logo
𝞹
course index page index

FOURIER SERIES

LIST OF PAGE CONTENT

  • Representation of Fourier Series
  • Existence of Fourier Series
  • Evaluation of fourier Coefficients
  • Trigonometric Form of Fourier Series
  • Cosine Representation (Alternate Form of the Trigonometric Representation)
  • Wave Symmetry
  •       Even or Mirror Symmetry
          Odd or Rotation Symmetry
          Half Wave Symmetry
          Quarter Wave Symmetry
  • Exponential Fourier Series
  • Determination of the Coefficients of Exponential Fourier Series
  • Cosine Fourier Series from EFS
  • Fourier Spectrum
  • Properties of Continuous-Time Fourier Series
  •       Linearity Property
          Time Shifting Property
          Time Reversal Property
          Time Scaling Property
          Time Differentiation Property
          Time Integration Property
          Convolution Theorem or Property
          Modulation or Multiplication Property
          Conjugation and Conjugate Symmetry Property
          Parseval’s Relation or Theorem or Property

    Representation of Fourier Series

    Representation_of_Fourier_Series Representation_of_Fourier_Series

    Existence of Fourier Series

    Existence_of_Fourier_Series

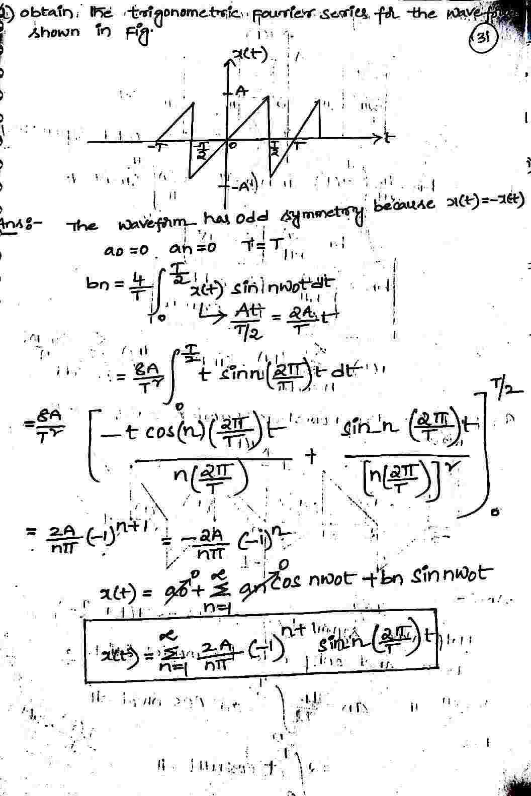
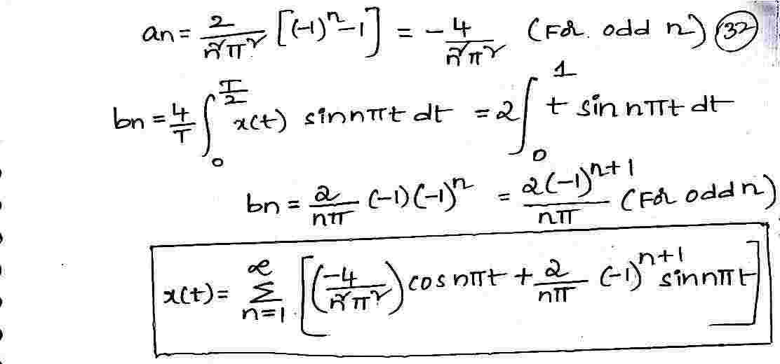
    Trigonometric Form of Fourier Series

