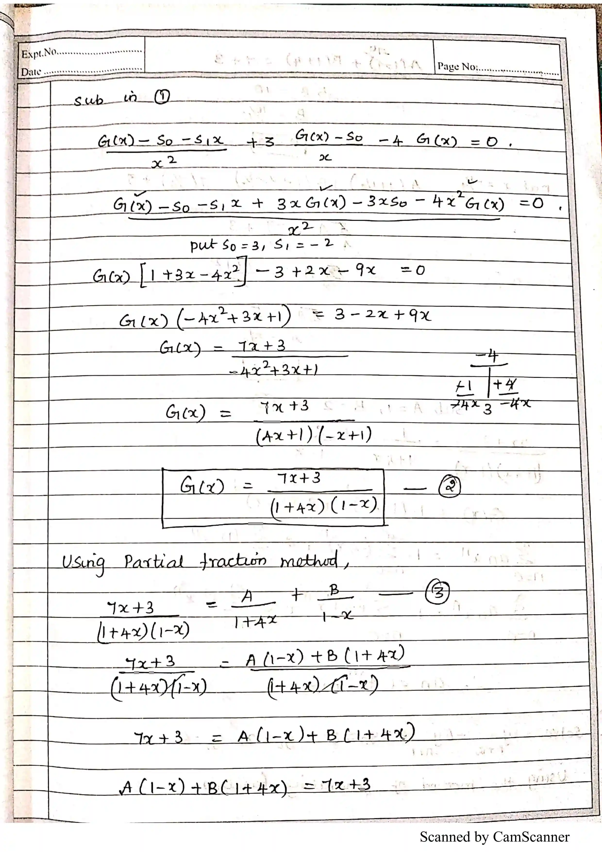
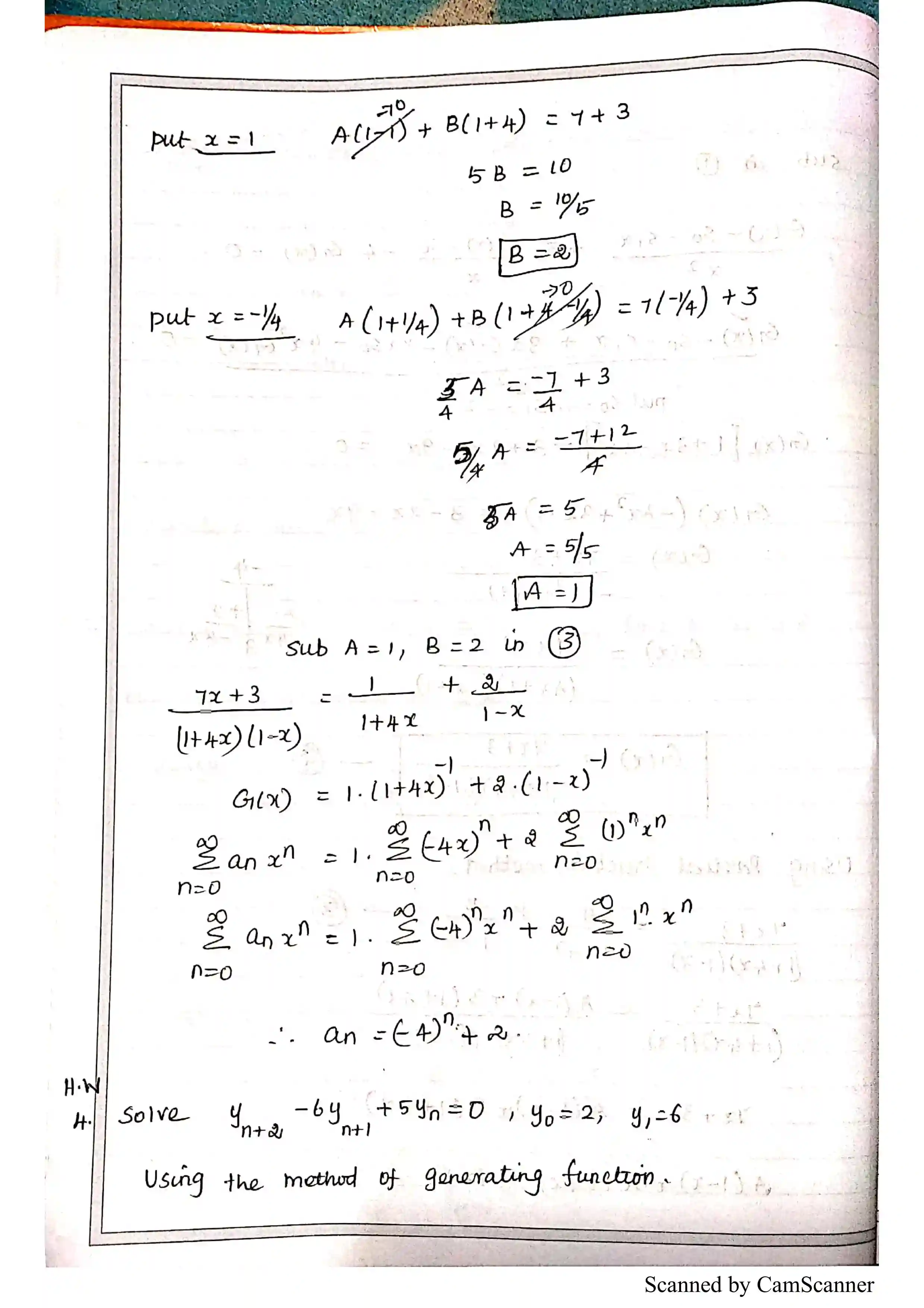
