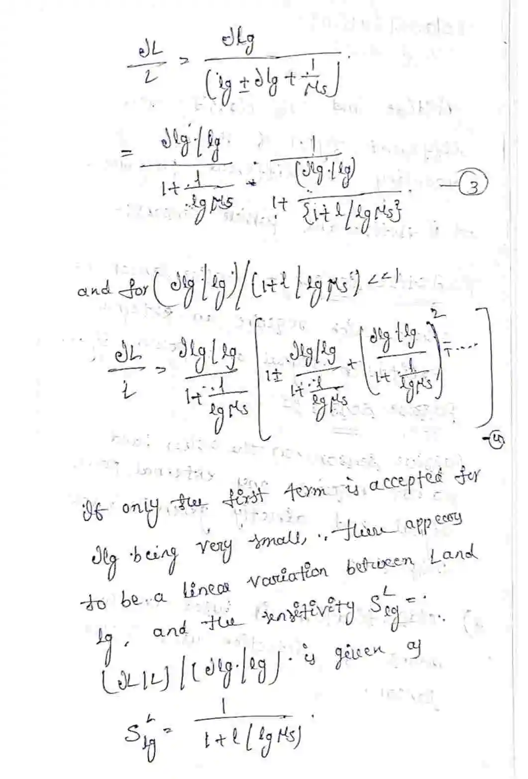
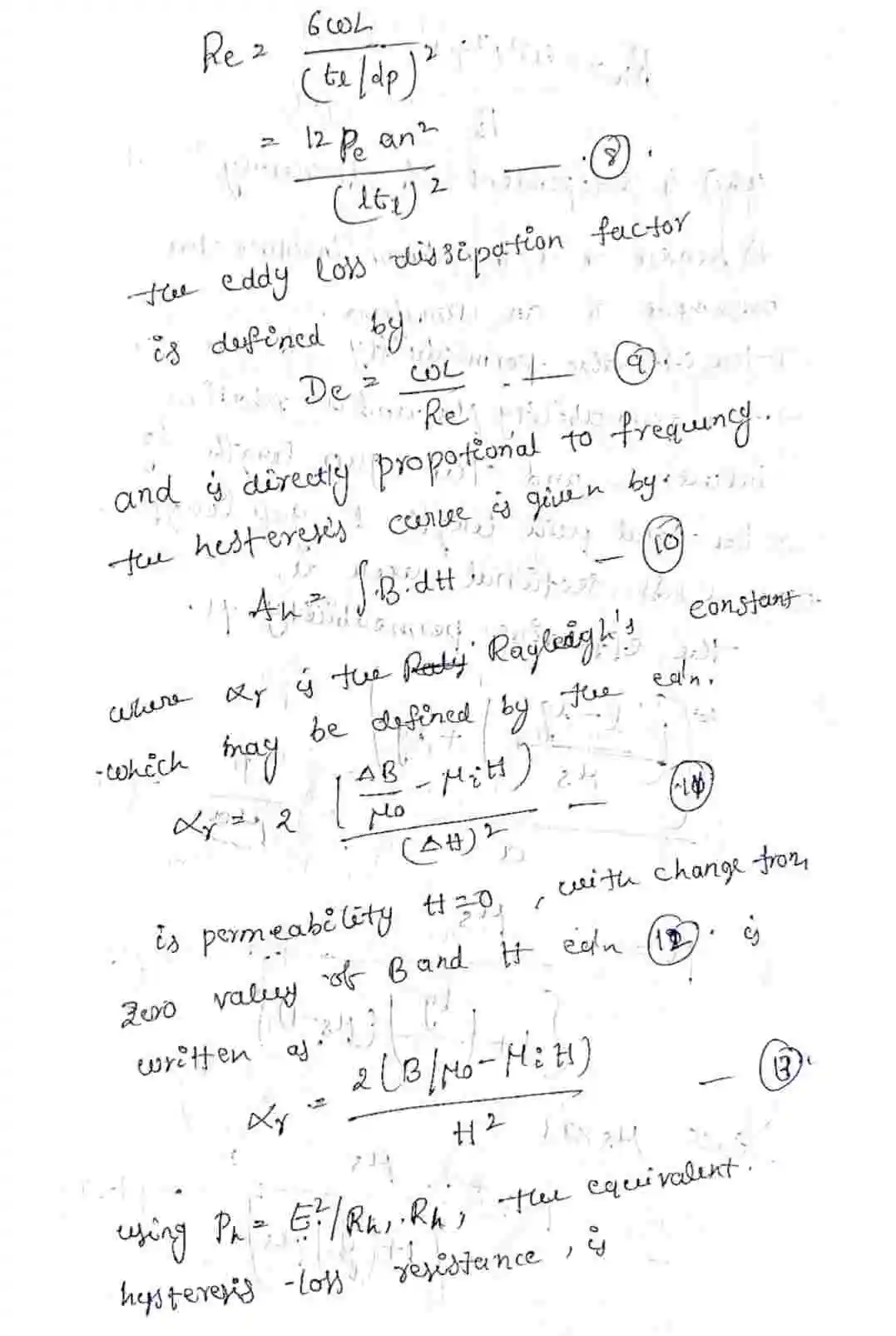
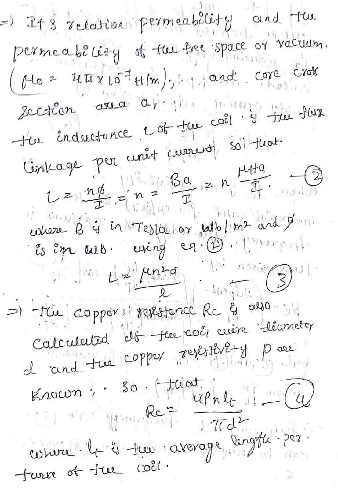
