Close ×
Laplace Transform Basics
Laplace Transform_of_piecewise_continuous
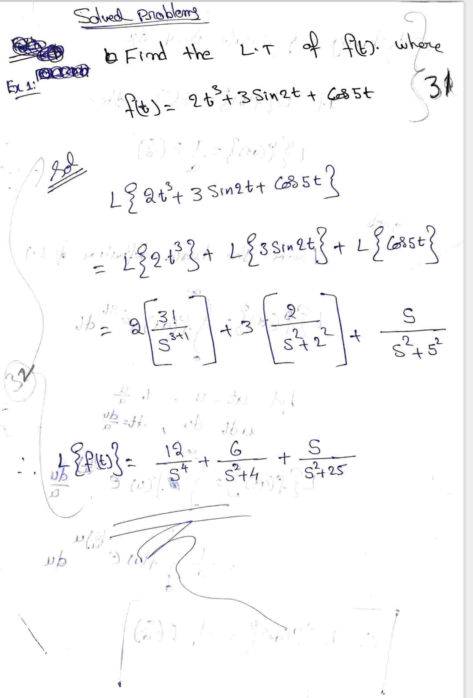
Linearity Property
Change Of Scale Property
First Shifting Property
LT Of Derivatives
LT Of Integral Of A Function
Multiplication By t Property
Division By t Property
Second Shifting Property
LT Of Dirac's Delta Function
LT of Periodic Function
Initial Value Theorem
Final Value Theorem
convolution Theorem
Inverse Laplace Transform
Inverse Laplace transform by partial fraction method
Application of Laplace transform
Close ×
GENERAL ENGG SUBJECTS
ECE
𝞹
☯
Next ❯
❮ Previous
Linearity Property