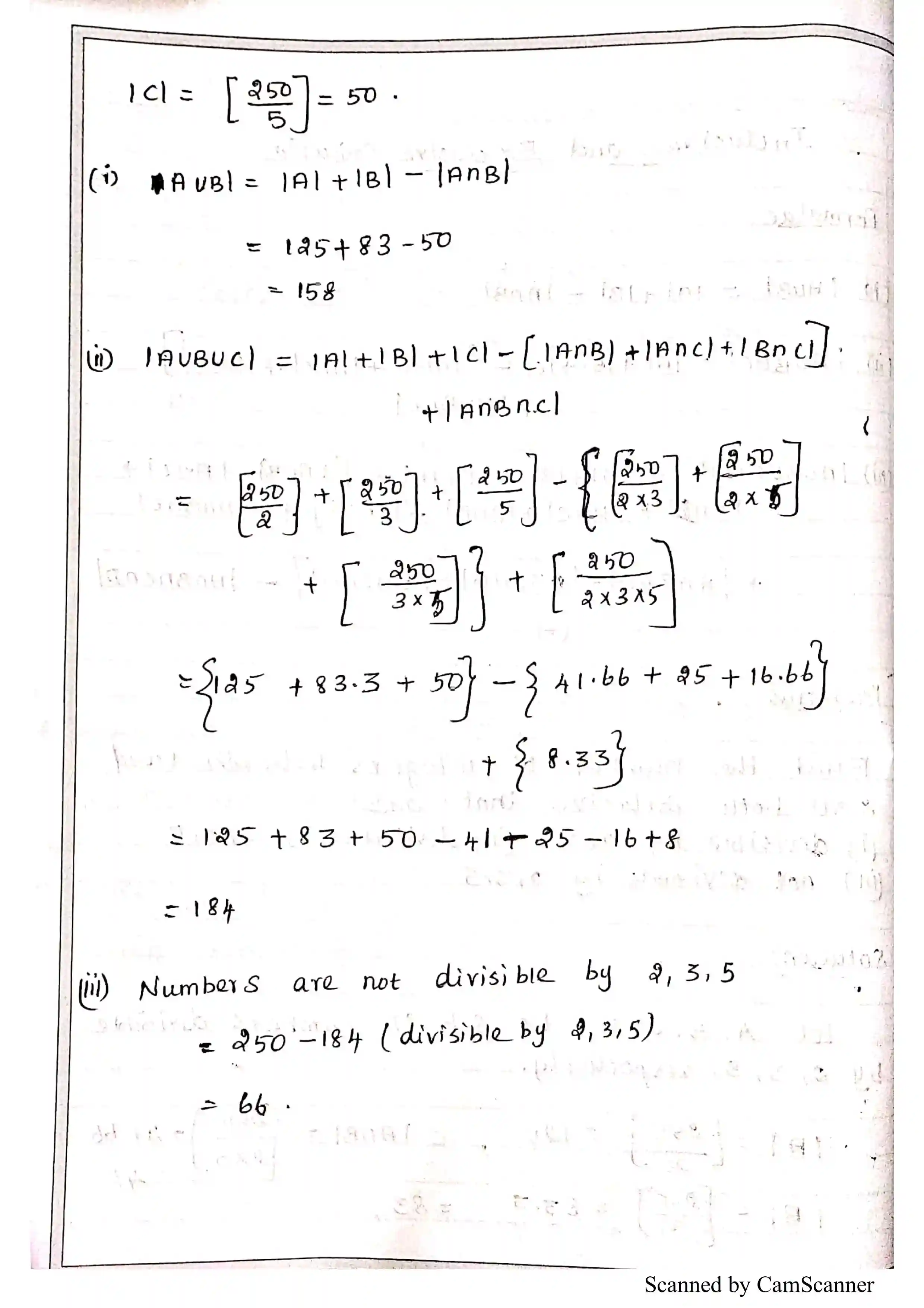
