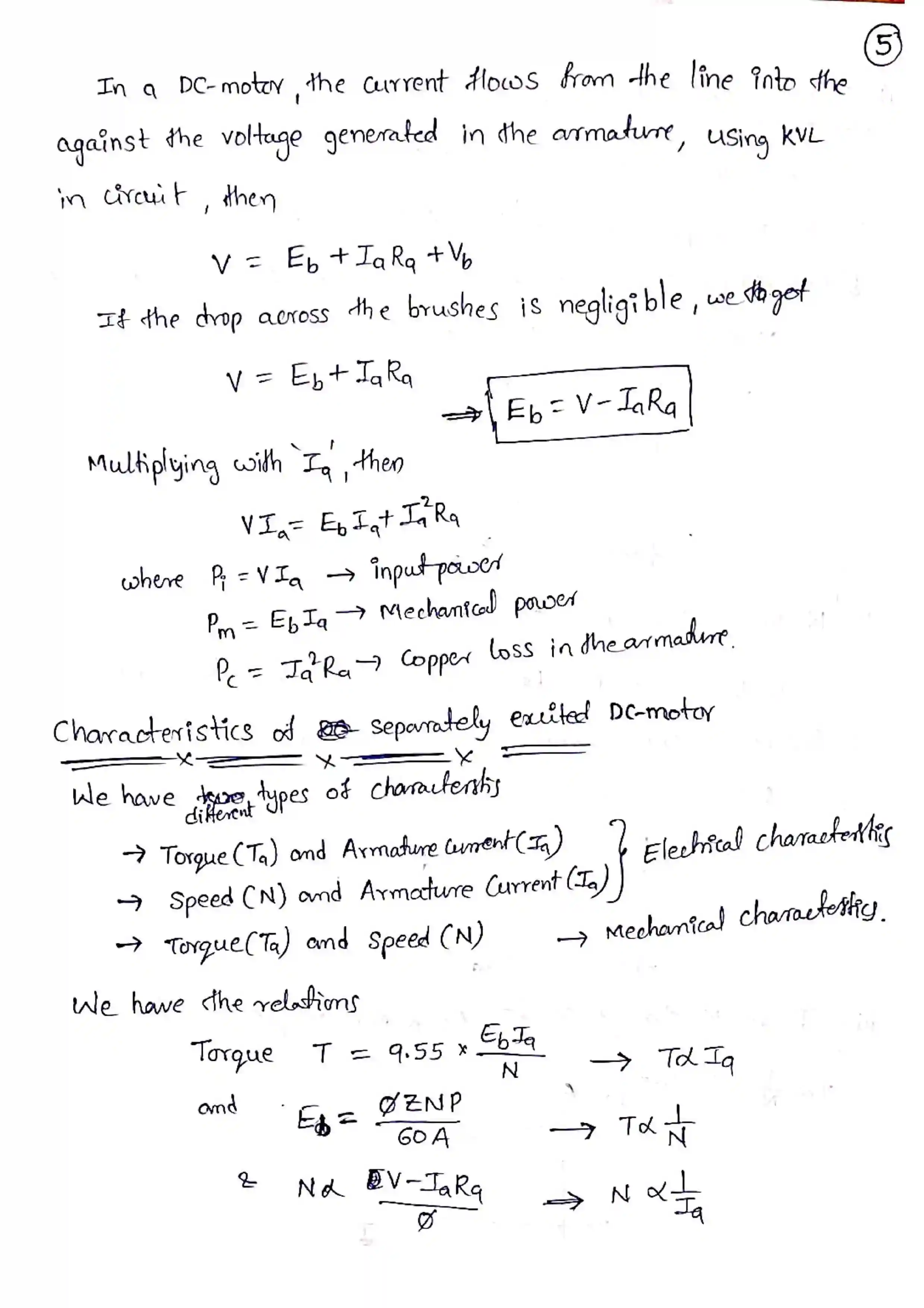
DC Machines
Notes: BEE Notes-1
Notes: BEE Notes-1