logo
𝞹
course index page index

Vector Integral Theorem

LIST OF PAGE CONTENT

  • Gauss Divergence Theorem
  •       Applications
  • Green's Theorem
  •       Applications
  • Stokes Theorem
  •       Applications

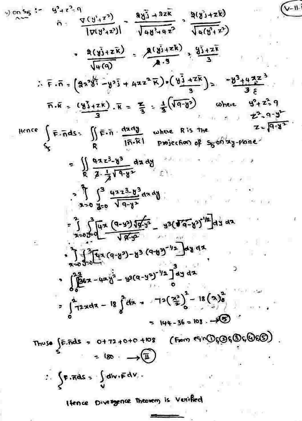
    Gauss Divergence Theorem

    Gauss Divergence Theorem Gauss Divergence Theorem Gauss Divergence Theorem Gauss Divergence Theorem Gauss Divergence Theorem Gauss Divergence Theorem Gauss Divergence Theorem

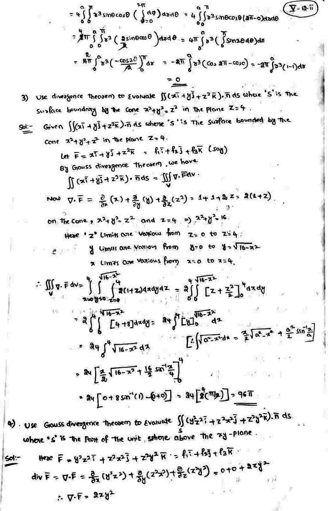
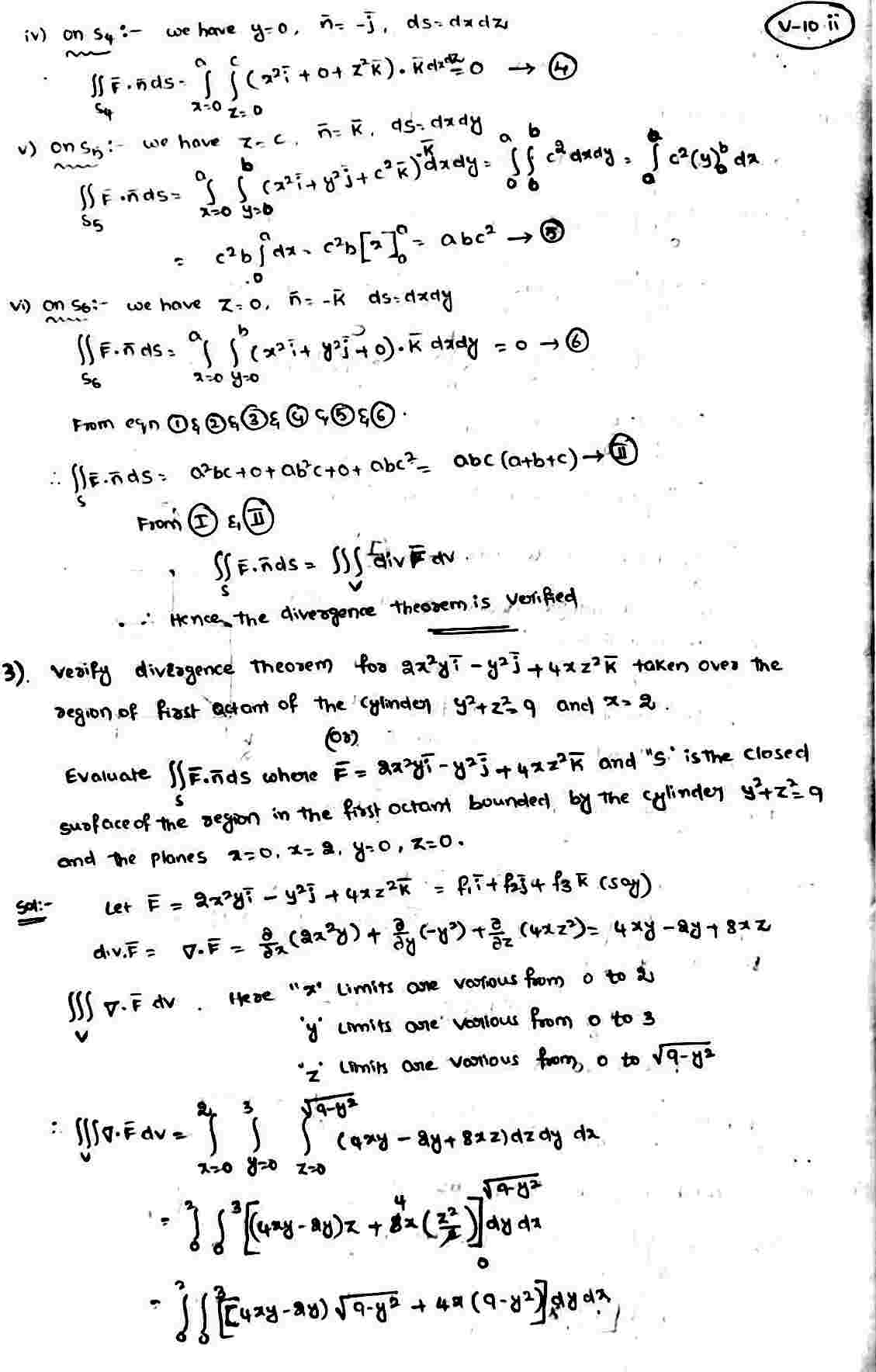
    Applications Of Gauss Divergence Theorem