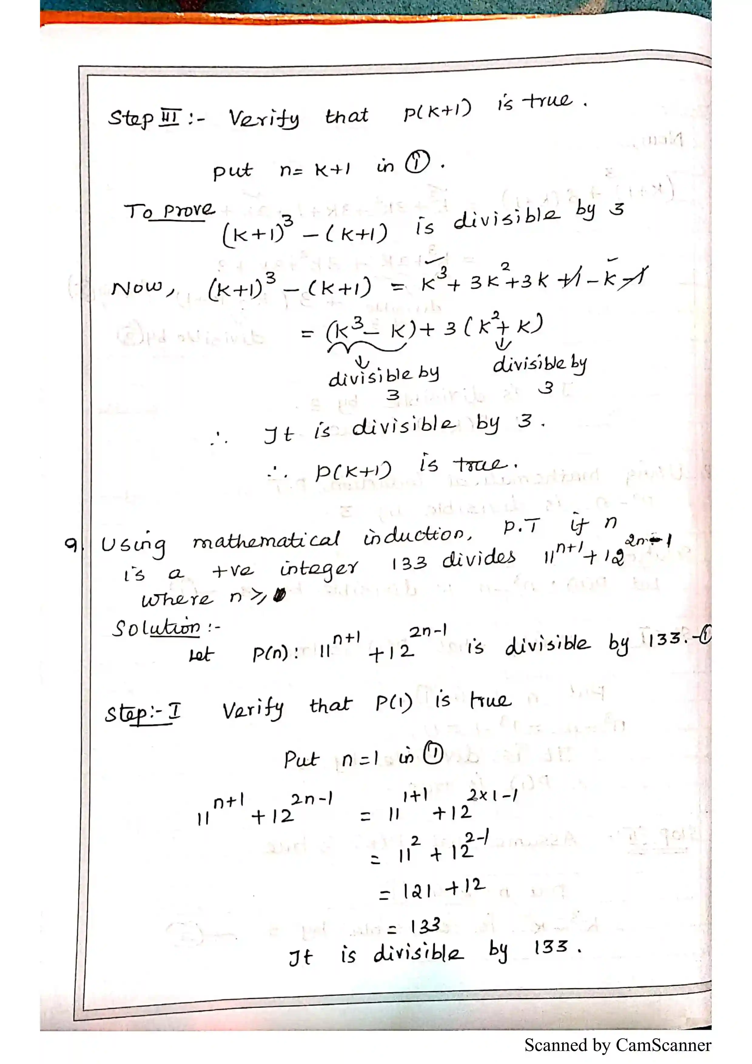
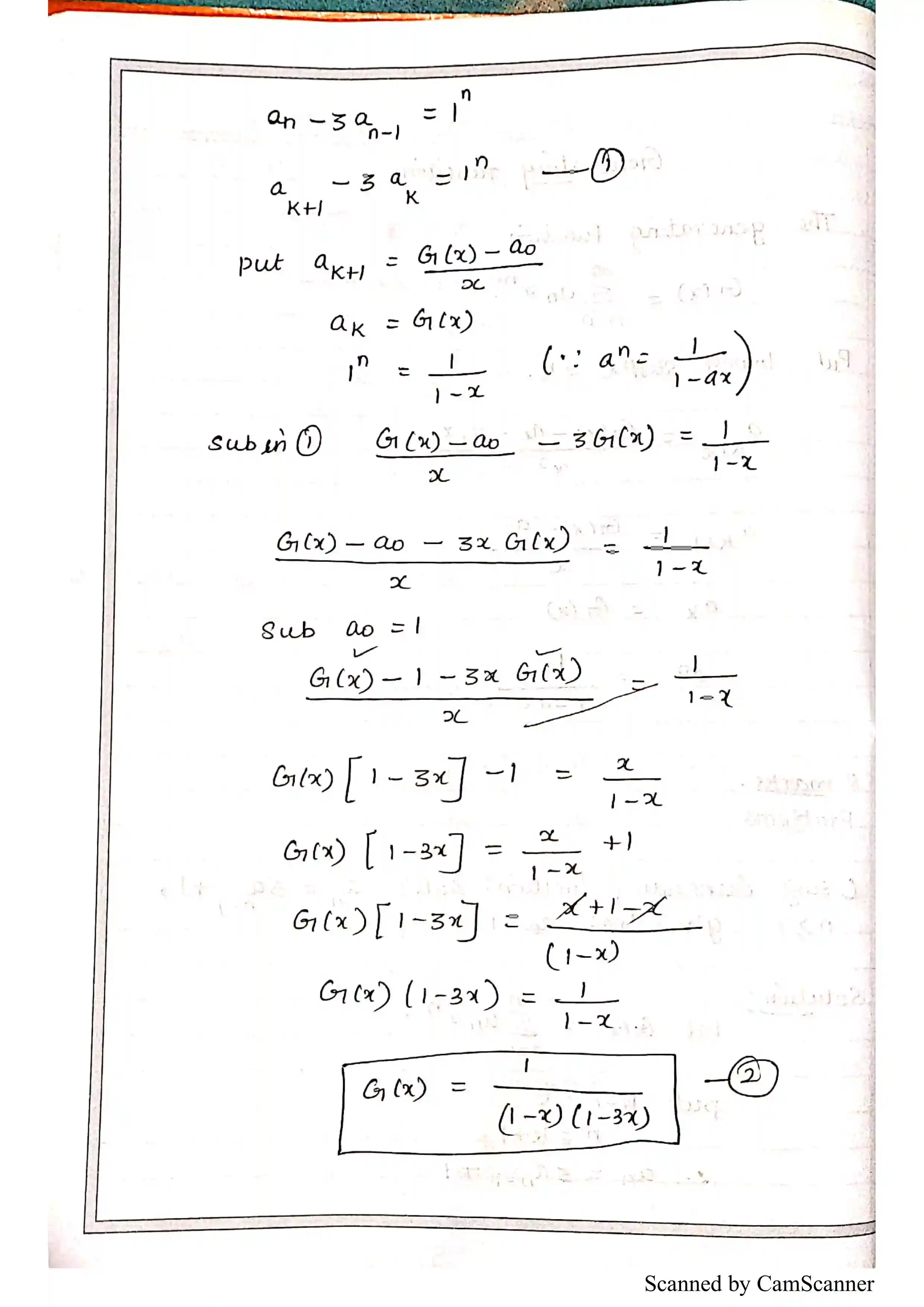
Combinatories
Notes: DM Notes-2
Notes: DM Notes-2