    Trigonometric_Form_of_Fourier_Series

    Evaluation of fourier Coefficients

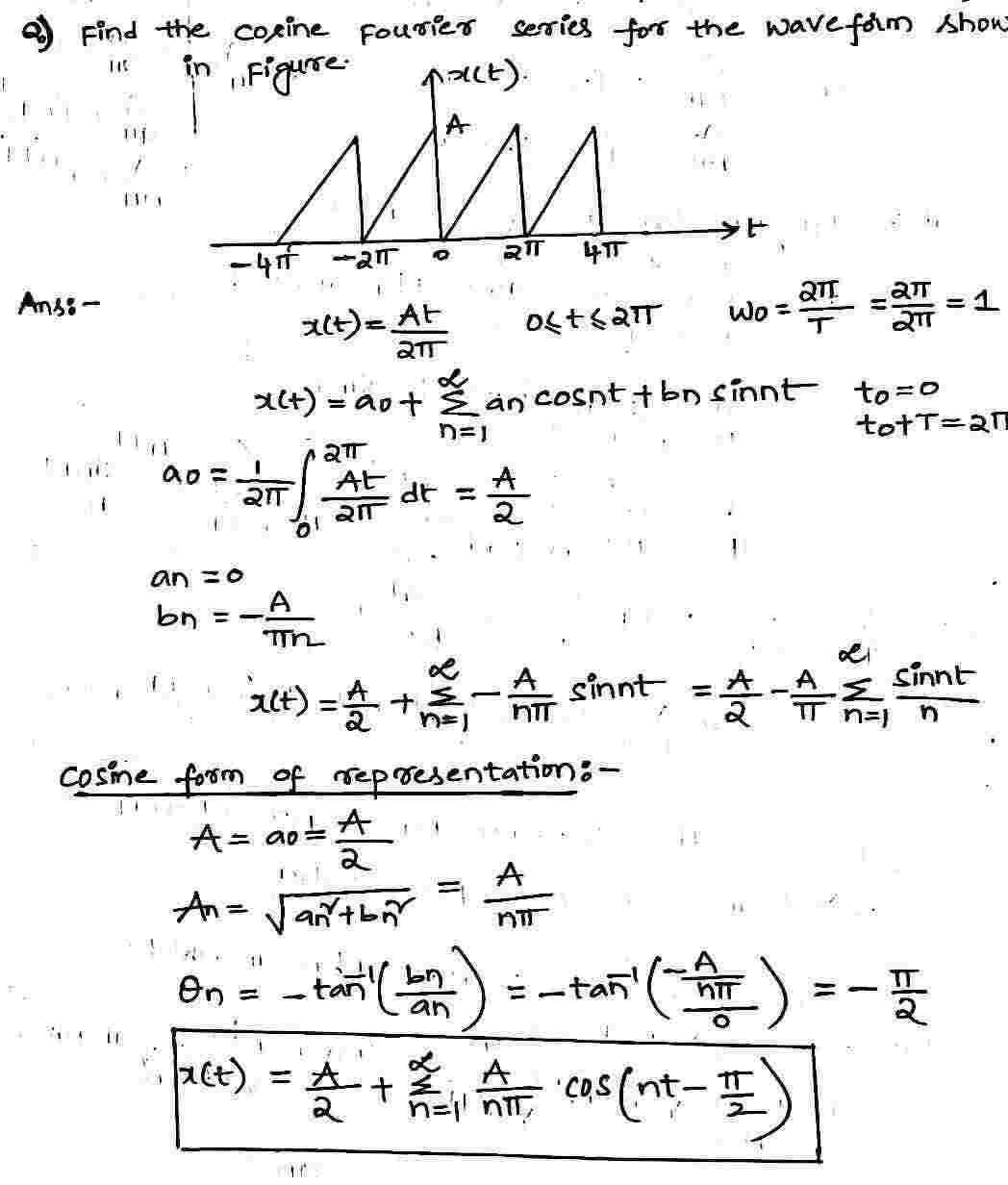
    Evaluation_of_fourier_Coefficients Evaluation_of_fourier_Coefficients Evaluation_of_fourier_Coefficients Evaluation_of_fourier_Coefficients Evaluation_of_fourier_Coefficients Evaluation_of_fourier_Coefficients Evaluation_of_fourier_Coefficients

    Cosine Representation (Alternate Form of the Trigonometric Representation)

