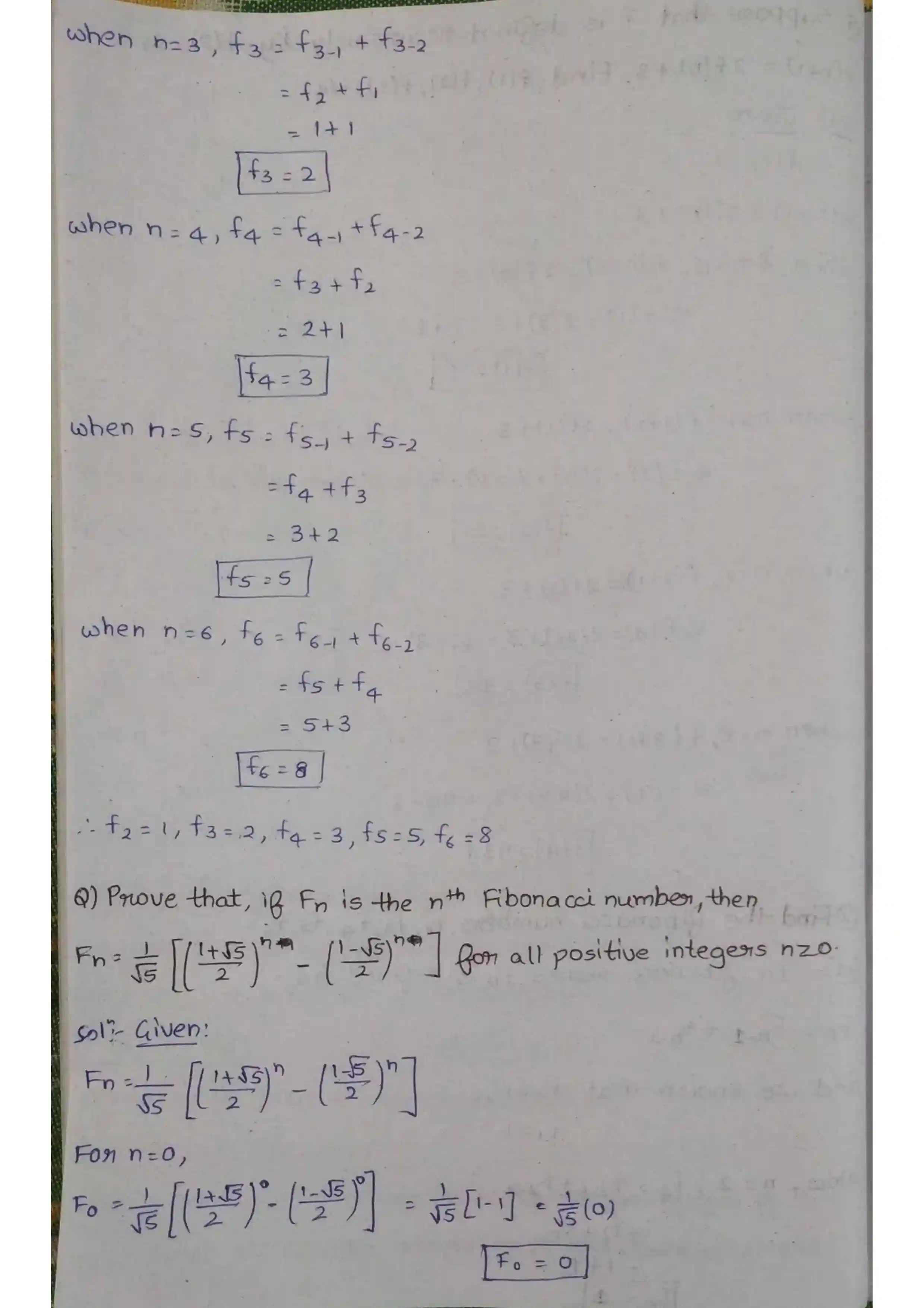
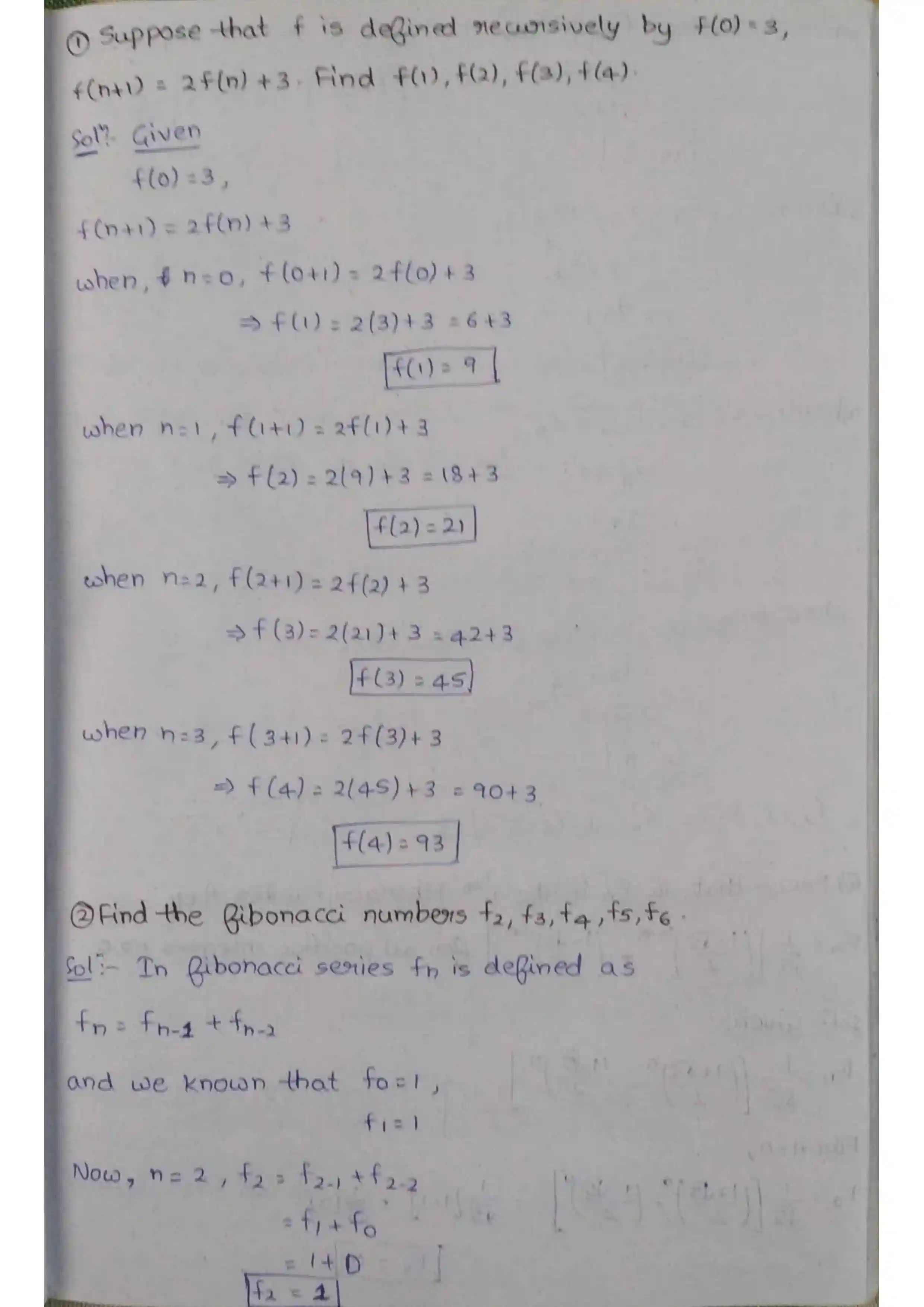
Induction and Recursion
Notes: DM Notes-4
Notes: DM Notes-4