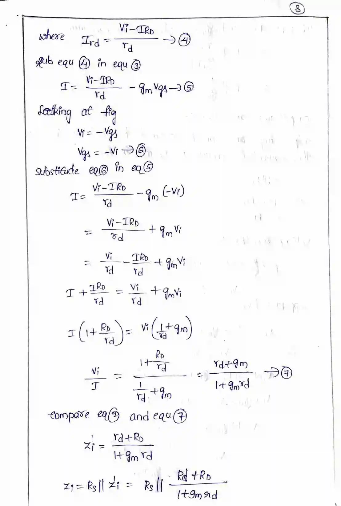
JFET Small Signal Amplifier
Notes: Notes-1
Notes: Notes-1