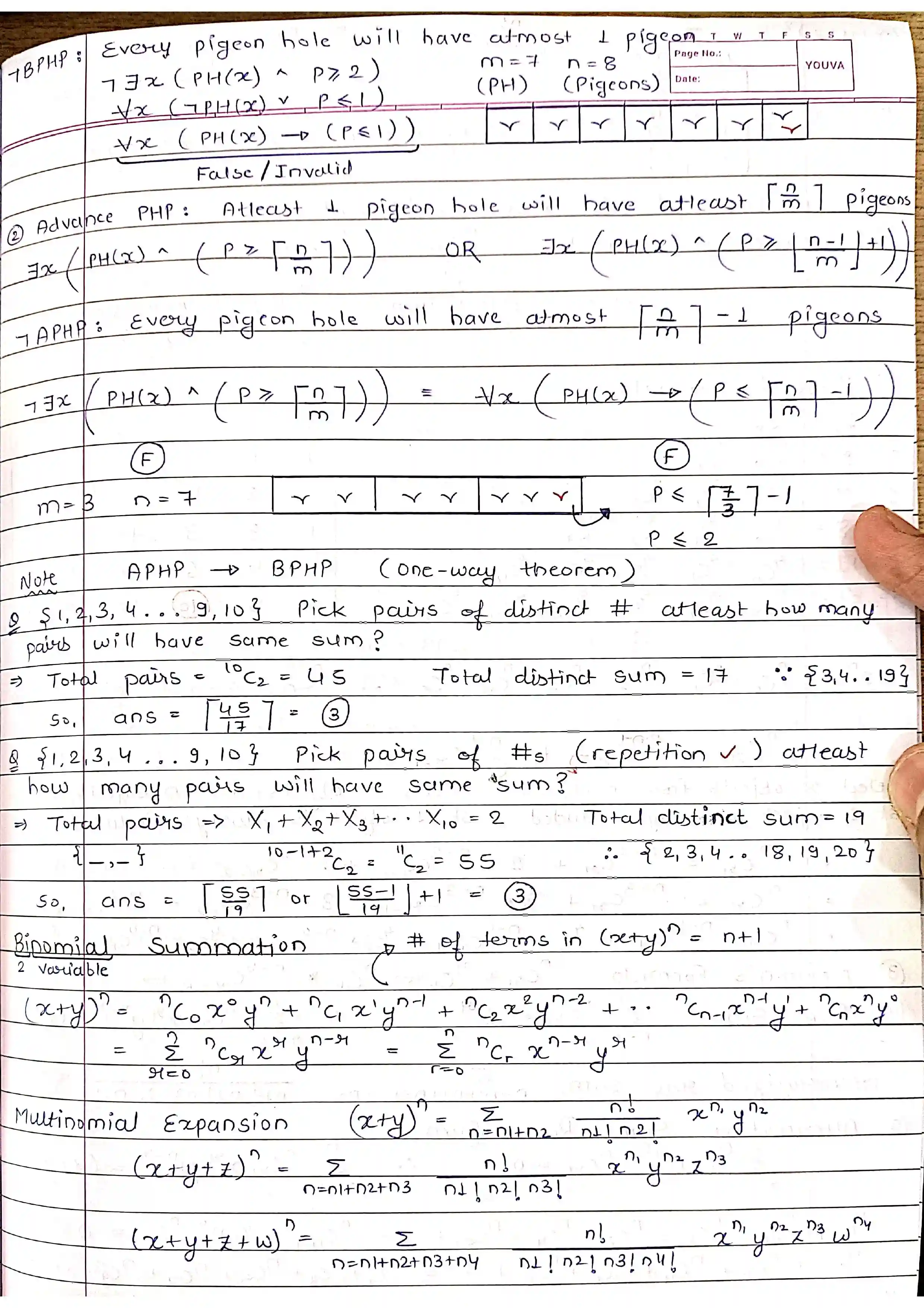
Short Complete notes
Notes: DM Notes-5
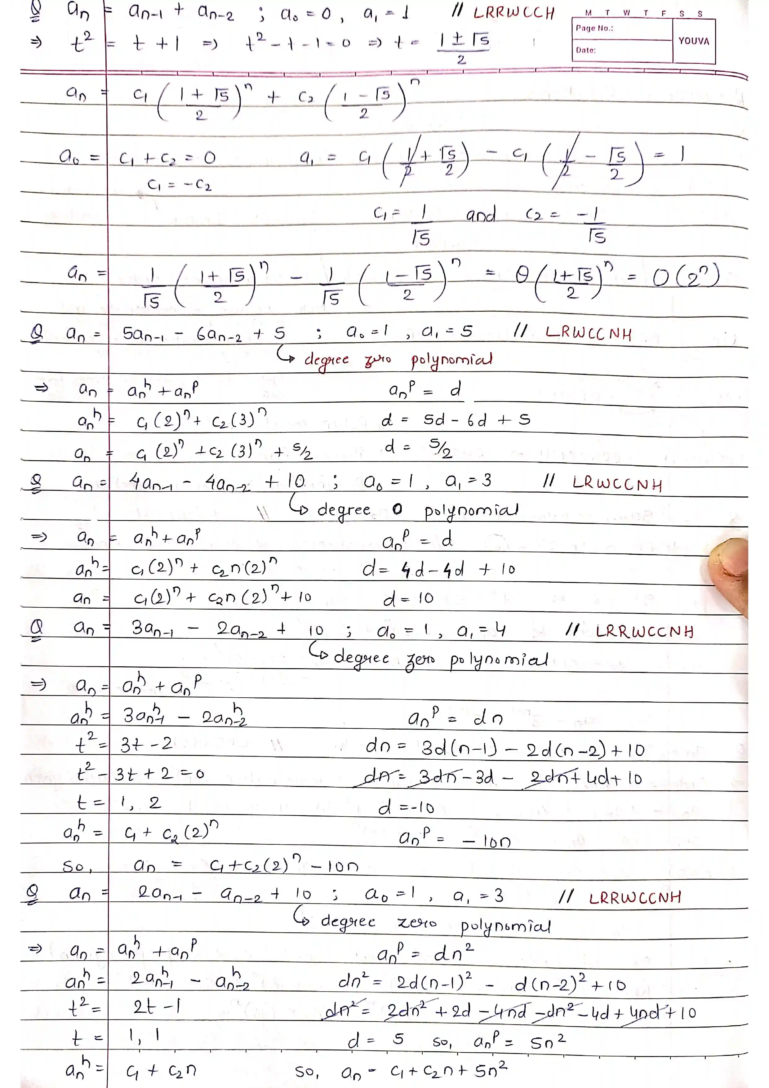
Notes: DM Notes-5