logo
𝞹
course index page index

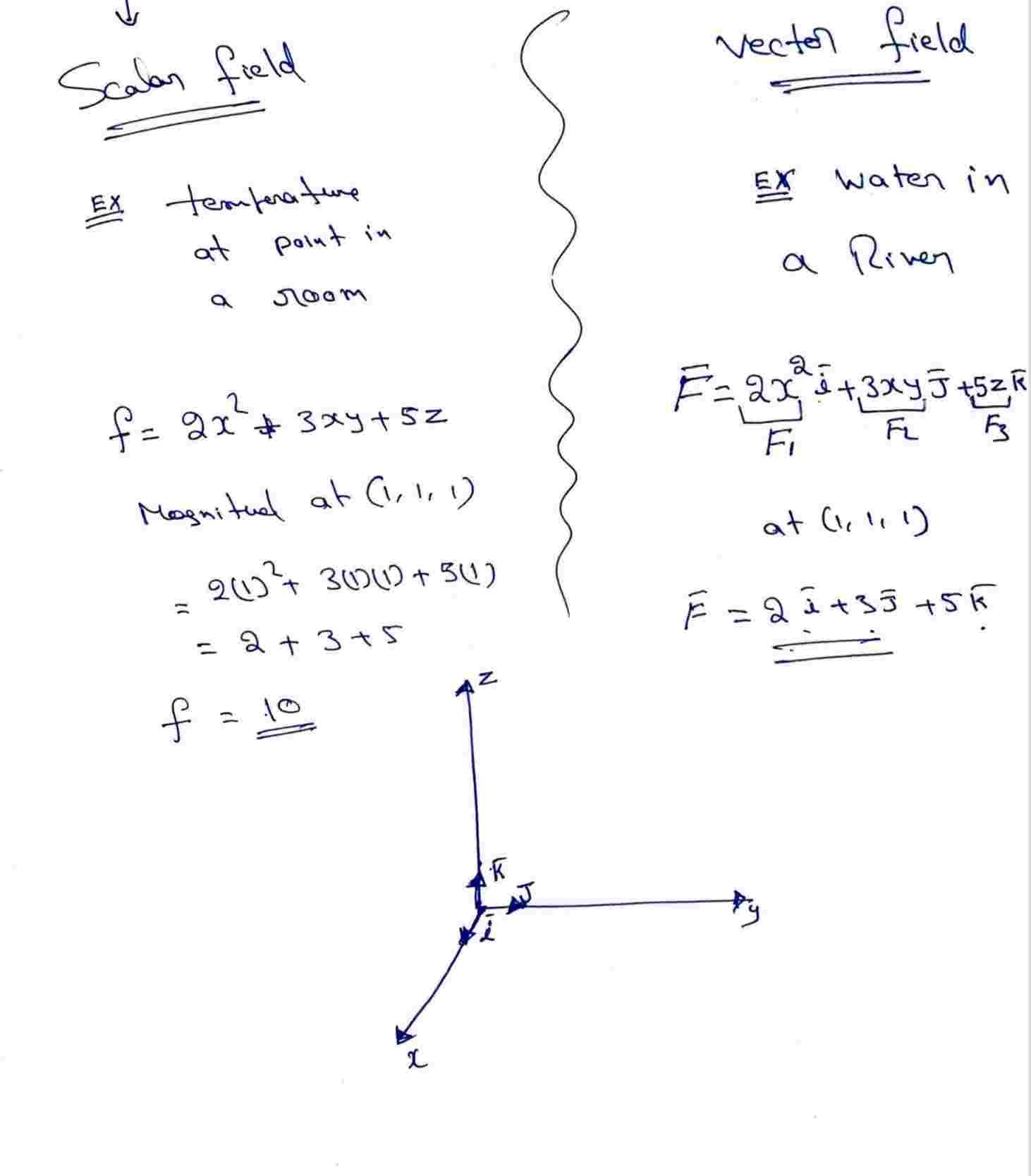
Vector Differential Calculus

LIST OF PAGE CONTENT

  • Introduction
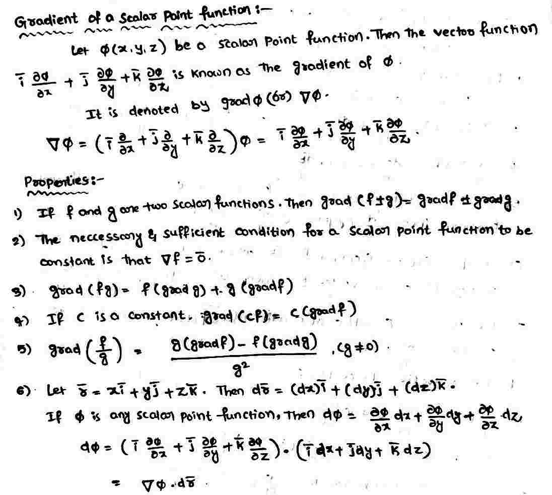
