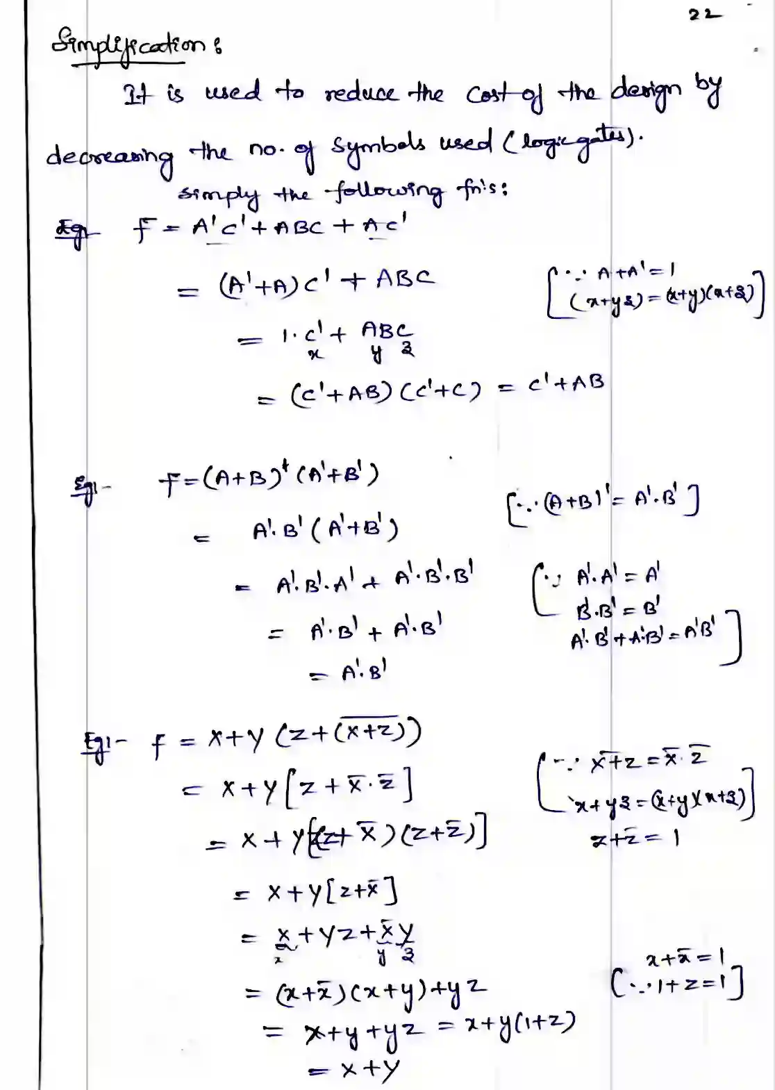
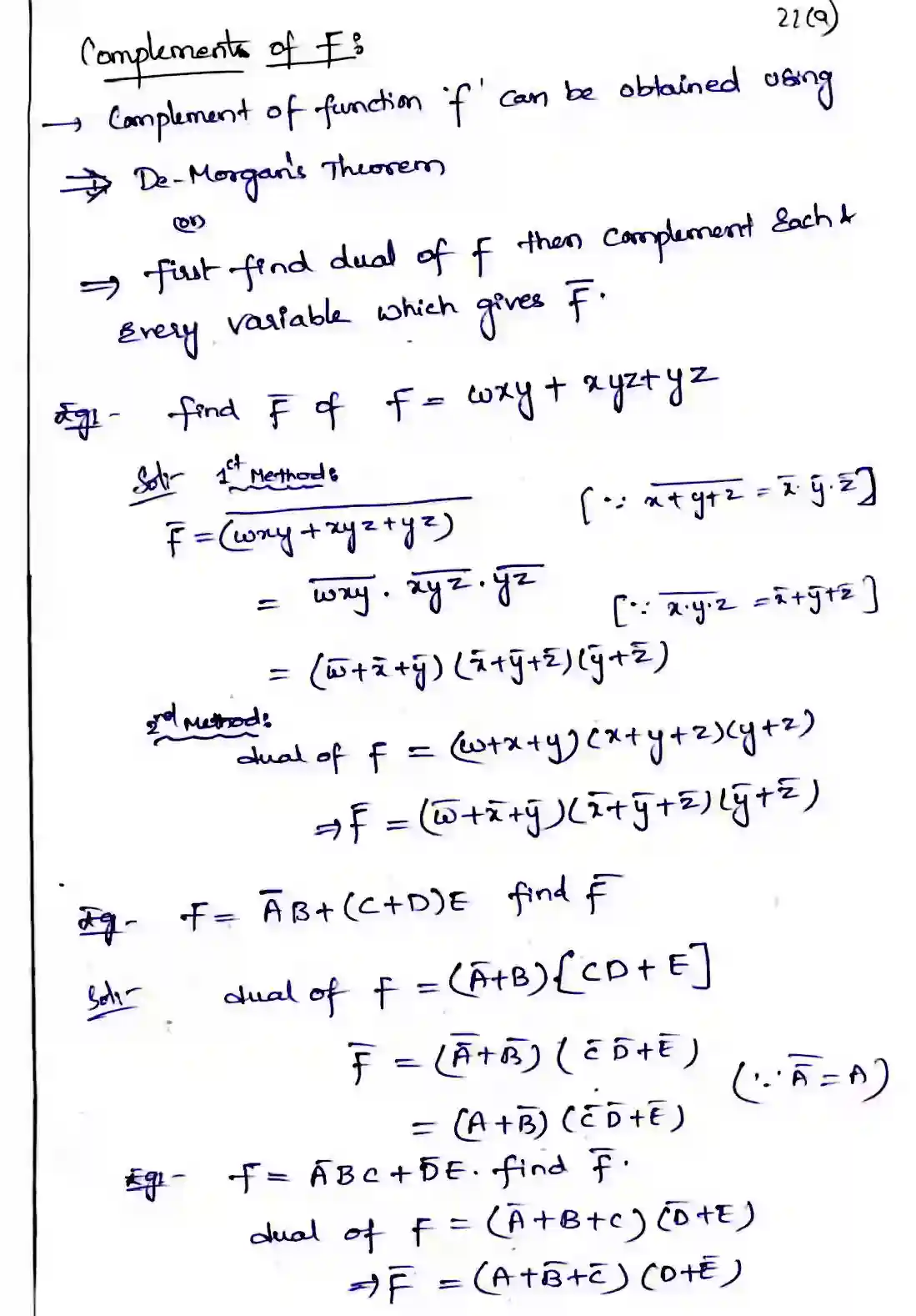
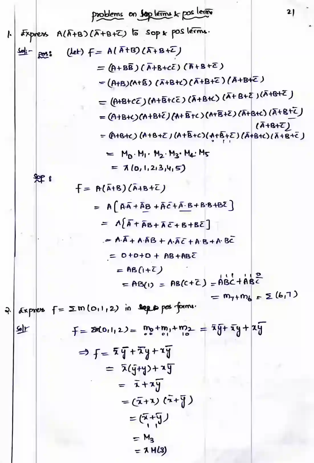
Boolean Algebra
Notes: DE Notes-1
Notes: DE Notes-1