    Applications Of Gauss Divergence Theorem Applications Of Gauss Divergence Theorem Applications Of Gauss Divergence Theorem

    Green's Theorem

    Green's Theorem Green's Theorem Green's Theorem Green's Theorem Green's Theorem

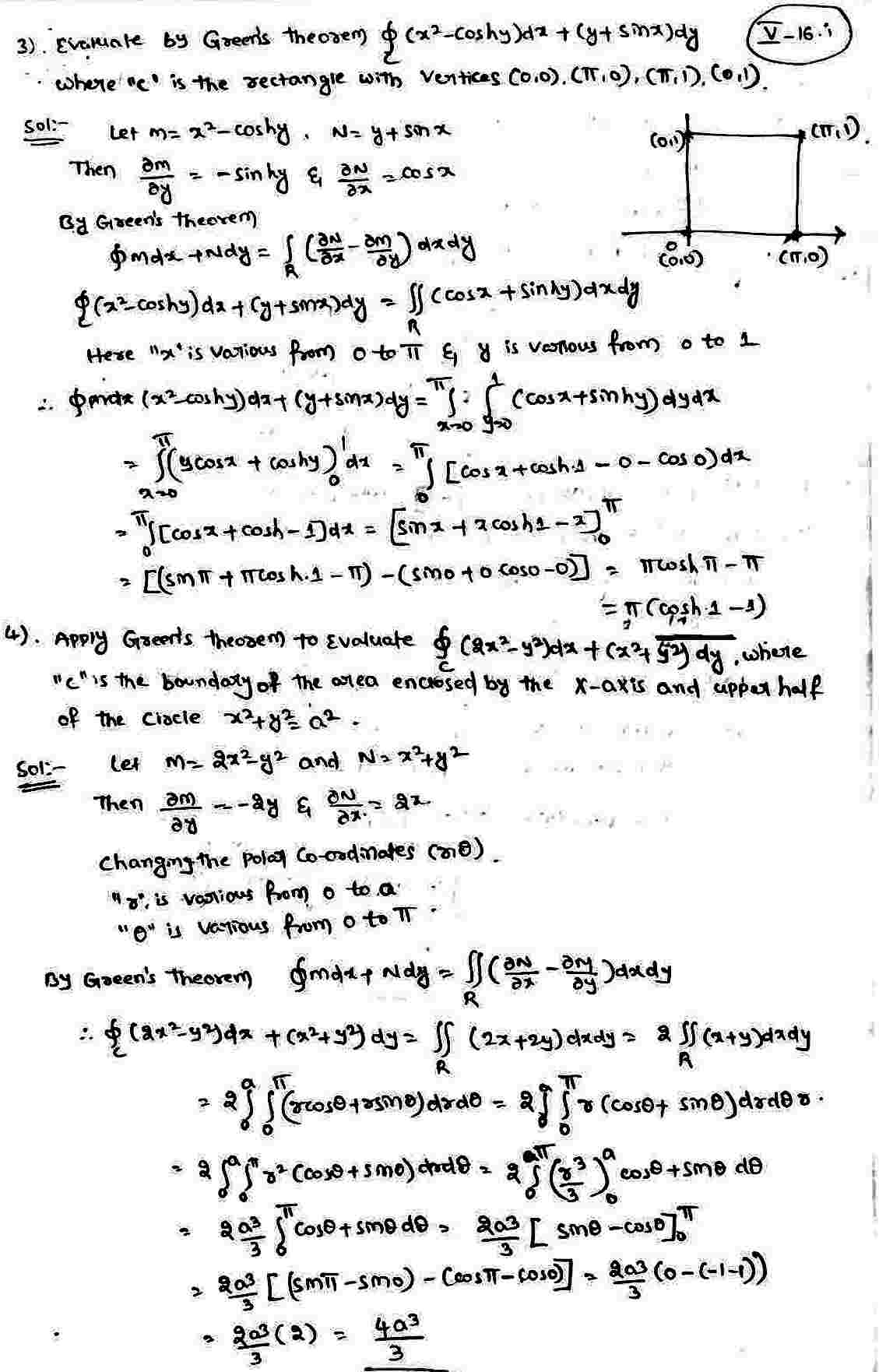
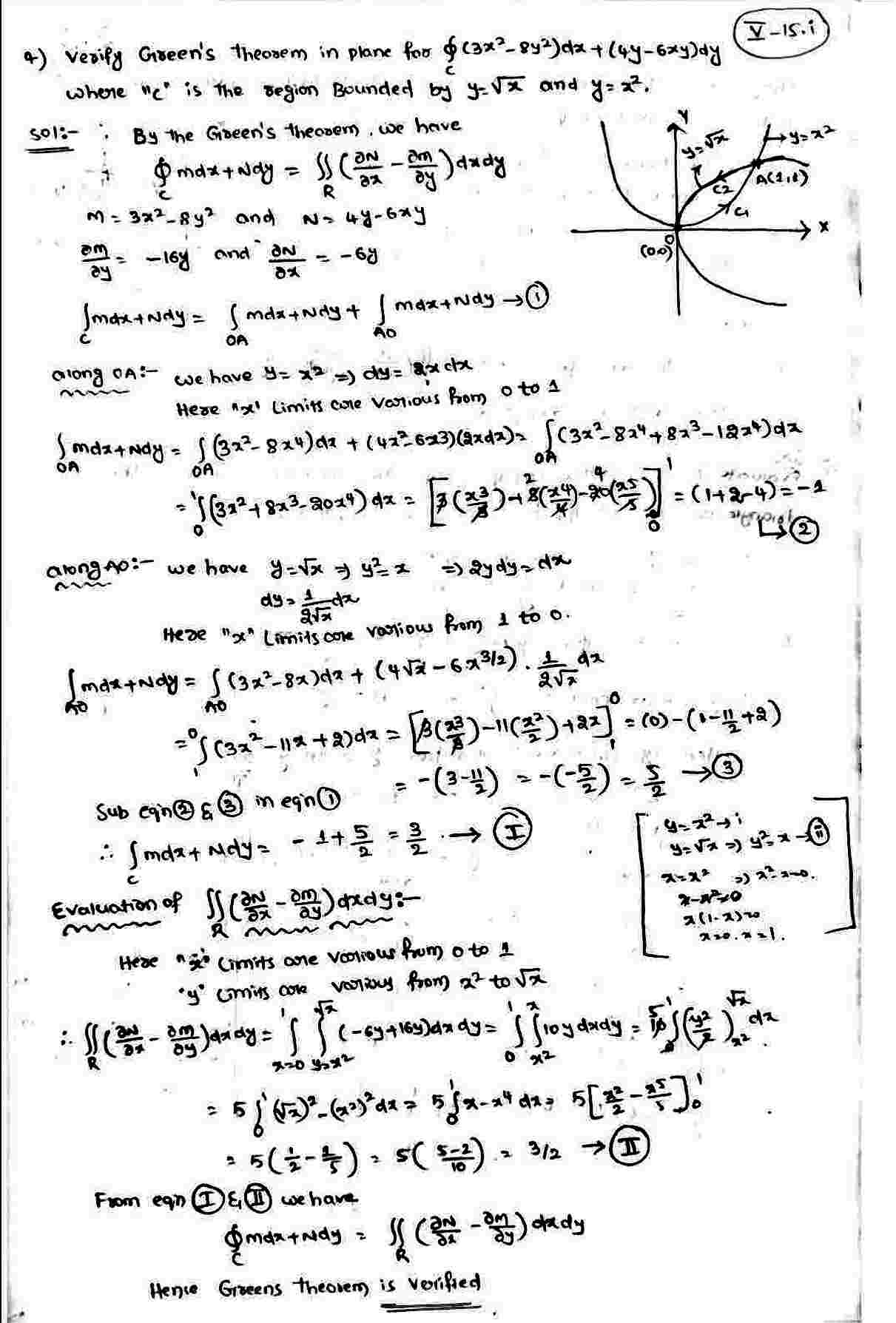
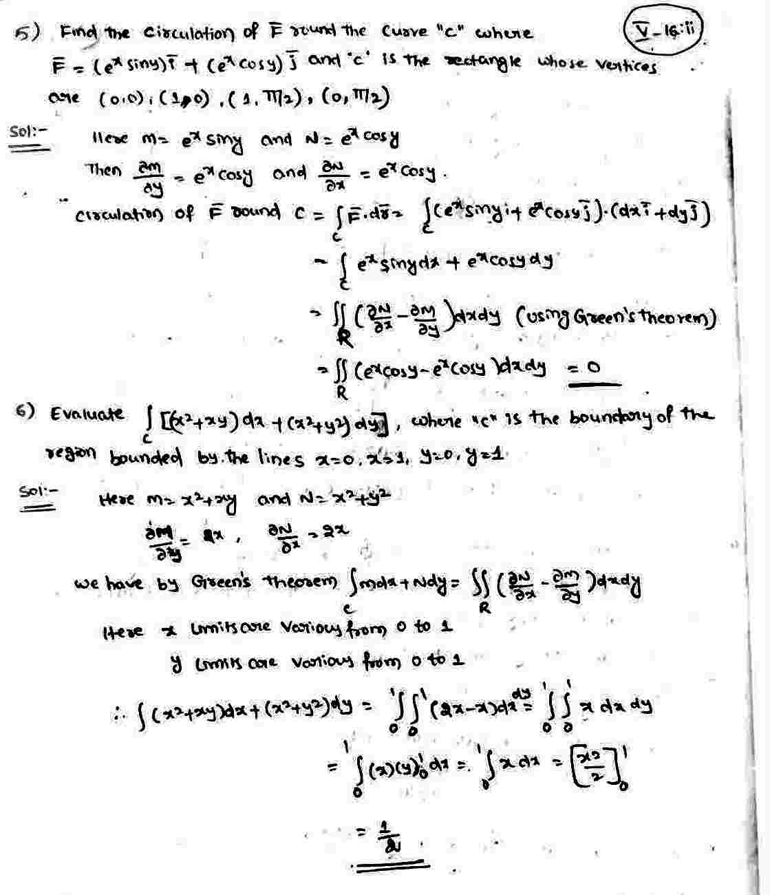
    Applications Of Green's Theorem