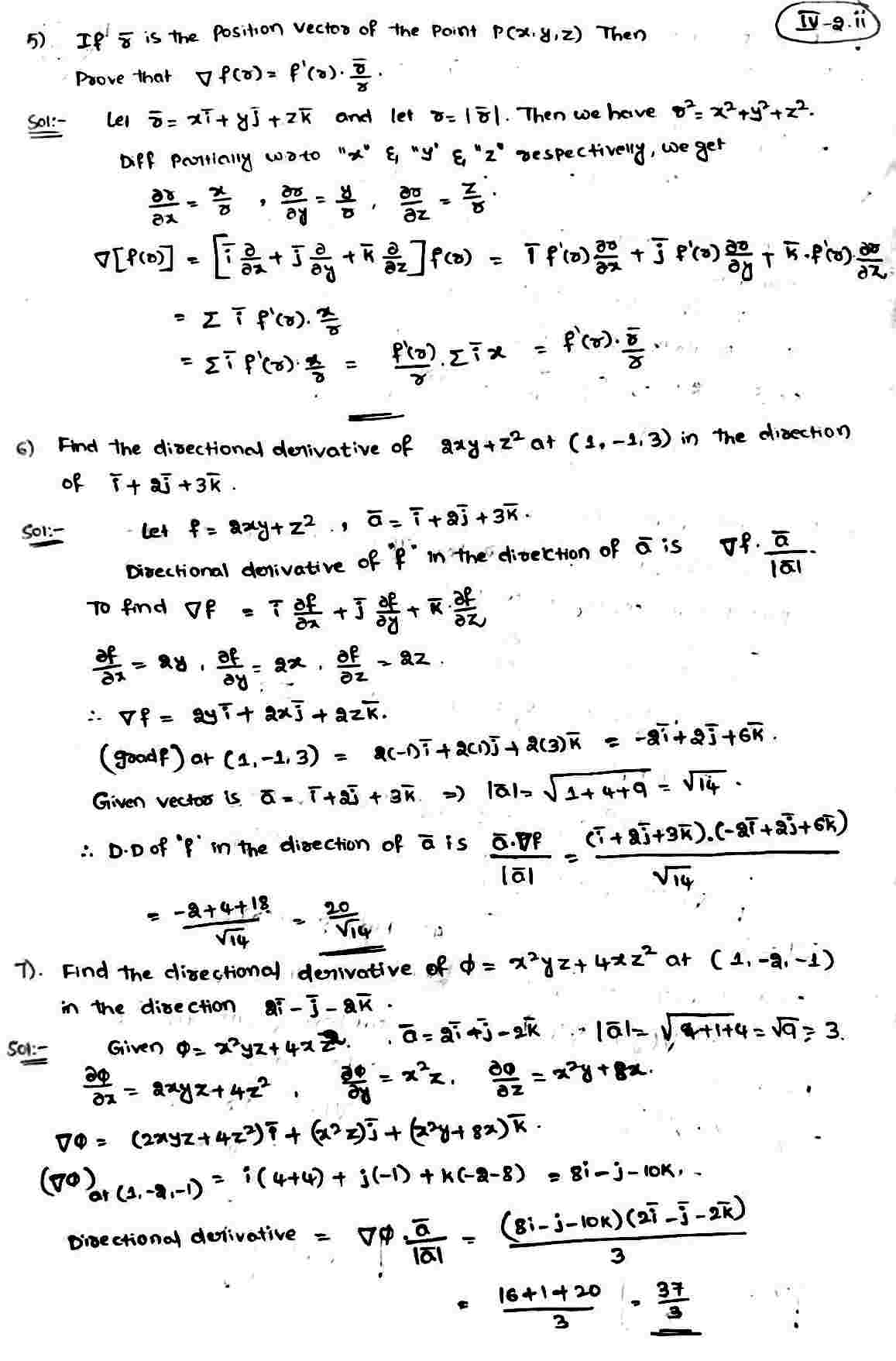
  •       Gradient
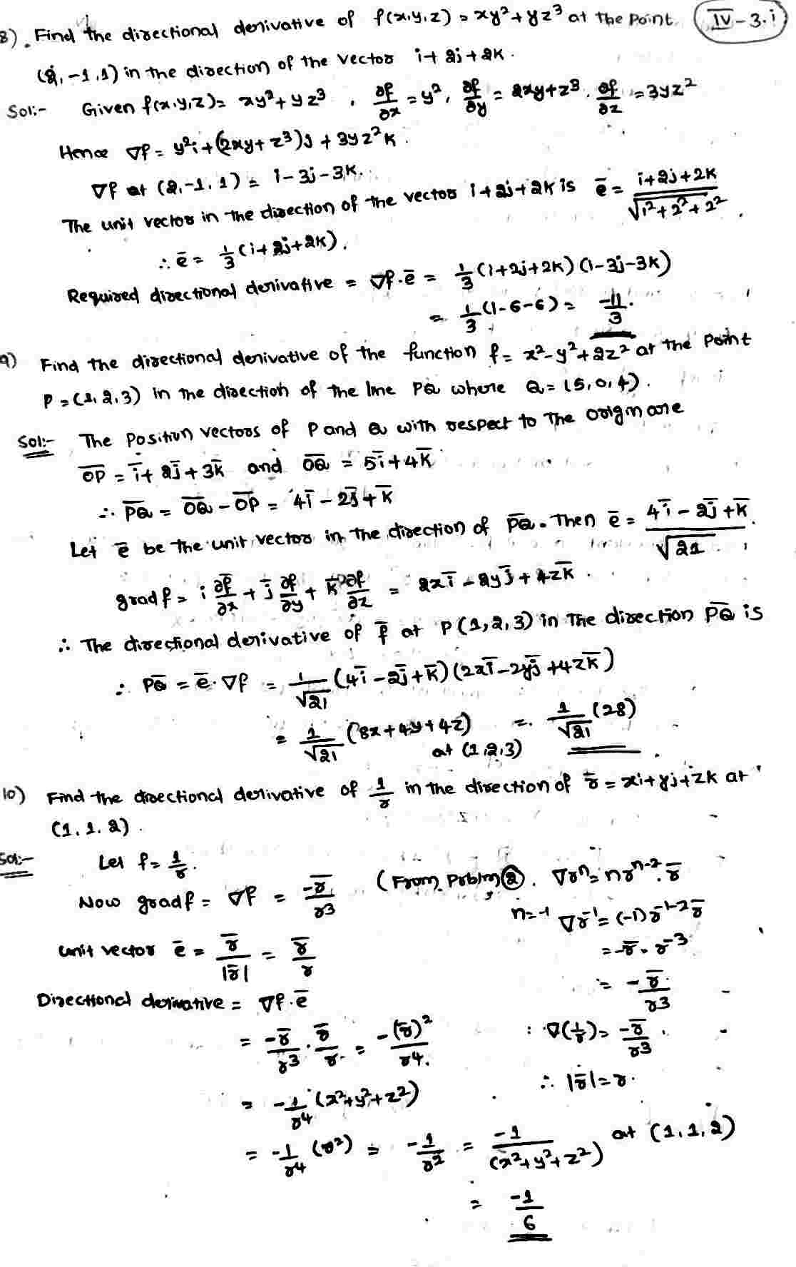
          Directional Derivative
          Unit Normal Vector