    Cosine_Representation Cosine_Representation Cosine_Representation

    Wave Symmetry

    Wave_Symmetry

    Even or Mirror Symmetry

    Even_or_Mirror_Symmetry Even_or_Mirror_Symmetry

    Odd or Rotation Symmetry

    Odd_or_Rotation_Symmetry

    Half Wave Symmetry

    Half_Wave_Symmetry

    Quarter Wave Symmetry

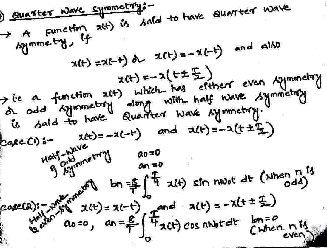
    Quarter_Wave_Symmetry Quarter_Wave_Symmetry Quarter_Wave_Symmetry Quarter_Wave_Symmetry Quarter_Wave_Symmetry Quarter_Wave_Symmetry Quarter_Wave_Symmetry

    Exponential Fourier Series

    Exponential_Fourier_Series

    Determination of the Coefficients of Exponential Fourier Series

    Determination_of_the_Coefficients_of_Exponential_Fourier_Series Determination_of_the_Coefficients_of_Exponential_Fourier_Series Determination_of_the_Coefficients_of_Exponential_Fourier_Series

    Trigonometric Fourier Series from Exponential Fourier Series

    Trigonometric_Fourier_Series_from_Exponential_Fourier_Series

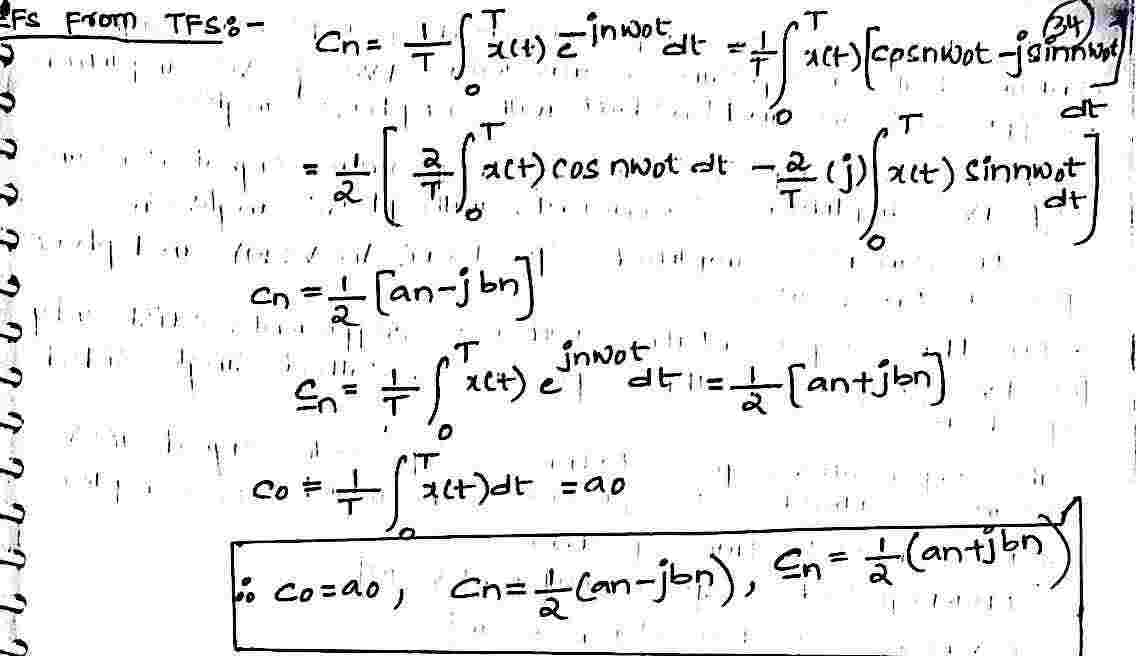
    Cosine Fourier Series from Exponential Fourier Series

