Close ×
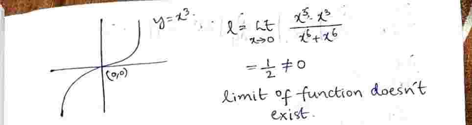
Limits and Continuity
Partial Differentiation
Euler's theorem
Chain Rule of Partial Differentiation
Jacobian
Taylor Series
Maxima and Minima
Lagranges Method of Multiplier
Close ×
GENERAL ENGG SUBJECTS
ECE
𝞹
☯
Next ❯
Limits_and_Continuity