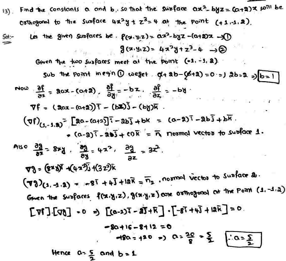
          Orthogonal Surfaces
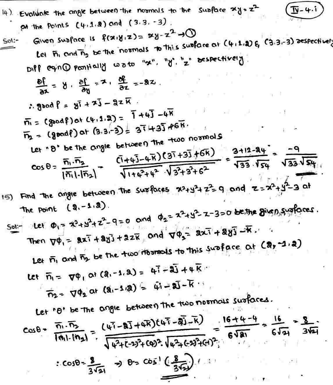
          Angle Between the two Normals
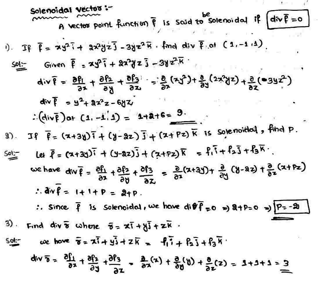
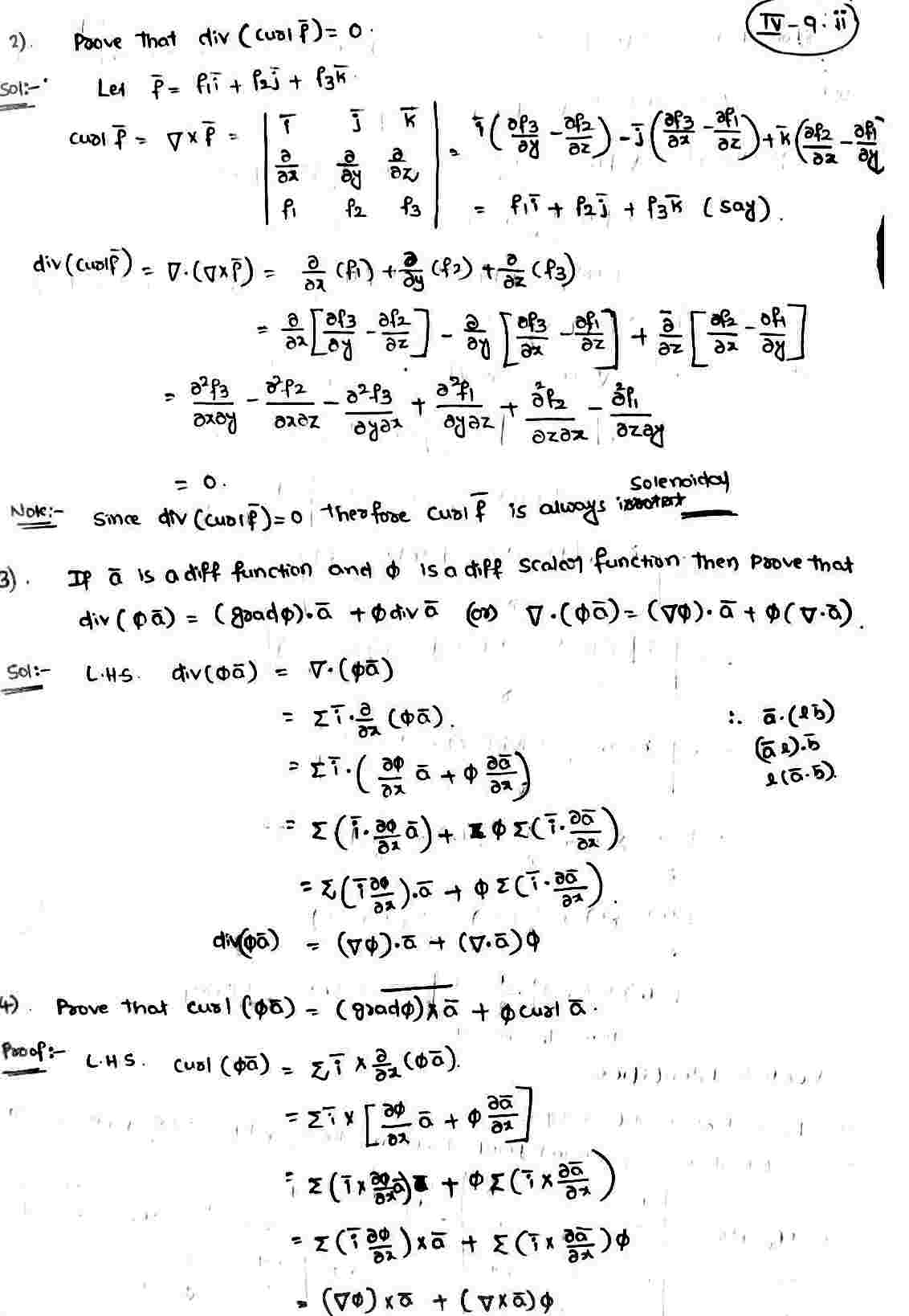
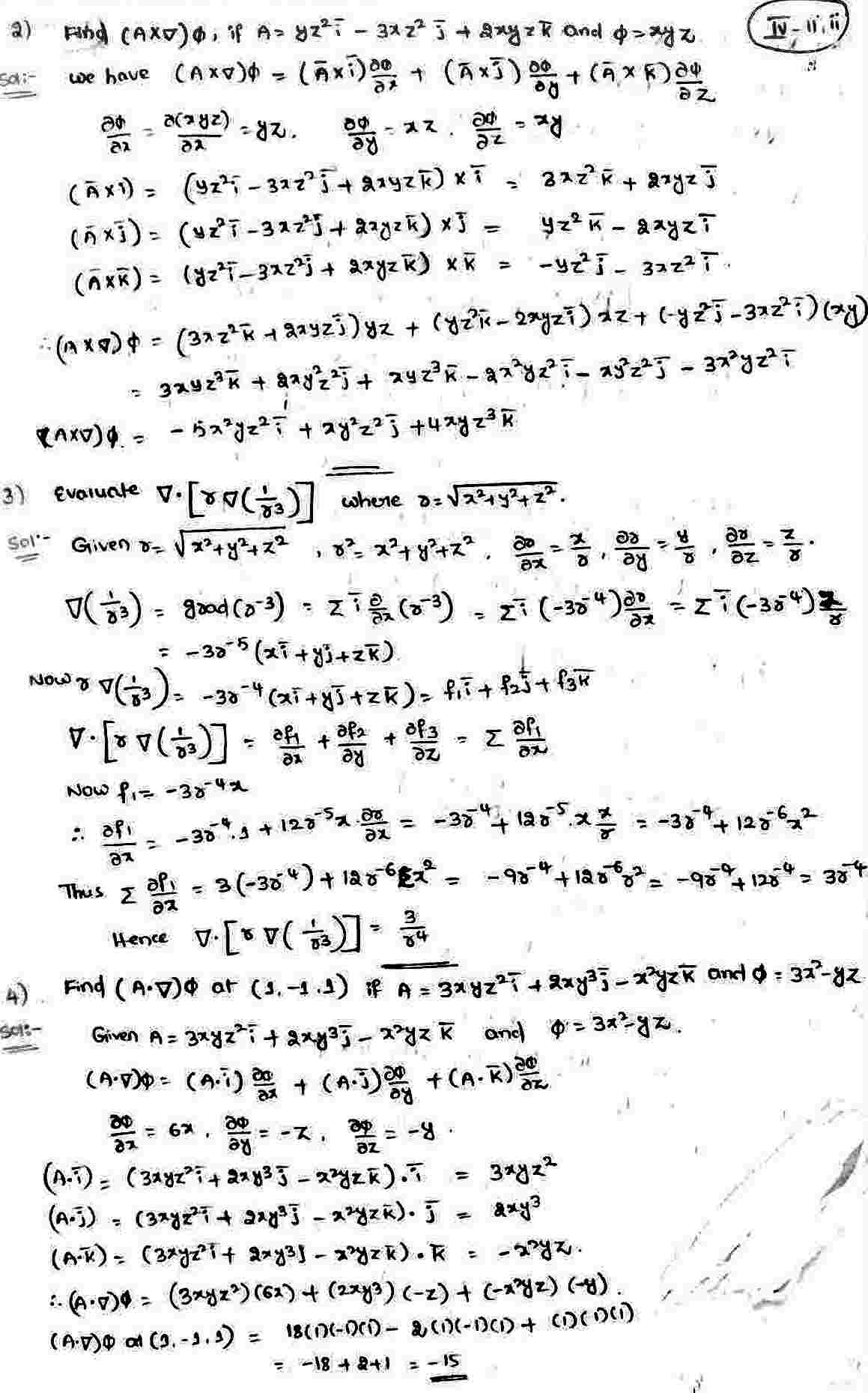
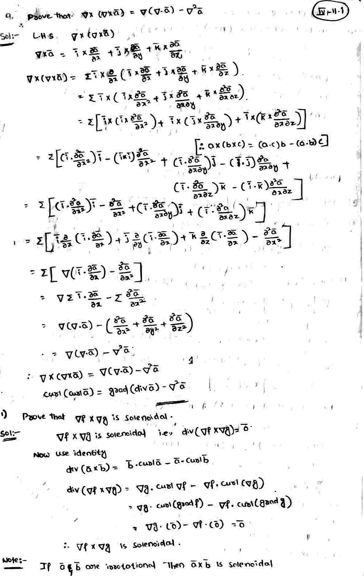
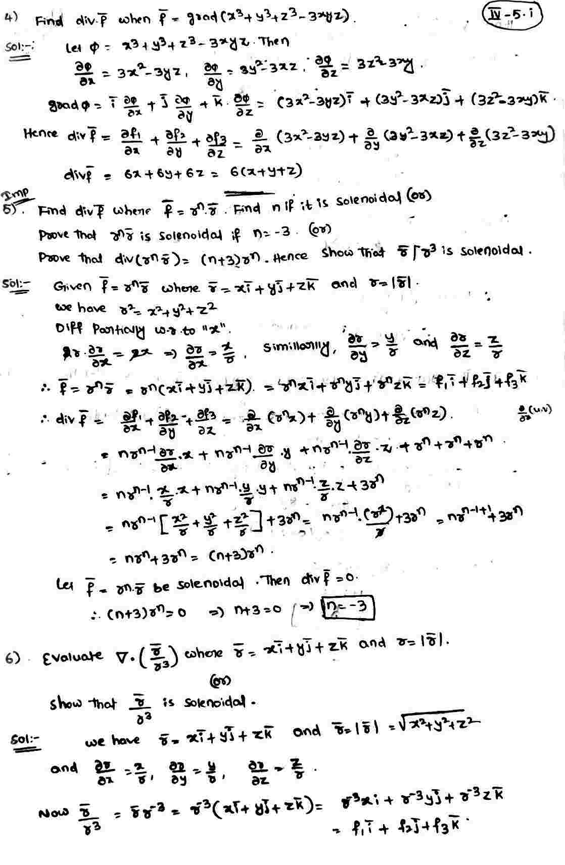