    Cosine_Fourier_Series_from_Exponential_Fourier_Series

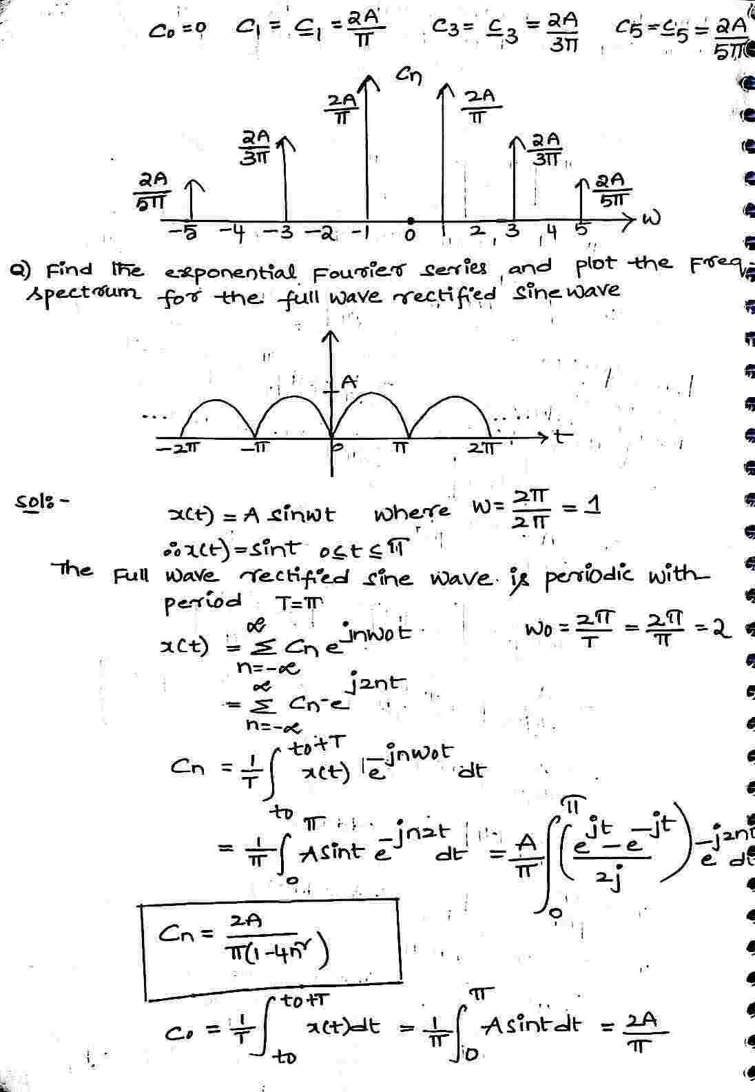
    Fourier Spectrum

