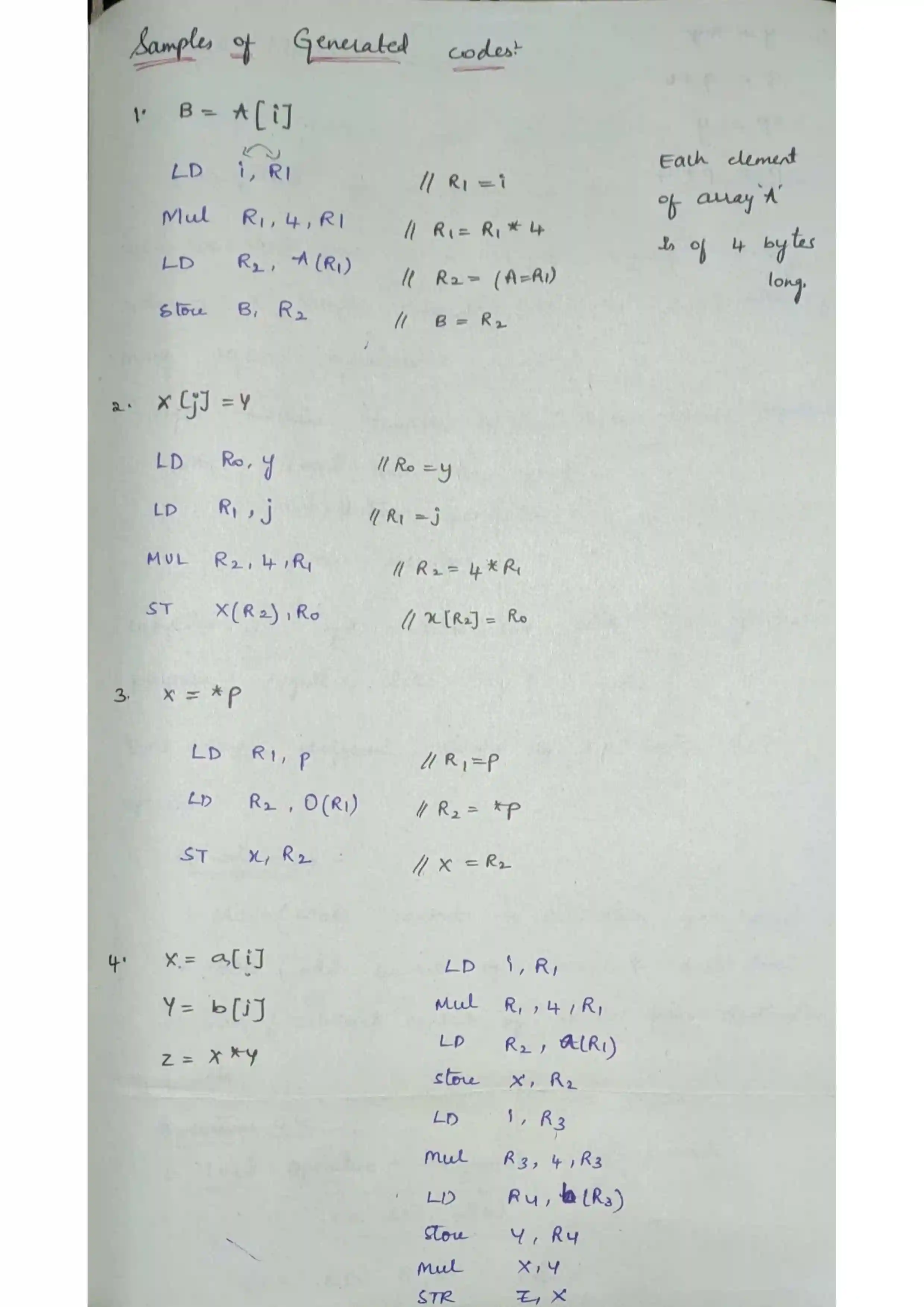
Compiler Design Unit-4
Notes: CD Notes-1
Notes: CD Notes-1