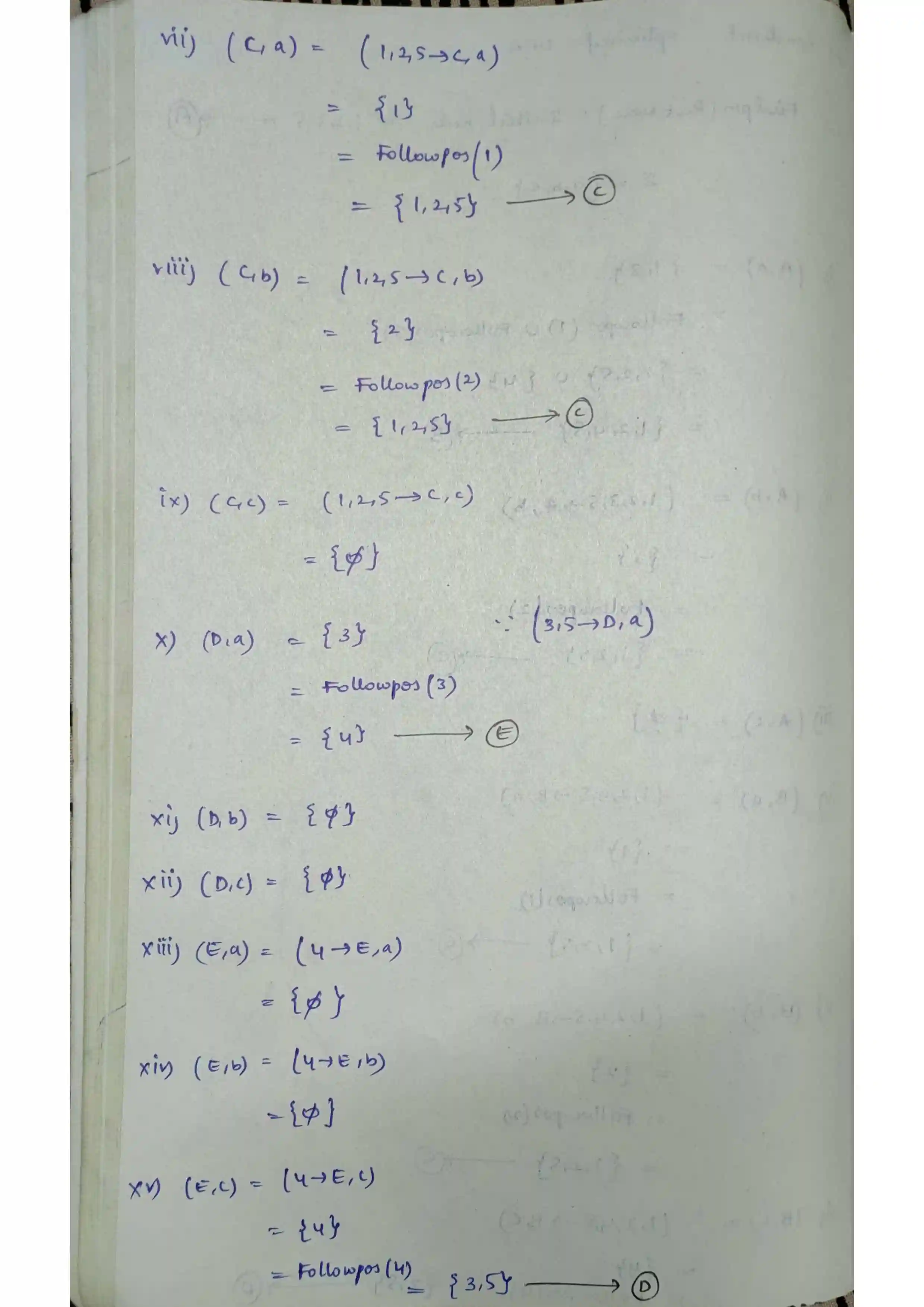
Compiler Design Unit-1
Notes: CD Notes-1
Notes: CD Notes-1