    Applications Of Green's Theorem Applications Of Green's Theorem Applications Of Green's Theorem

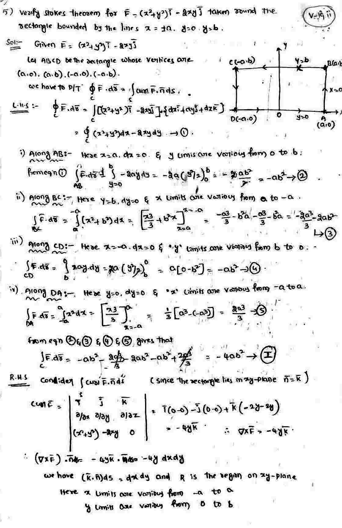
    Stokes Theorem

    Stokes Theorem Stokes Theorem Stokes Theorem Stokes Theorem Stokes Theorem Stokes Theorem Stokes Theorem

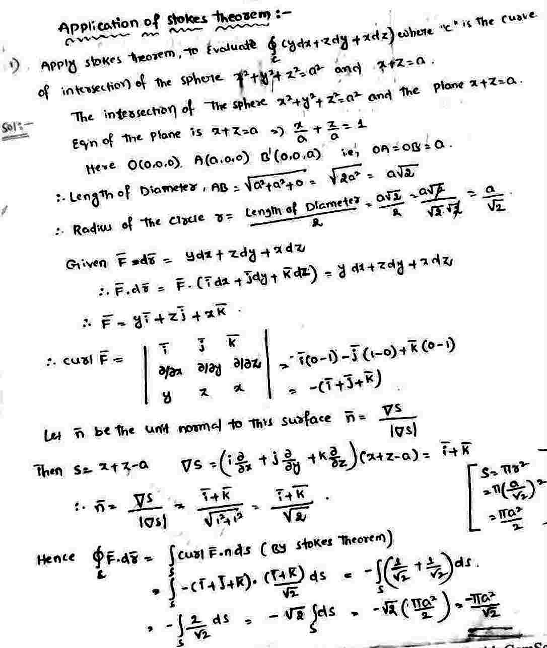
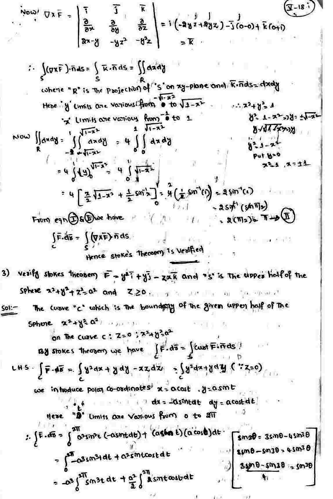
    Applications Of Stokes Theorem

    Applications Of Stokes Theorem Applications Of Stokes Theorem
    logo