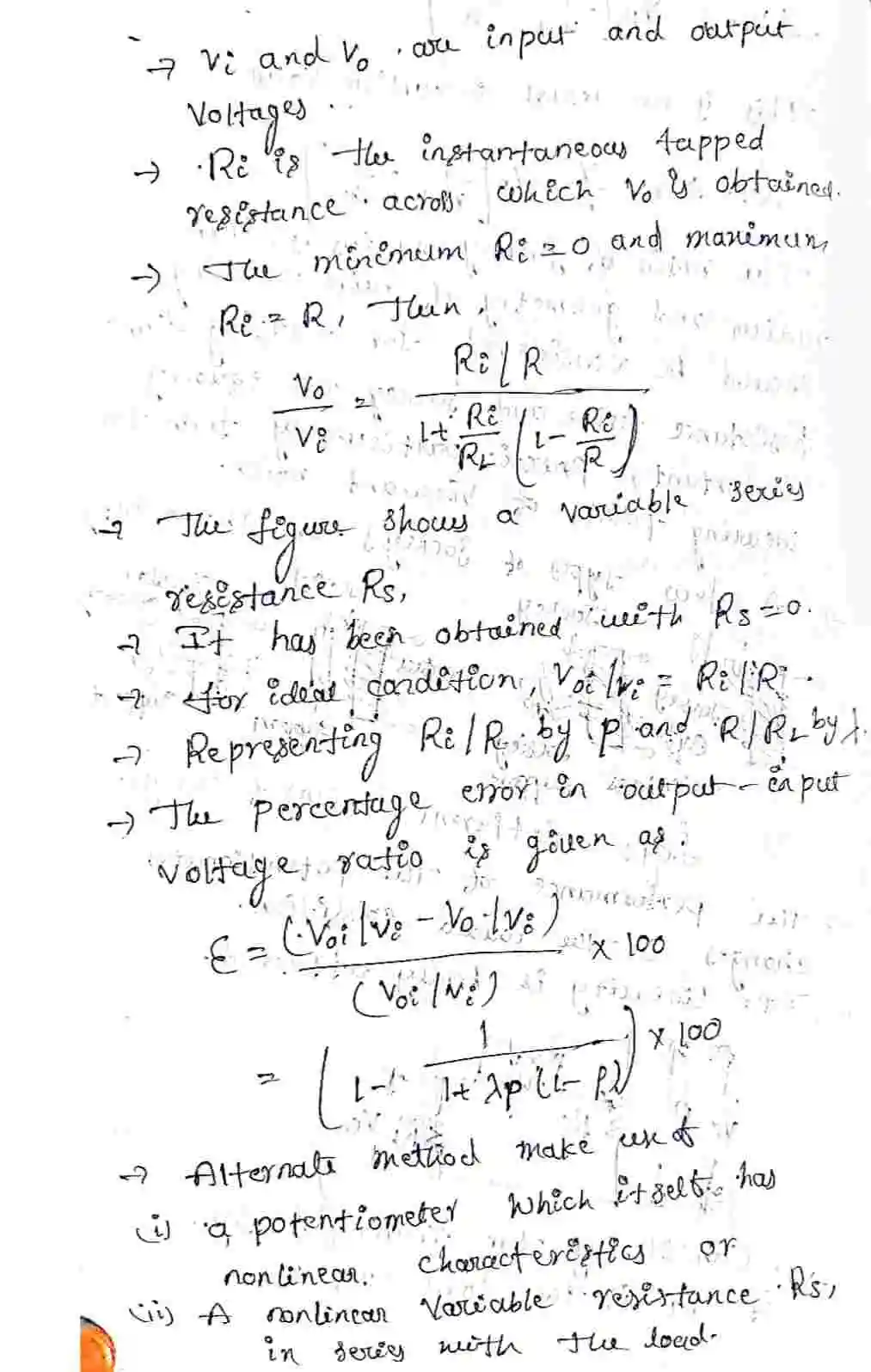
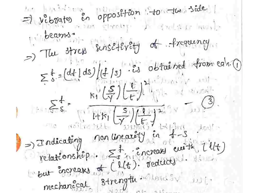
Electiomechanical Sensors
Notes: ES Notes-1
Notes: ES Notes-1