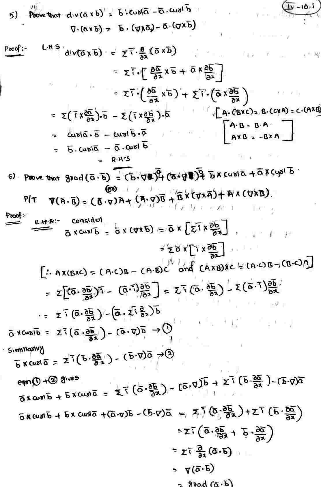
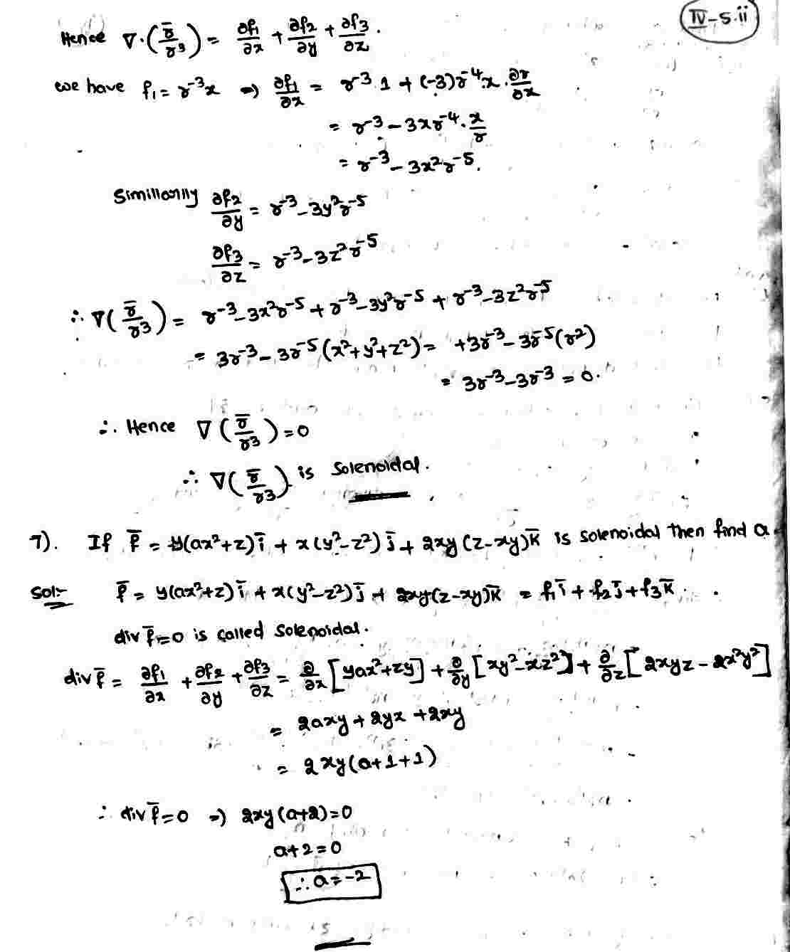
  • Divergence Of A Vector
  •       Solenoidal Vector
  • Curl Of A Vector
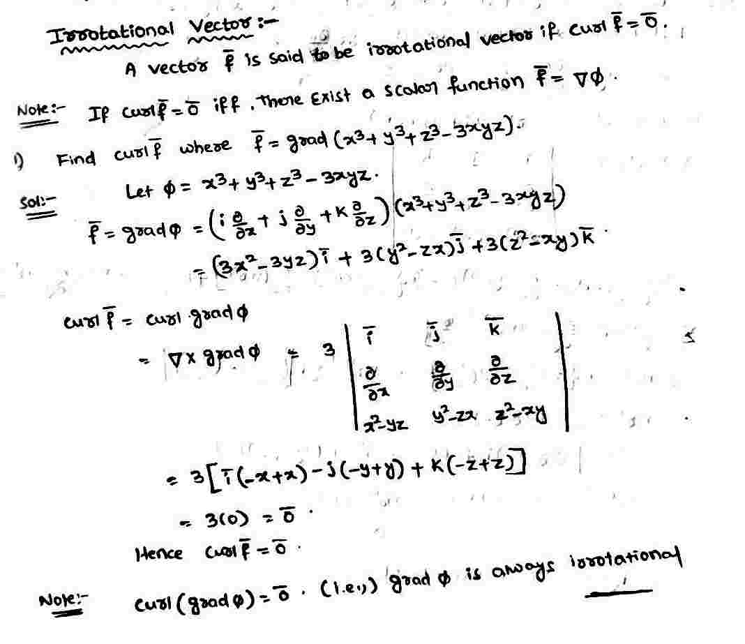
  •       Irrotational Vector
  • Operators
  •       Scalar Differential Operator,Vector Differential Operator,Laplacion Operator
  • Vector Identities
  • Introduction

