logo
course index page index

Dielectric properties

LIST OF PAGE CONTENT

  • Introduction
  • Dielectric Constant
  • Polarization of Dielectrics
  • Dielectric susceptibility
  • Displacement Vector (or) Gauss Law in Dielectric
  • Types of Polarization
  •       Electronic Polarization
          Ionic Polarization
  • The Internal Field
  • Clausius-Mosotti Equation
  • Piezoelectricity
  • Ferroelectricity
  • Pyroelectricity
  • Introduction

    Introduction

    Dielectric Constant

    Dielectric Constant Dielectric Constant

    Polarization of Dielectrics

    Polarization of Dielectrics Polarization of Dielectrics Polarization of Dielectrics

    Dielectric susceptibility

    Dielectric susceptibility Dielectric susceptibility Dielectric susceptibility

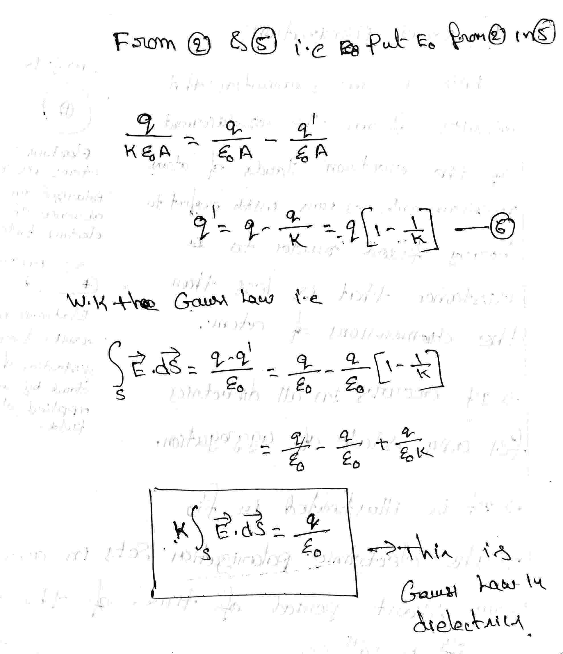
    Displacement Vector (or) Gauss Law in Dielectric

    Displacement Vector (or) Gauss Law in Dielectric Displacement Vector (or) Gauss Law in Dielectric Displacement Vector (or) Gauss Law in Dielectric

    Types of Polarization

    Types of Polarization

    Electronic Polarization

    Relative Permeability

    Ionic Polarization

    Ionic Polarization Ionic Polarization

    The Internal Field

    The Internal Field The Internal Field The Internal Field

    Clausius-Mosotti Equation

    Clausius-Mosotti Equation Clausius-Mosotti Equation

    Piezoelectricity

    Piezoelectricity Piezoelectricity Piezoelectricity

    Ferroelectricity

    Ferroelectricity Ferroelectricity

    Pyroelectricity

    Pyroelectricity Pyroelectricity
    logo