logo
𝞹
course index page index

Realization

LIST OF PAGE CONTENT

  • Introduction
  • Realization of IIR Systems
  • Direct form-1 Structure
  •       Limitations of Direct Form-1
  • Direct Form-2 Structure
  •       Limitations of Direct Form-2
  • Cascade form of Realization
  • Parallel form Of Realization
  • Example

  • Introduction

    Introduction Introduction

    Realization of IIR Systems

    Realization of IIR Systemse

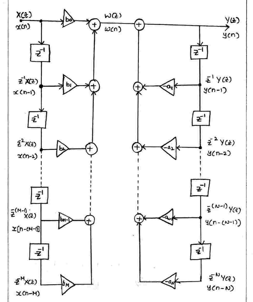
    Direct form-1 Structure

    Direct form-1 Structure Direct form-1 Structure

    Limitations of Direct Form-1

    Limitations of Direct Form-1 Limitations of Direct Form-1

    Direct Form-2 Structure

    Direct Form-2 Structure Direct Form-2 Structure Direct Form-2 Structure

    Limitations of Direct Form-2

    Limitations of Direct Form-2

    Cascade form of Realization

    Cascade form of Realization Cascade form of Realization

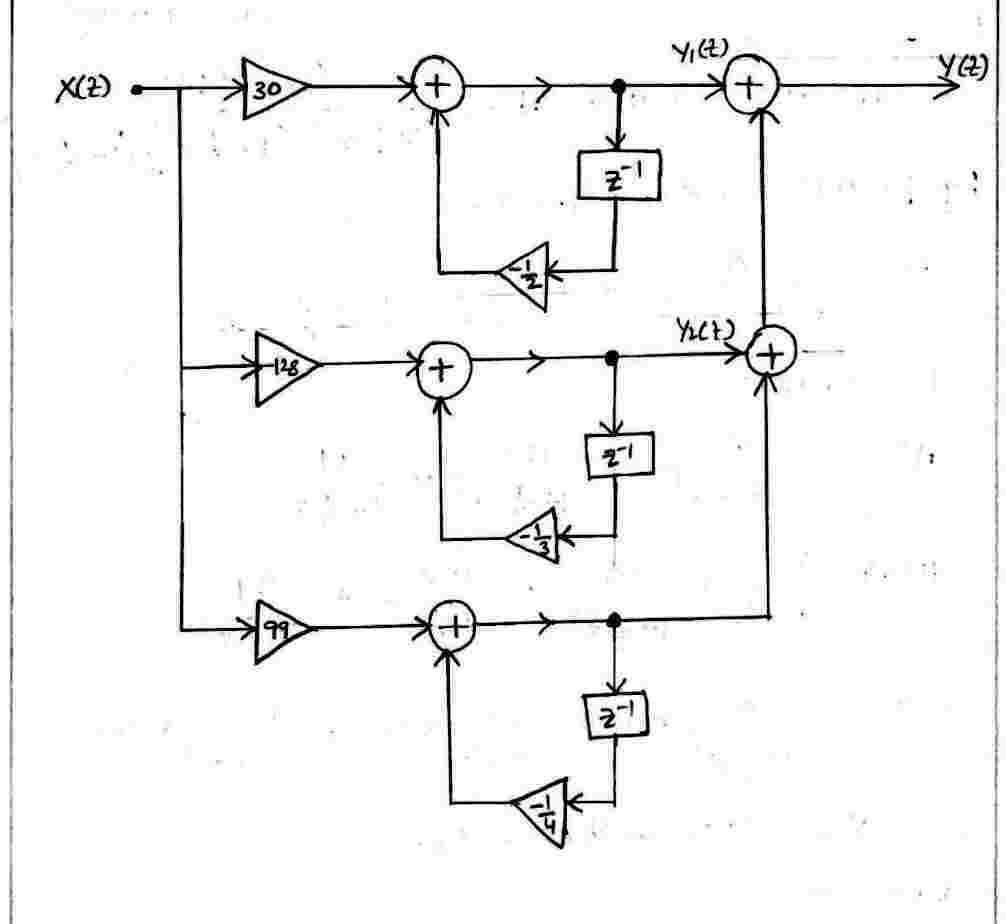
    Parallel form Of Realization

    Parallel form Of Realization Parallel form Of Realization

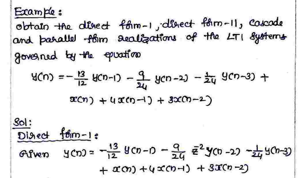
    Example

    Example Example Example Example Example Example
    logo