    Vector Differentiation Vector Differentiation Vector Differentiation Vector Differentiation Vector Differentiation Vector Differentiation Vector Differentiation

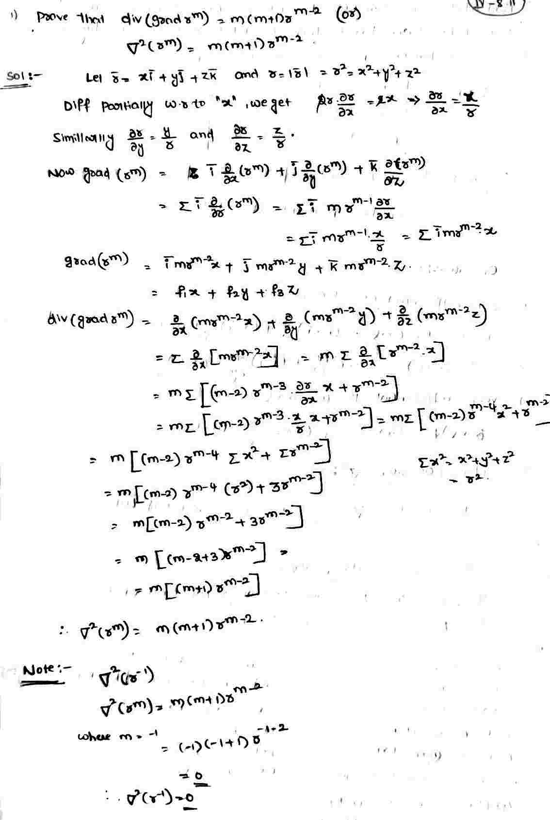
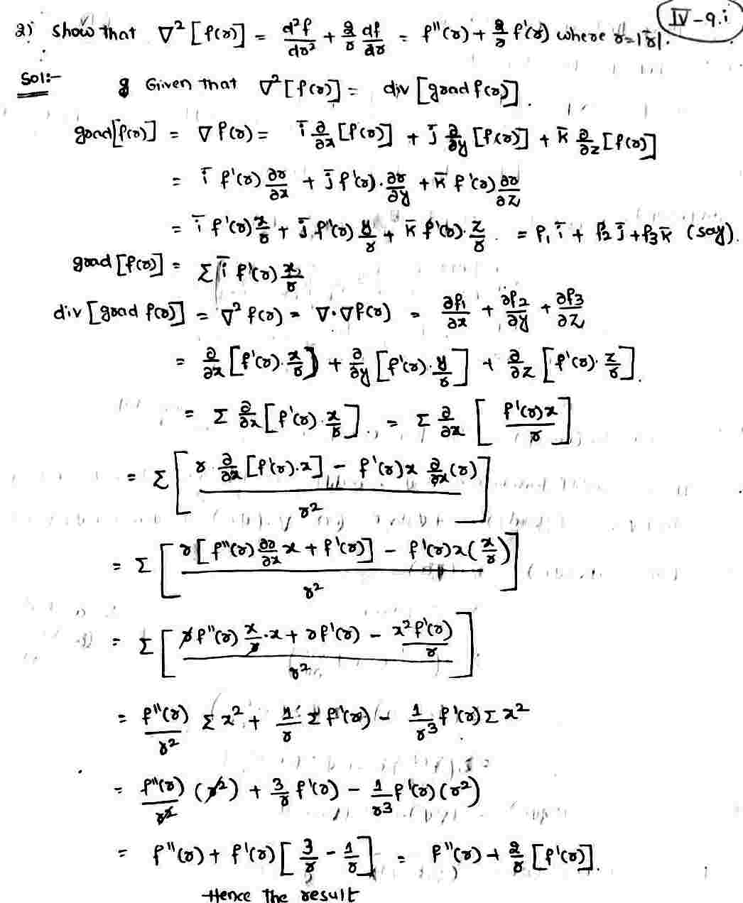
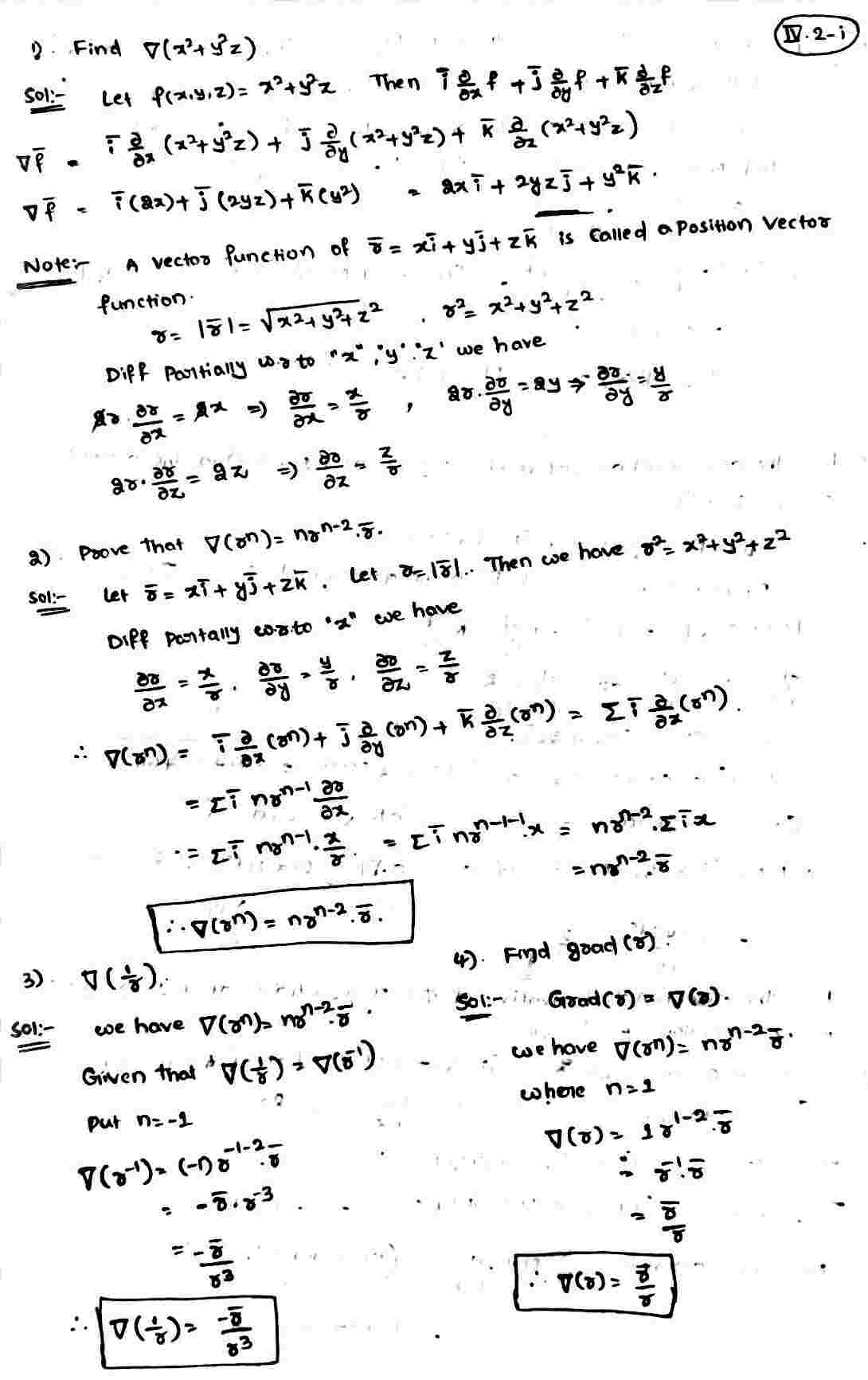
    Gradient