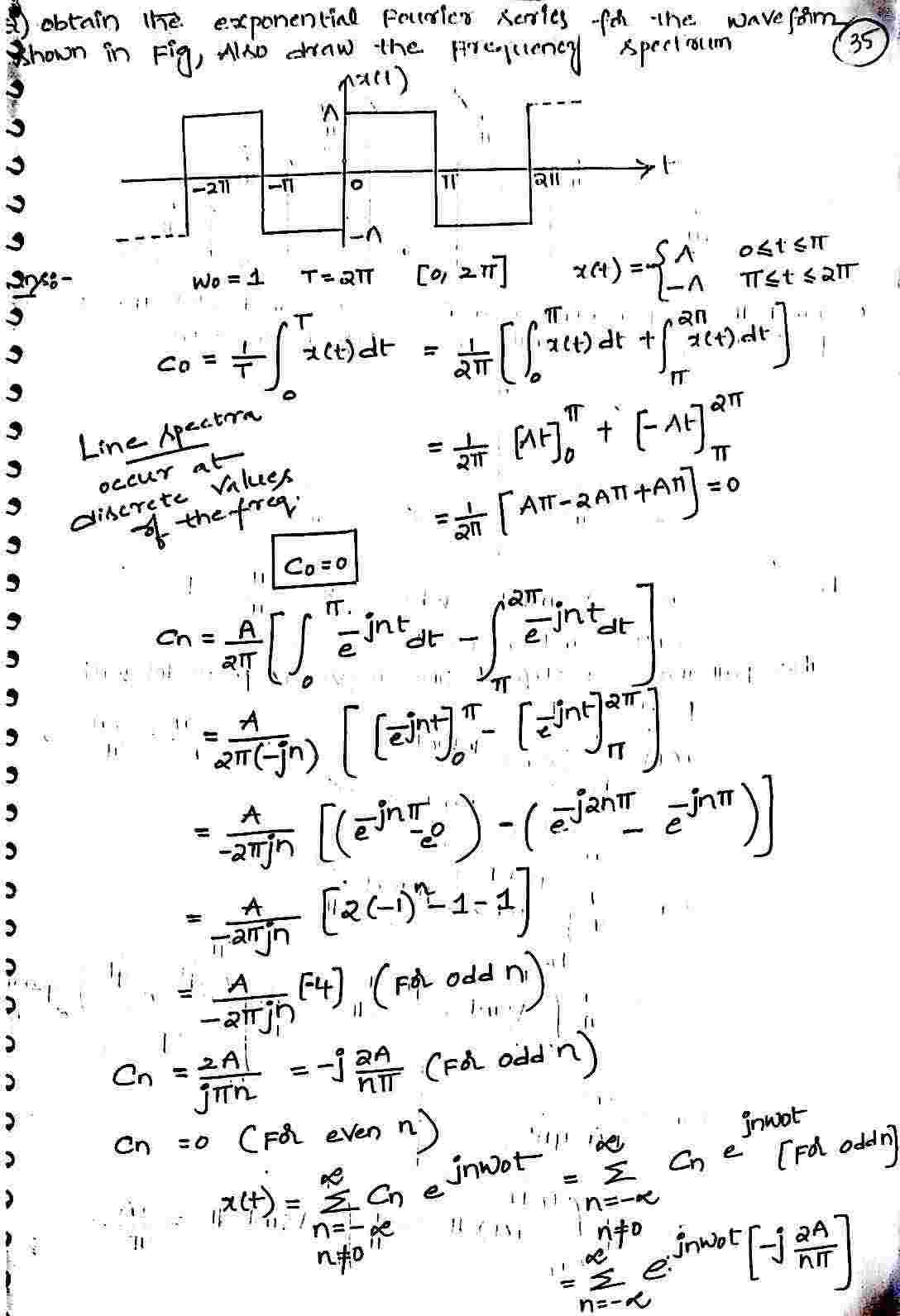
    Fourier_Spectrum Fourier_Spectrum Fourier_Spectrum Fourier_Spectrum Fourier_Spectrum Fourier_Spectrum

