logo
𝞹
course index page index

Discrete Time Singnals and Systerms

LIST OF PAGE CONTENT

  • Introduction
  • Applications of Digital Signal Processors
  • Advantages of DSP Over Analog Signal Processing
  • Discrete Time Signals - Sequences
  •       Examples of Sequences
  • Introduction of Systems
  • Classification
  •       Static and Dynamic Systems
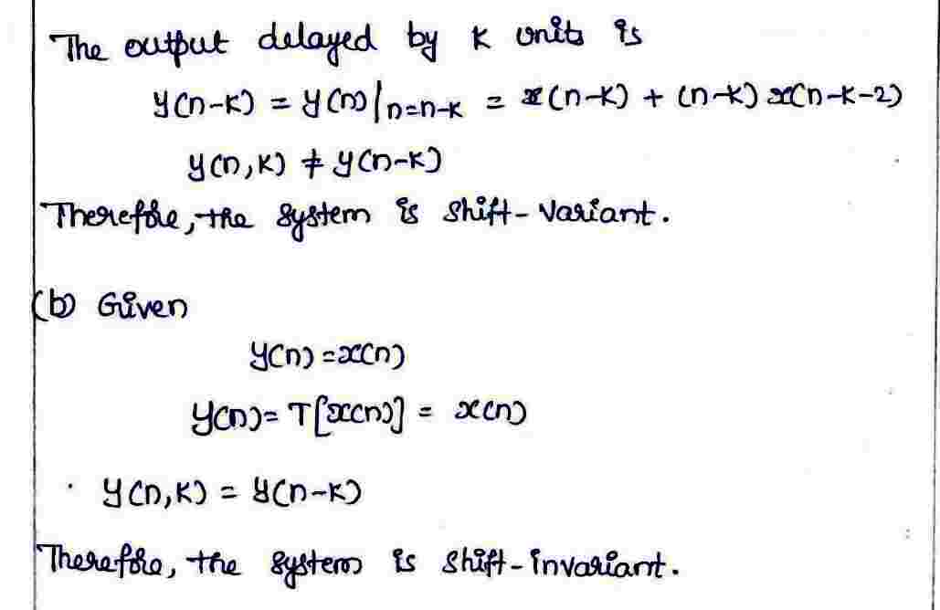
          Causal and Non-Causal Systems
          Problem
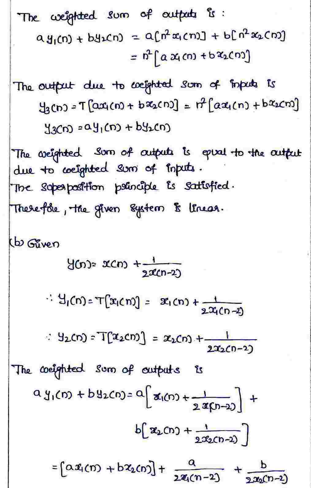
          Linear and Non-Linear Systems
          Time in Variant and Time Varying Systems
          Stable and Unstable Systems
          Linear Shift-Invariant Systems
  • Stability and Causality
  • Linear Constant-Coefficient Difference Equations
  • Frequency-domain Representation of Discrete-Time Signal and Systems
  • Applications of Z Transform
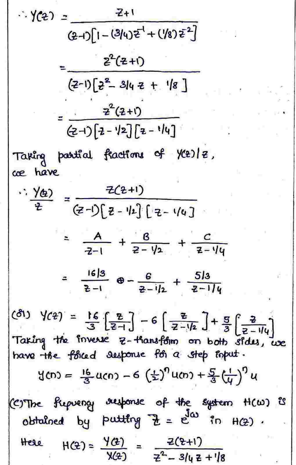
  •       Example
  • System function and Impulse Response
  • Stability and causality
  • Frequency Response
  •       Properties of Frequency Response
          Example

    Introduction

    Introduction Introduction

    Applications of Digital Signal Processors

    Applications of Digital Signal Processors

    Advantages of DSP over Analog Signal Processing

    Advantages of Digital over Analog Signal Processing Advantages of Digital over Analog Signal Processing

    Discrete Time Signals - Sequences

    Discrete Time Signals - Sepvences

    Examples of Sequences

    Examples of Sepvences

    Introduction of Systems

    Introduction of Systerms

    Classification

    Static and Dynamic systerms Static and Dynamic systerms

    Causal and Non-Causal Systems

    Causal and Non-Causal Systerms

    Problem

    Problem Problem

    Linear and Non-Linear Systems

    Linear and Non-Linear Systerms Linear and Non-Linear Systerms Linear and Non-Linear Systerms Linear and Non-Linear Systerms Linear and Non-Linear Systerms

    Time in Variant and Time Varying Systems

    Shift-in Variant and Shift-Varying Systerms Shift-in Variant and Shift-Varying Systerms Shift-in Variant and Shift-Varying Systerms Shift-in Variant and Shift-Varying Systerms

    Stable and Unstable Systems

    Stable and Unstable Systerms Stable and Unstable Systerms

    Linear Shift-Invariant Systems

    Linear Shift-Invariant Systerms Linear Shift-Invariant Systerms

    Stability and Causality

    Stability and Causality Stability and Causality

    Linear Constant-Coefficient Difference Equations

    Linear Constant-Coefficient Difference Epvations Linear Constant-Coefficient Difference Epvations Linear Constant-Coefficient Difference Epvations

    Frequency-domain Representation of Discrete-Time Signal and Systems

    Frequency-domain Representation of Discrete-Time Signal and Systerms Frequency-domain Representation of Discrete-Time Signal and Systerms Frequency-domain Representation of Discrete-Time Signal and Systerms

    Applications of Z Transform

    Applications of Z Transform Applications of Z Transform

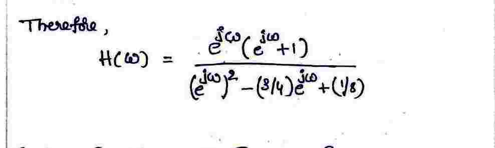
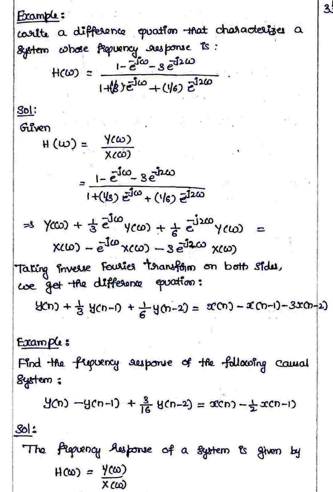
    Example

    Example Example Example Example

    System function and Impulse Responses

    Systerm function and Impulse Response Systerm function and Impulse Response

    Stability and causality

    Stability and causality Stability and causality

    Frequency Response

    Frequency Response Frequency Response

    Properties of Frequency Response

    Properties of Frepvency Response

    Example

    Example Example
    logo