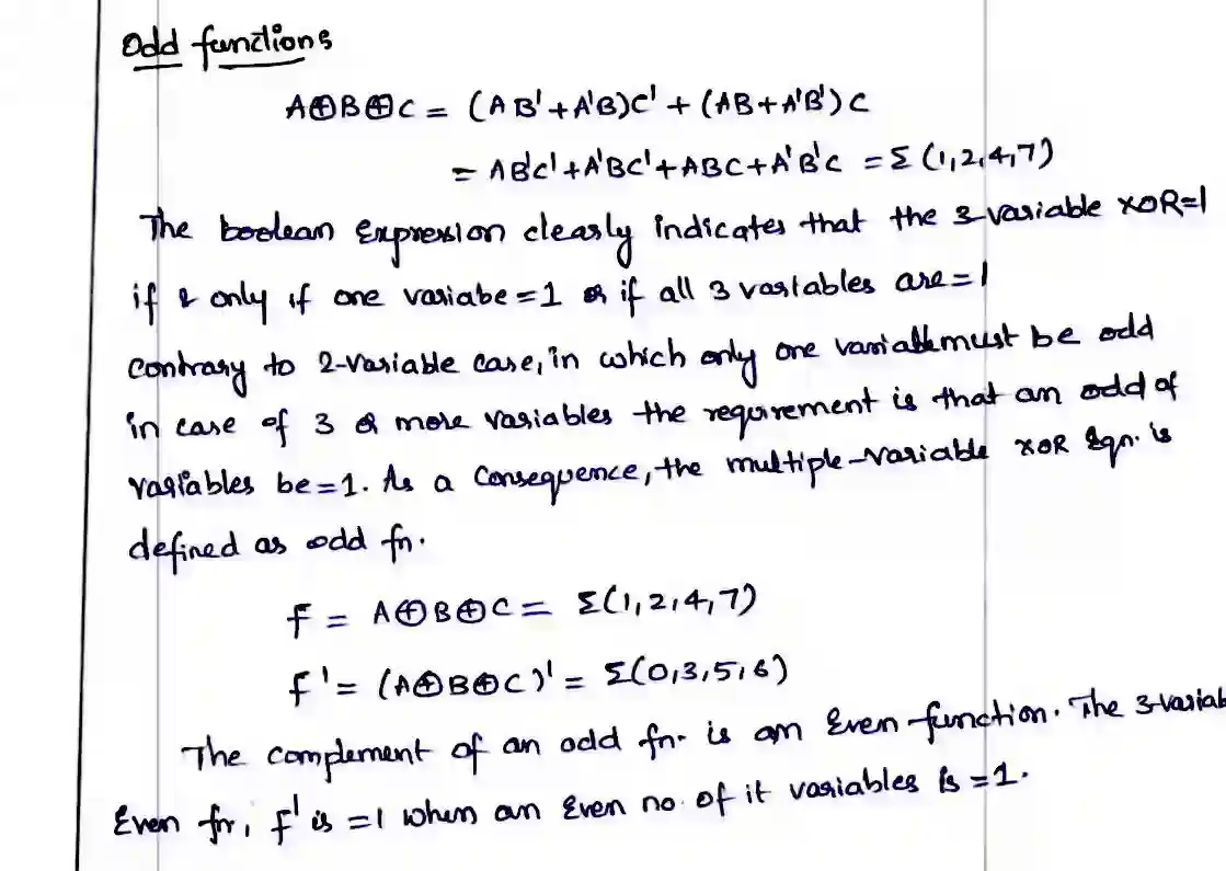
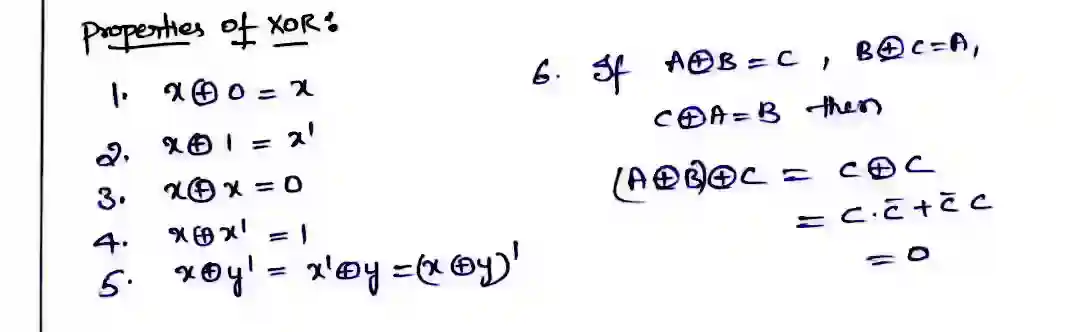
Logic Gates
Notes: DE Notes-1
Notes: DE Notes-1