    Properties of Continuous-Time Fourier Series

    Properties_of_Continuous-Time_Fourier_Series

    Linearity Property

    Linearity_Property

    Time Shifting Property

    Time_Shifting_Property

    Time Reversal Property

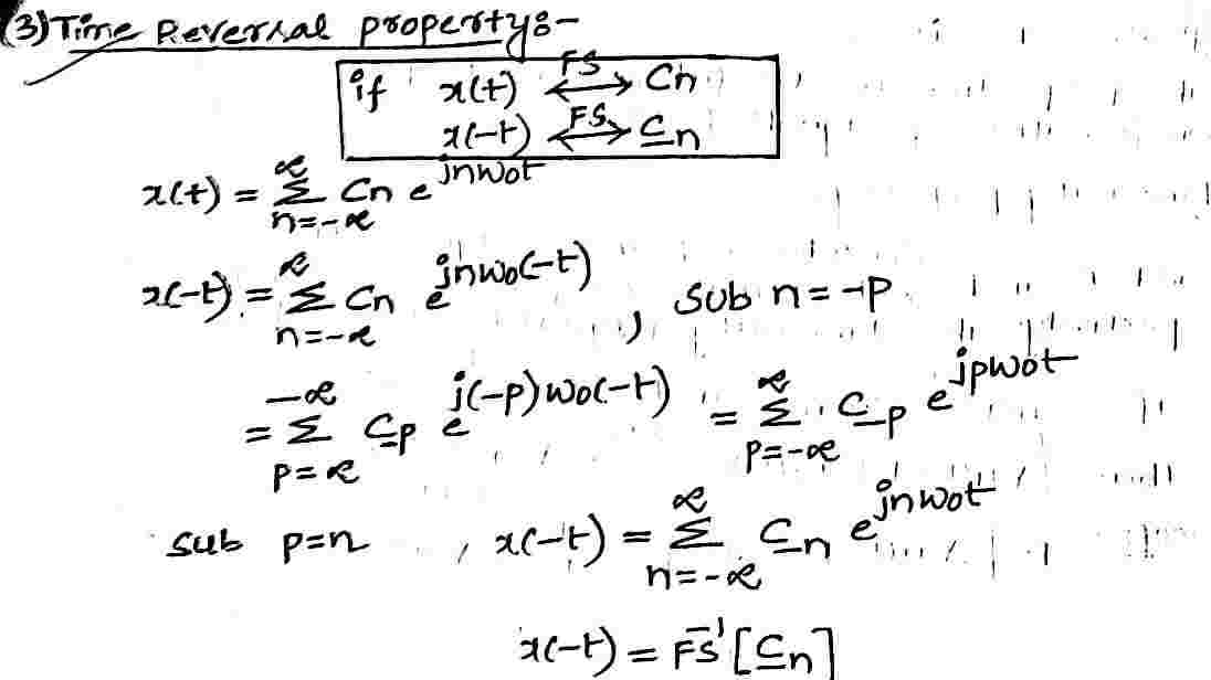
    Time_Reversal_Property

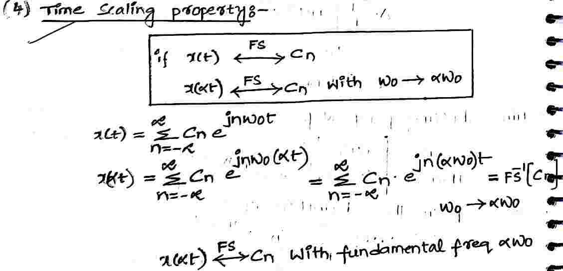
    Time Scaling Property

    Time_Scaling_Property

    Time Differentiation Property

    Time_Differentiation_Property

    Time Integration Property

    Time_Integration_Property

