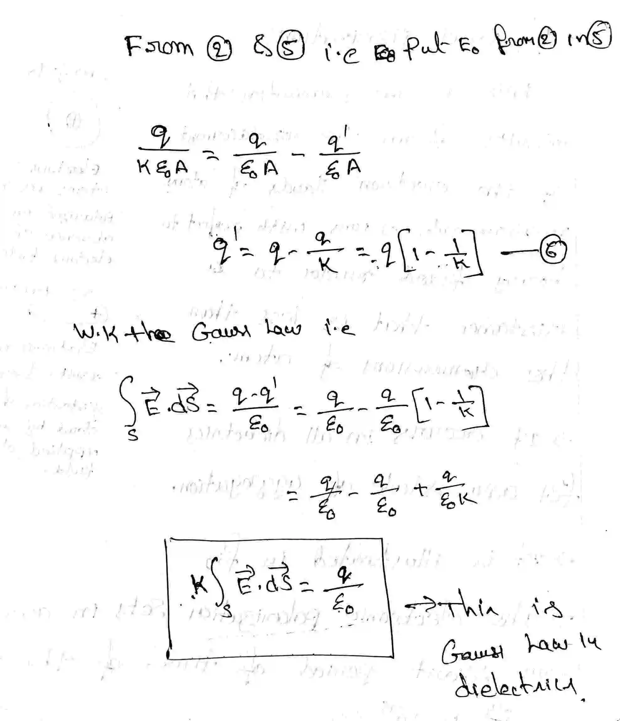
Dielectric properties
Notes: PHY Notes-2
Notes: PHY Notes-2