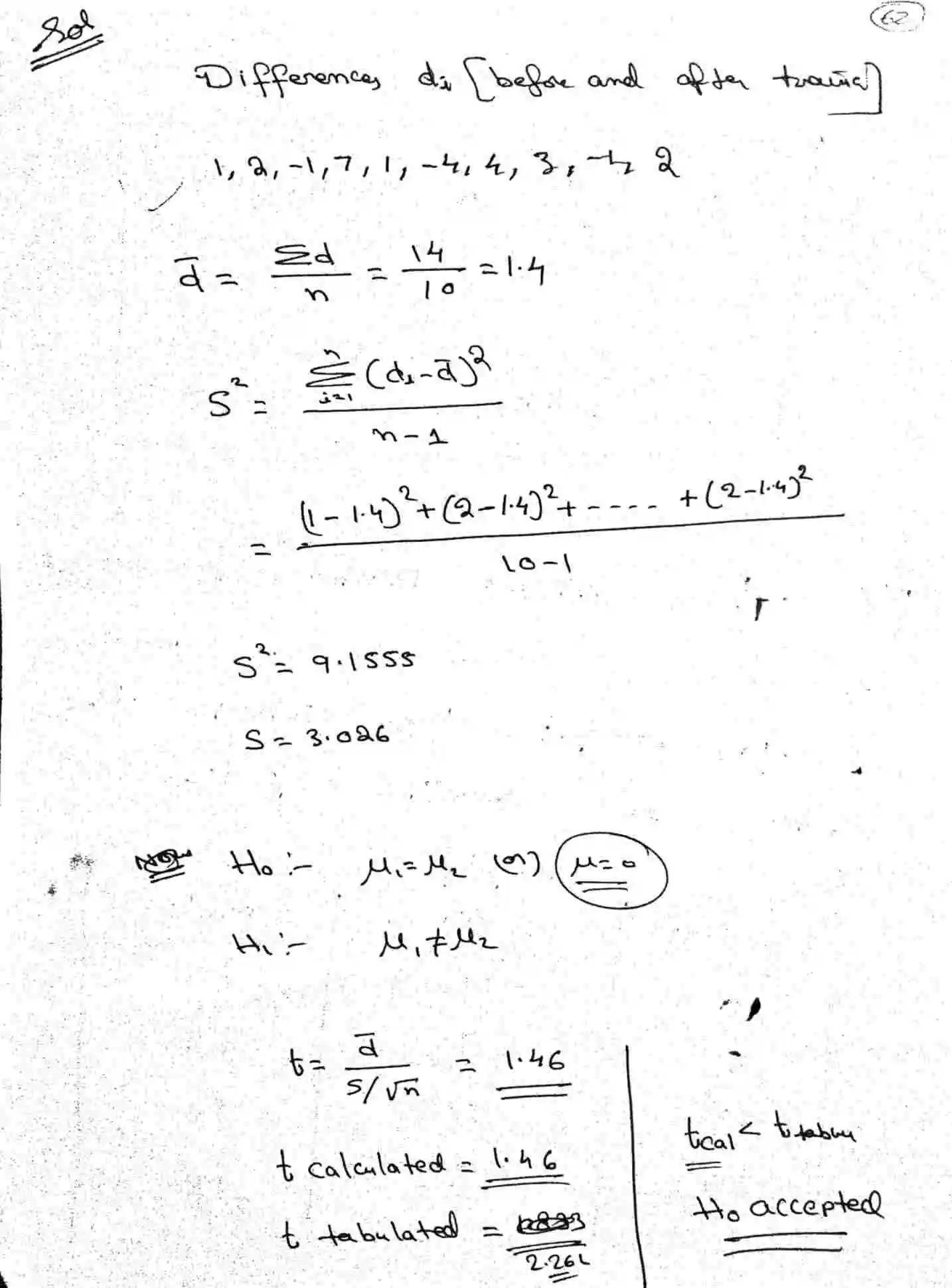
Testing of Hypothesis
Notes: P and S Notes-2
Notes: P and S Notes-2