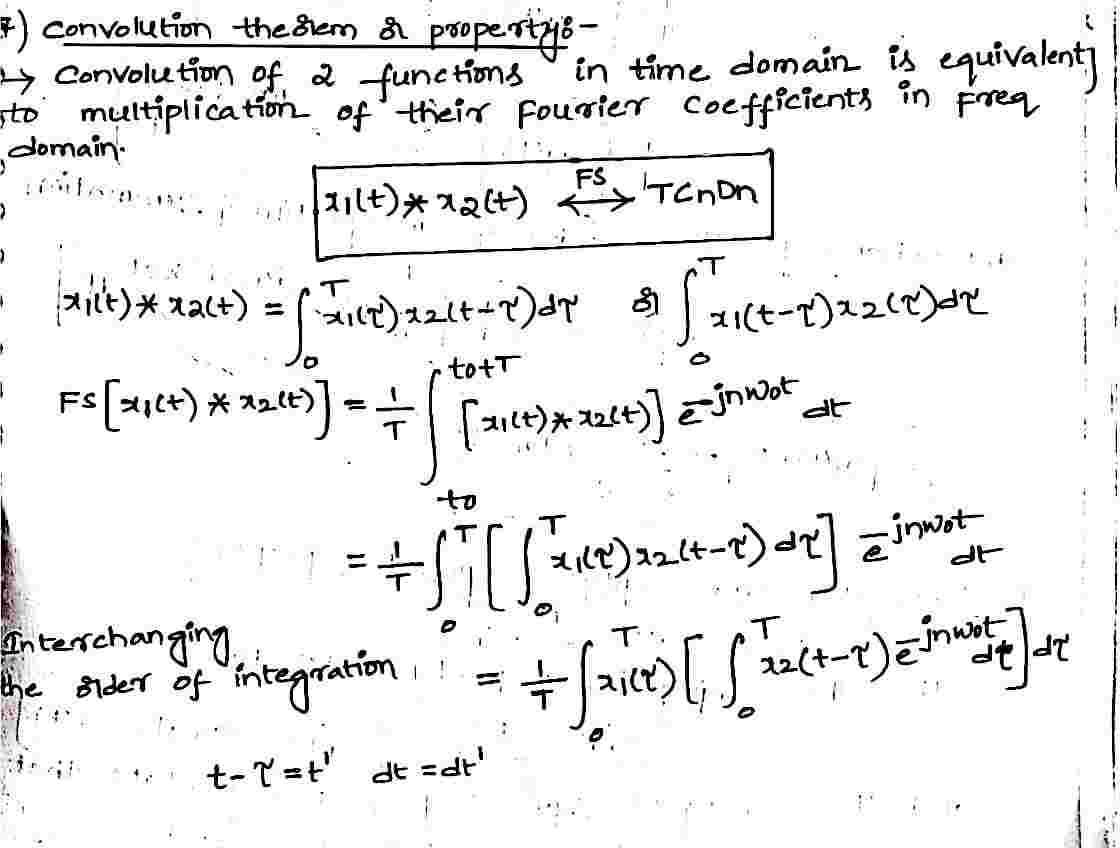
    Convolution Theorem or Property

    Convolution_Theorem_or_Property

    Modulation or Multiplication Property

    Modulation_or_Multiplication_Property

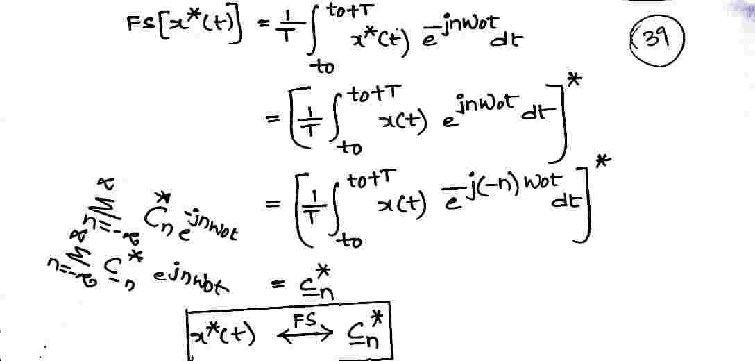
    Conjugation and Conjugate Symmetry Property

    Conjugation_and_Conjugate_Symmetry_Property Conjugation_and_Conjugate_Symmetry_Property

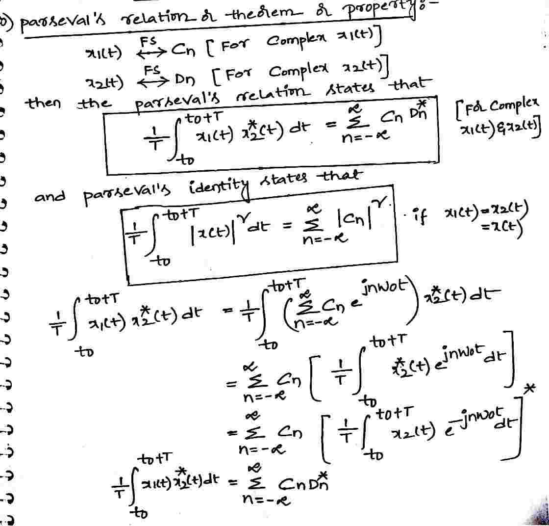
    Parseval’s Relation or Theorem or Property

    Parseval's_Relation_or_Theorem_or_Property
    logo