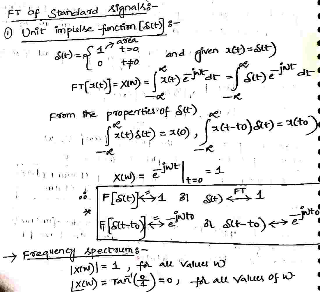
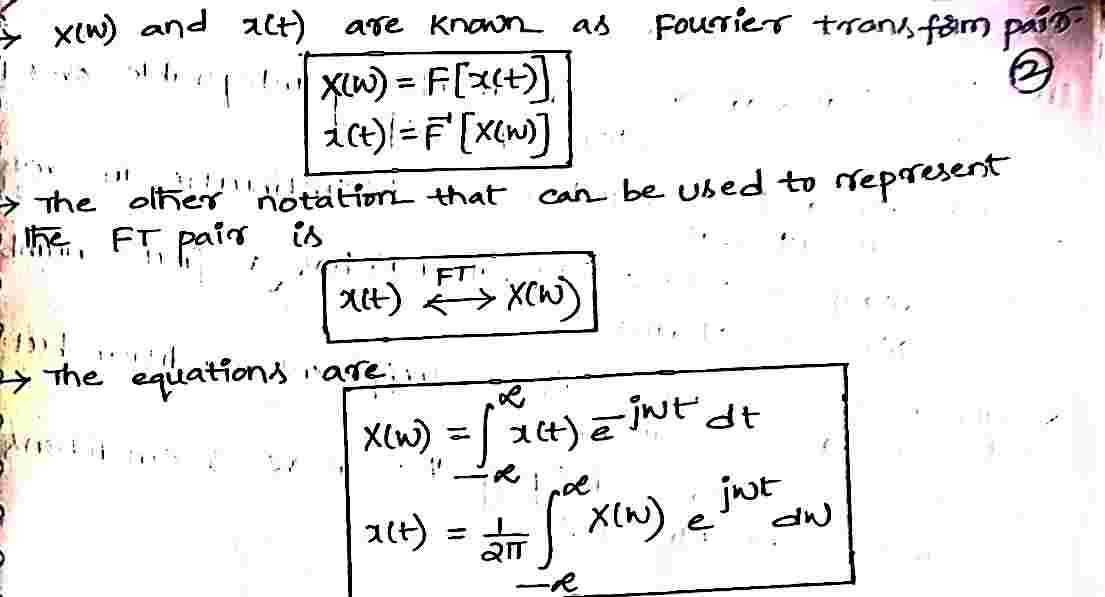
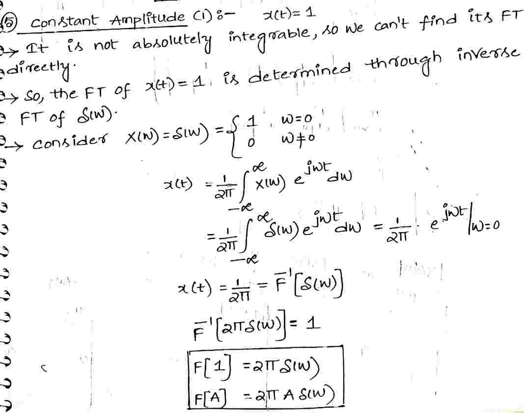
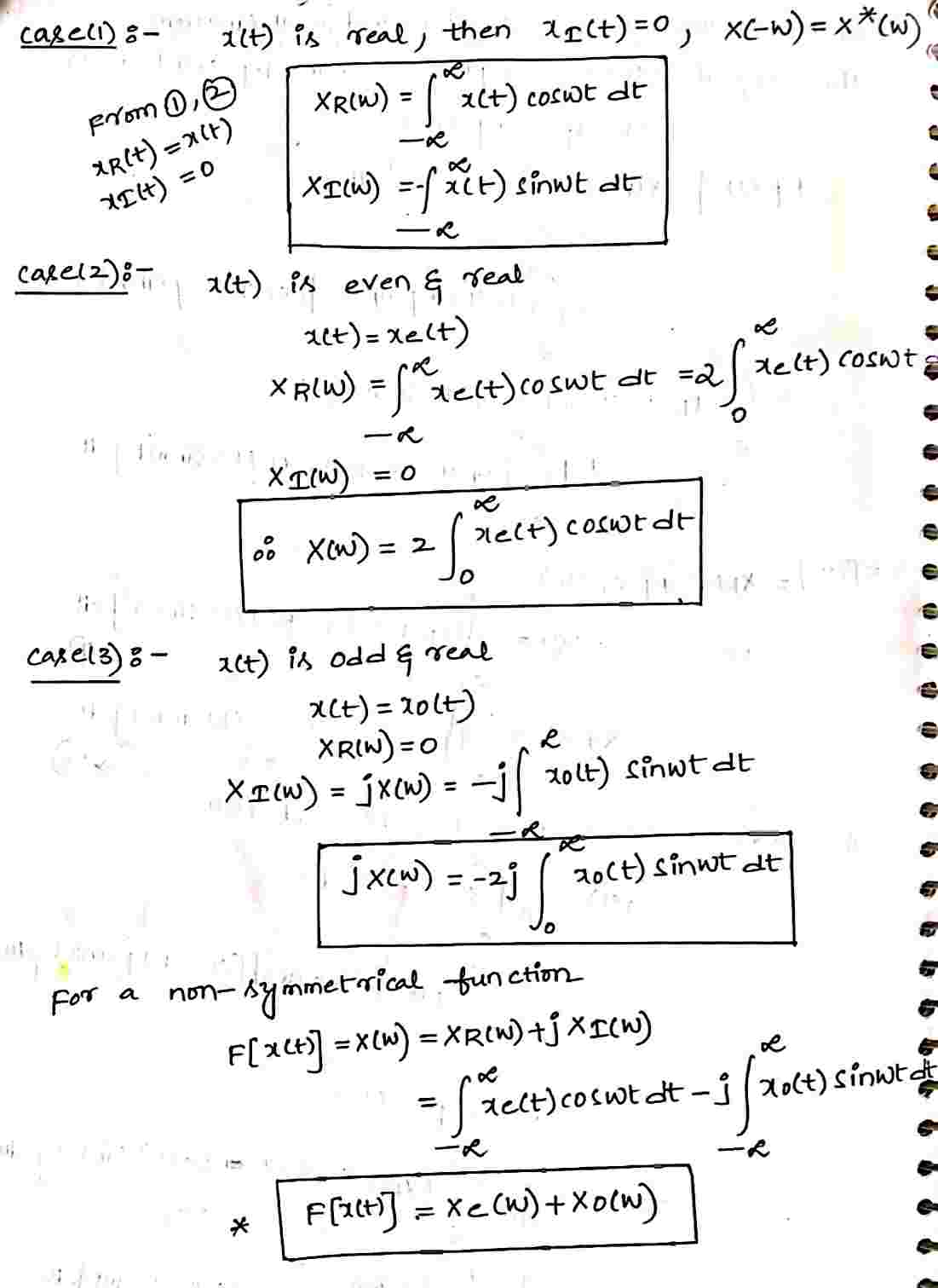
Digital Notes
Back
Fields
Handwritten Notes - Branches for ENGINEERING
Browse handwritten PDF notes organized by branches
SEO Meta:
Title: Hand Notes — Branches for ENGINEERING — Faastop | Branches: 5 available
All Fields
Hand Notes
No fields available
Civil Engineering
Handwritten PDF Notes Available
Computers Science And Engineering
Handwritten PDF Notes Available
Electrical And Electronics Engineering
Handwritten PDF Notes Available
Electronics and Communication Engineering
Handwritten PDF Notes Available
Mechanical Engineering
Handwritten PDF Notes Available