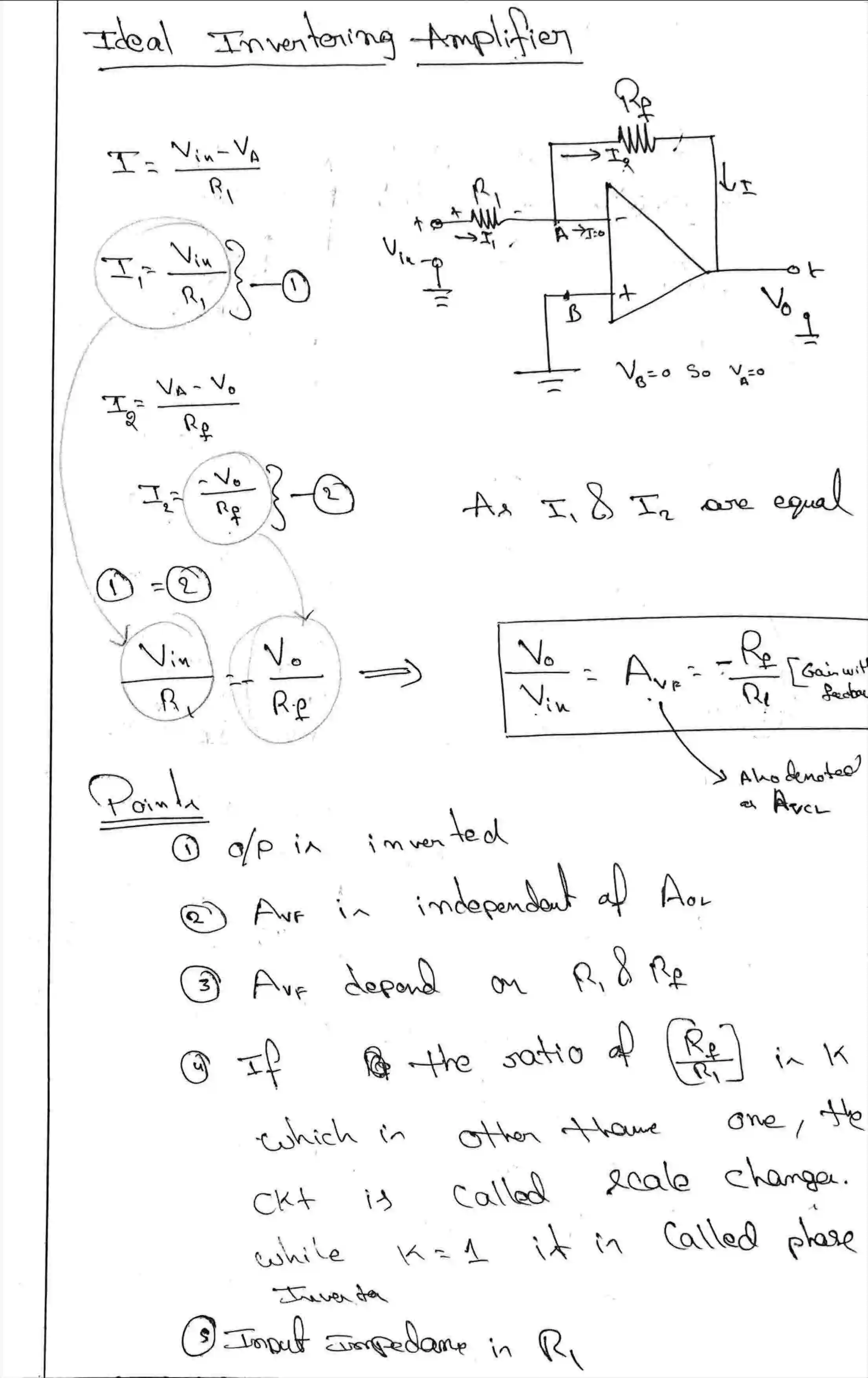
Basics Of Operational Amplifier
Notes: LDIC Notes-1
Notes: LDIC Notes-1