logo
index

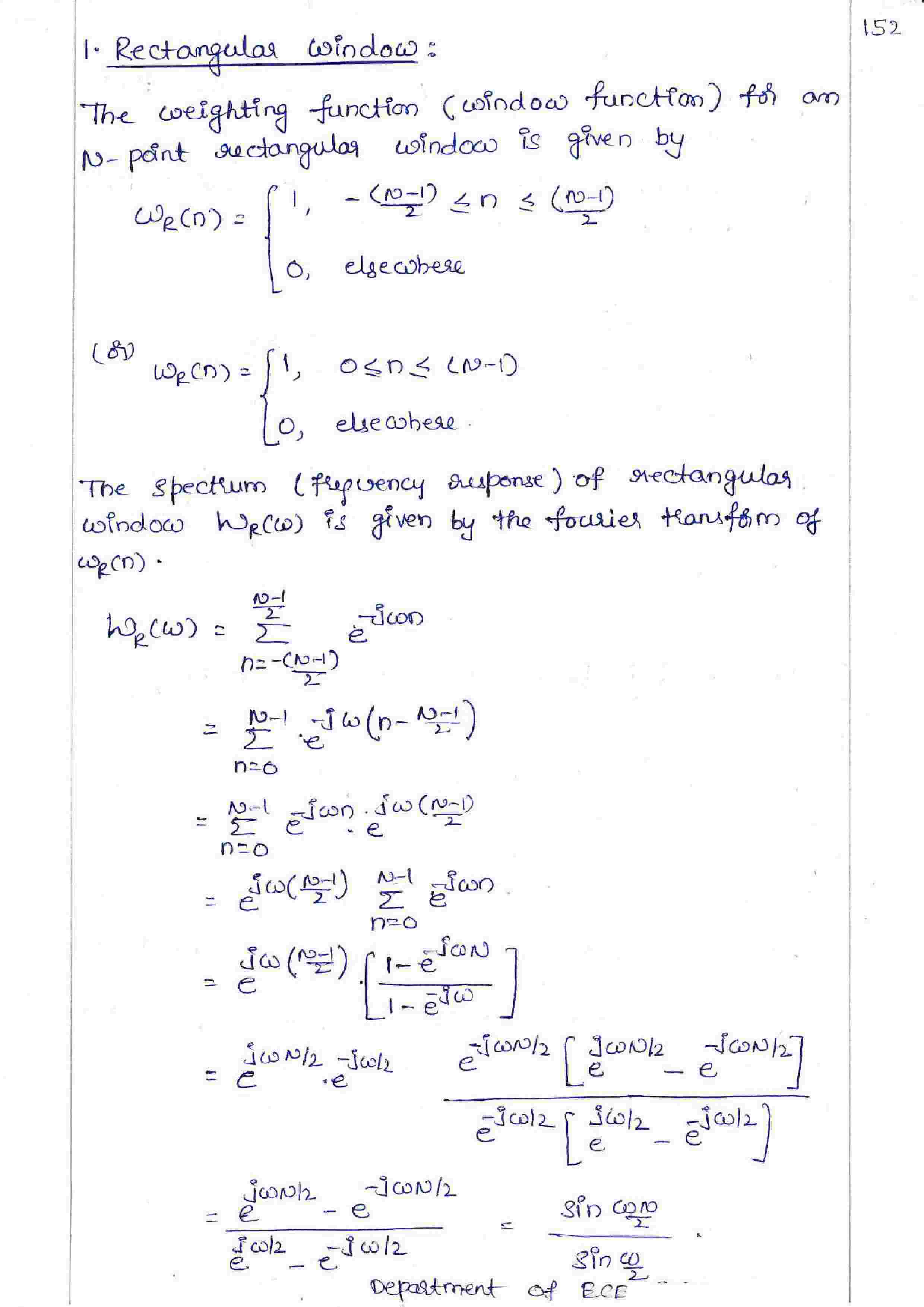
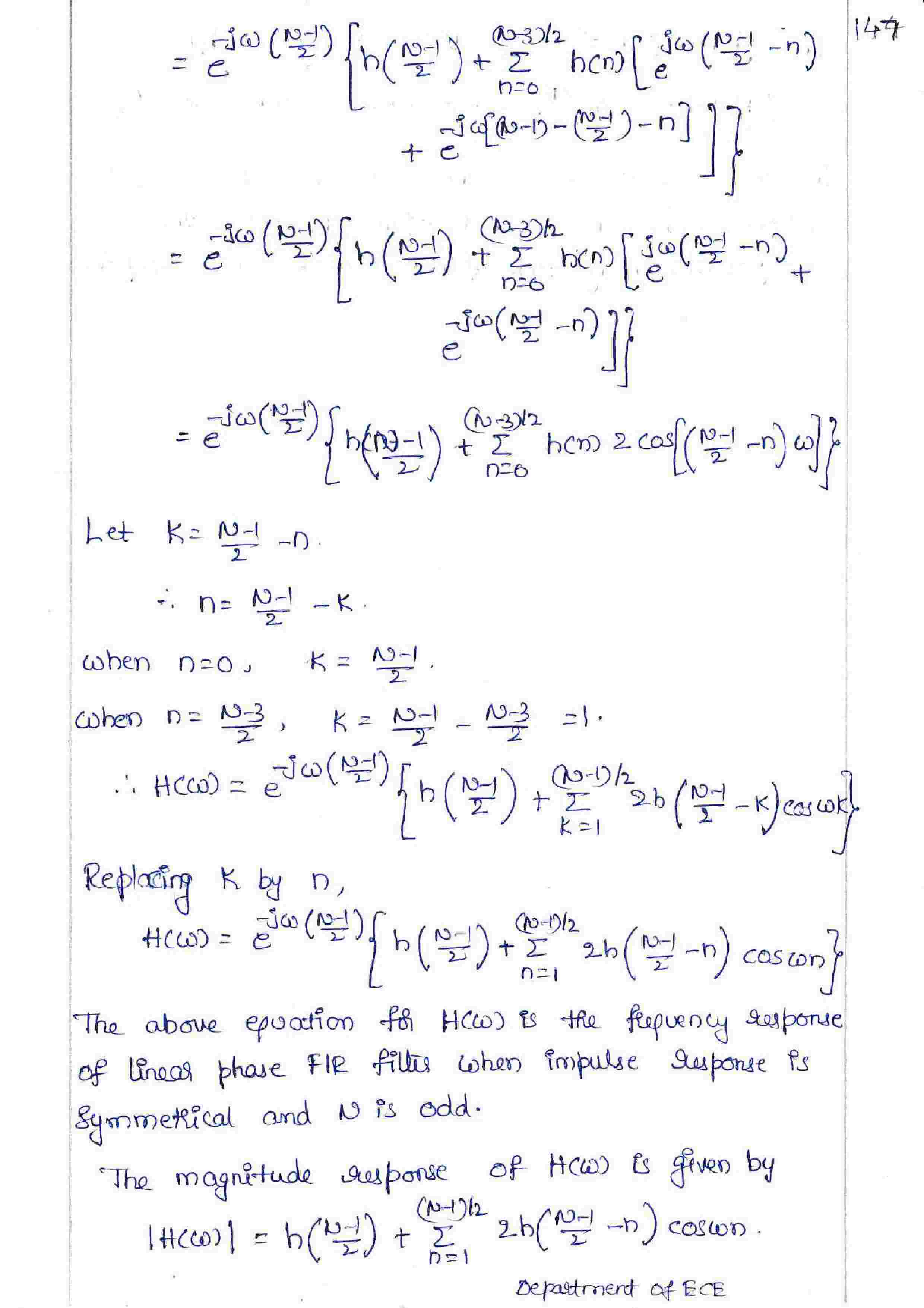
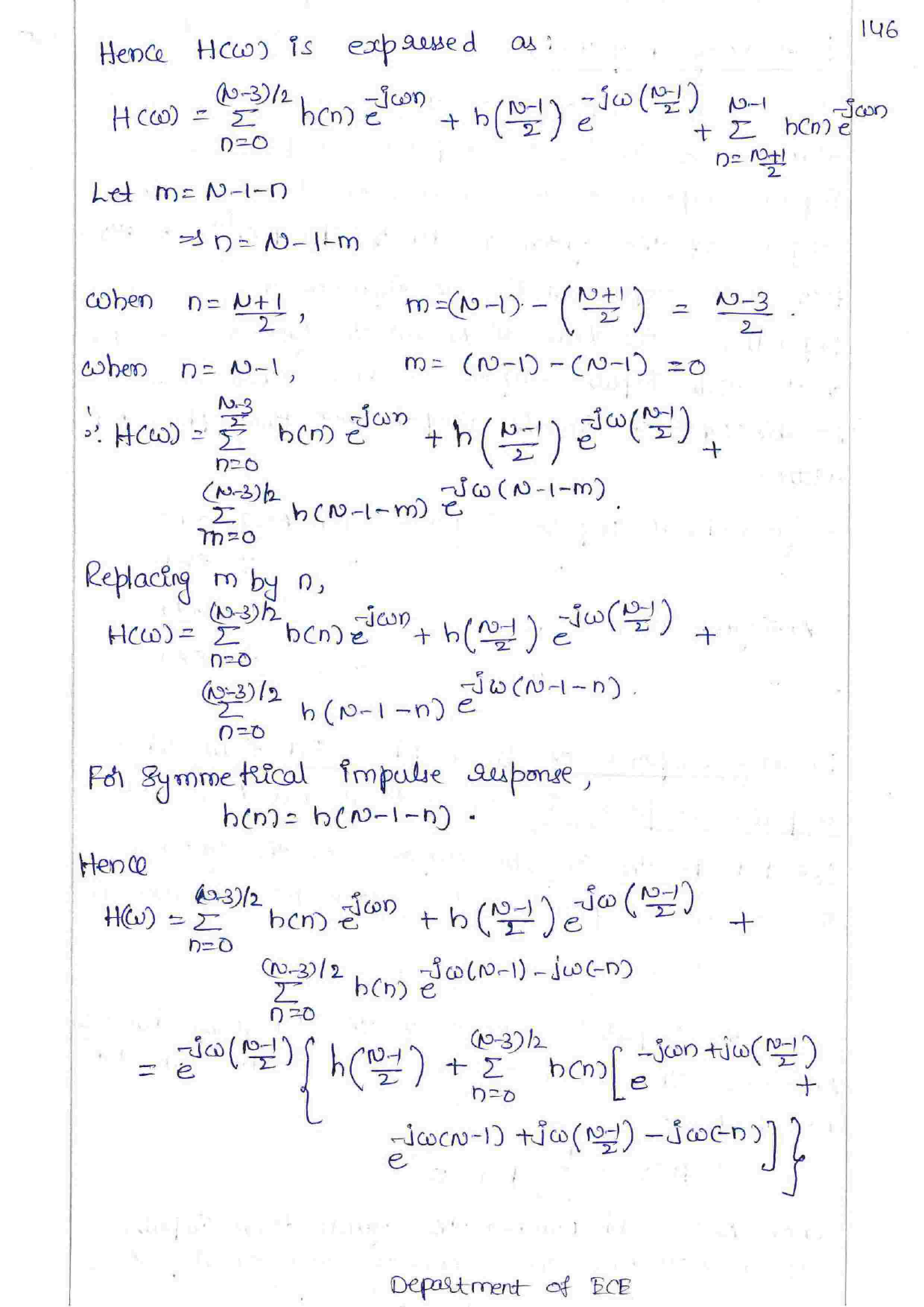
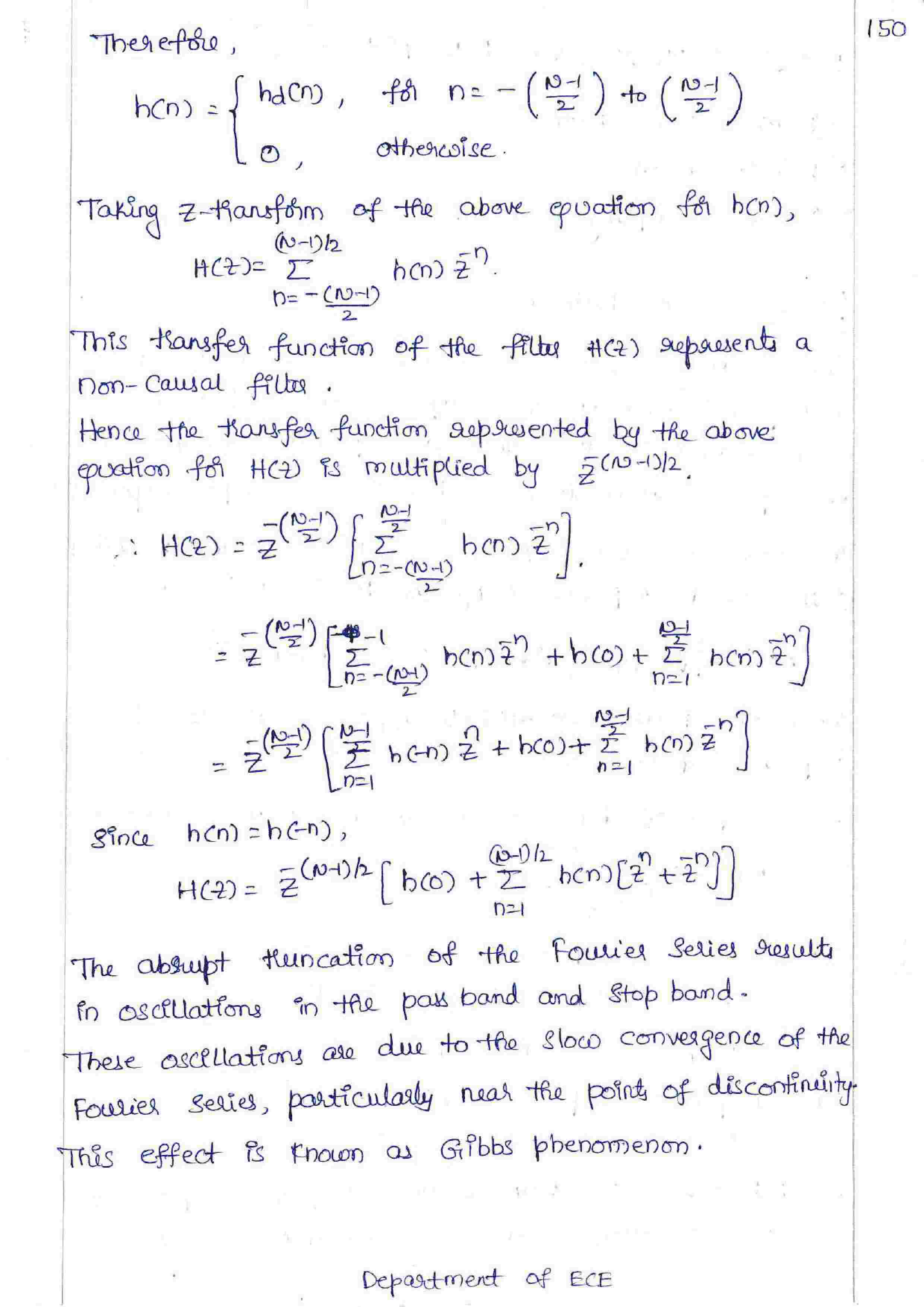
FIR FILTERS

Dynamic programming in DAA Dynamic programming in DAA Dynamic programming in DAA Dynamic programming in DAA Dynamic programming in DAA Dynamic programming in DAA Dynamic programming in DAA Dynamic programming in DAA Dynamic programming in DAA Dynamic programming in DAA Dynamic programming in DAA Dynamic programming in DAA Dynamic programming in DAA Dynamic programming in DAA Dynamic programming in DAA Dynamic programming in DAA Dynamic programming in DAA Dynamic programming in DAA Dynamic programming in DAA Dynamic programming in DAA Dynamic programming in DAA Dynamic programming in DAA
logo