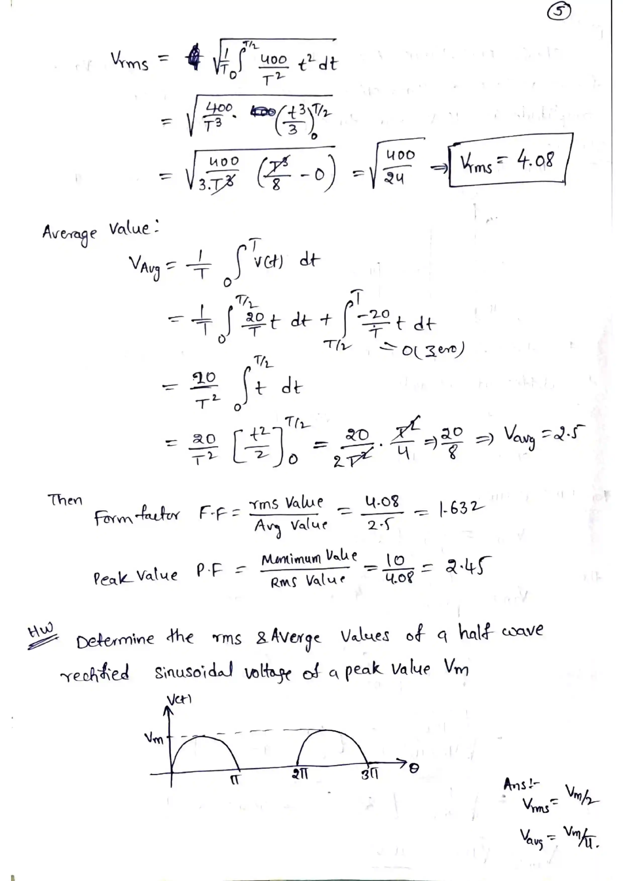
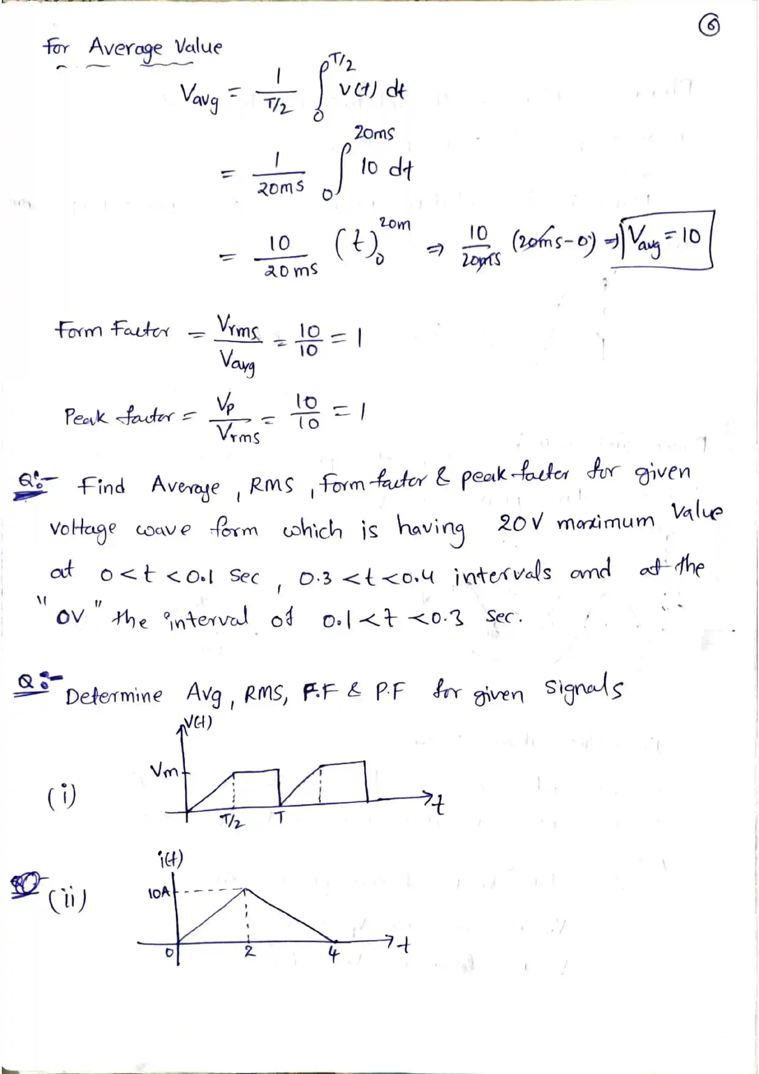
AC Circuits
Notes: BEE Notes-1
Notes: BEE Notes-1