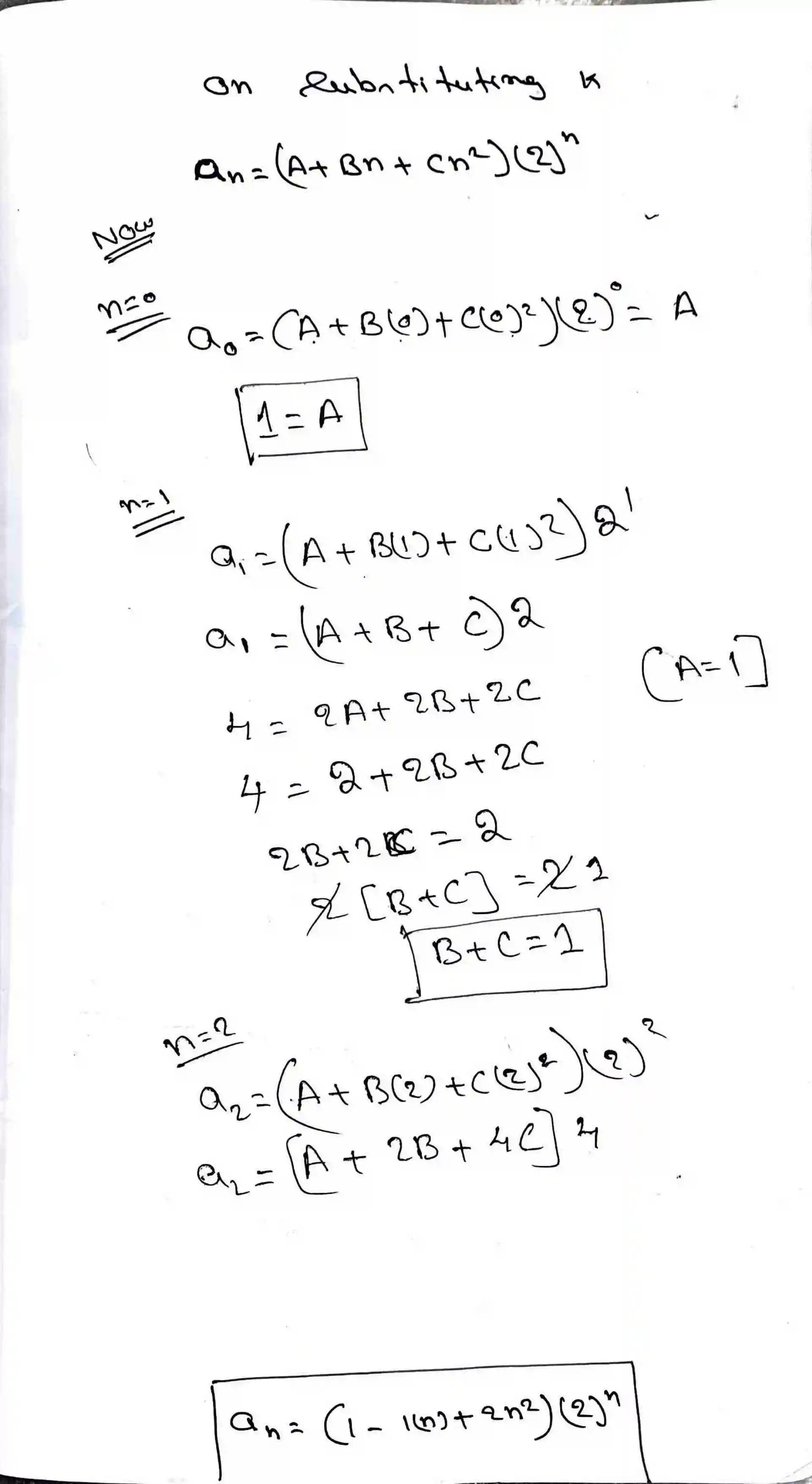
Recurrence Relation
Notes: DM Notes-3
Notes: DM Notes-3