    Vector Differentiation

    Directional Derivative

    Vector Differentiation Vector Differentiation Vector Differentiation Vector Differentiation

    Unit Normal Vector

    Vector Differentiation

    Orthogonal Surfaces

    Vector Differentiation

    Angle Between the two Normals

    Vector Differentiation

    Divergence Of A Vector

    Vector Differentiation

    Solenoidal Vector

    Vector Differentiation Vector Differentiation Vector Differentiation

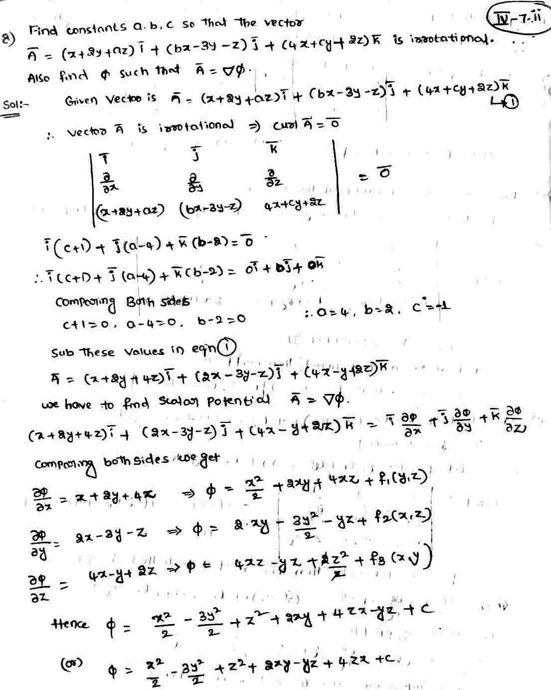
    Curl Of A Vector

    Vector Differentiation

    Irrotational Vector

    Vector Differentiation Vector Differentiation Vector Differentiation Vector Differentiation

    Operators

    Scalar Differential Operator,Vector Differential Operator,Laplacion Operator

    Vector Differentiation Vector Differentiation Vector Differentiation

    Vector Identities

    Vector Differentiation Vector Differentiation Vector Differentiation Vector Differentiation Vector Differentiation Vector Differentiation
    logo