logo
index

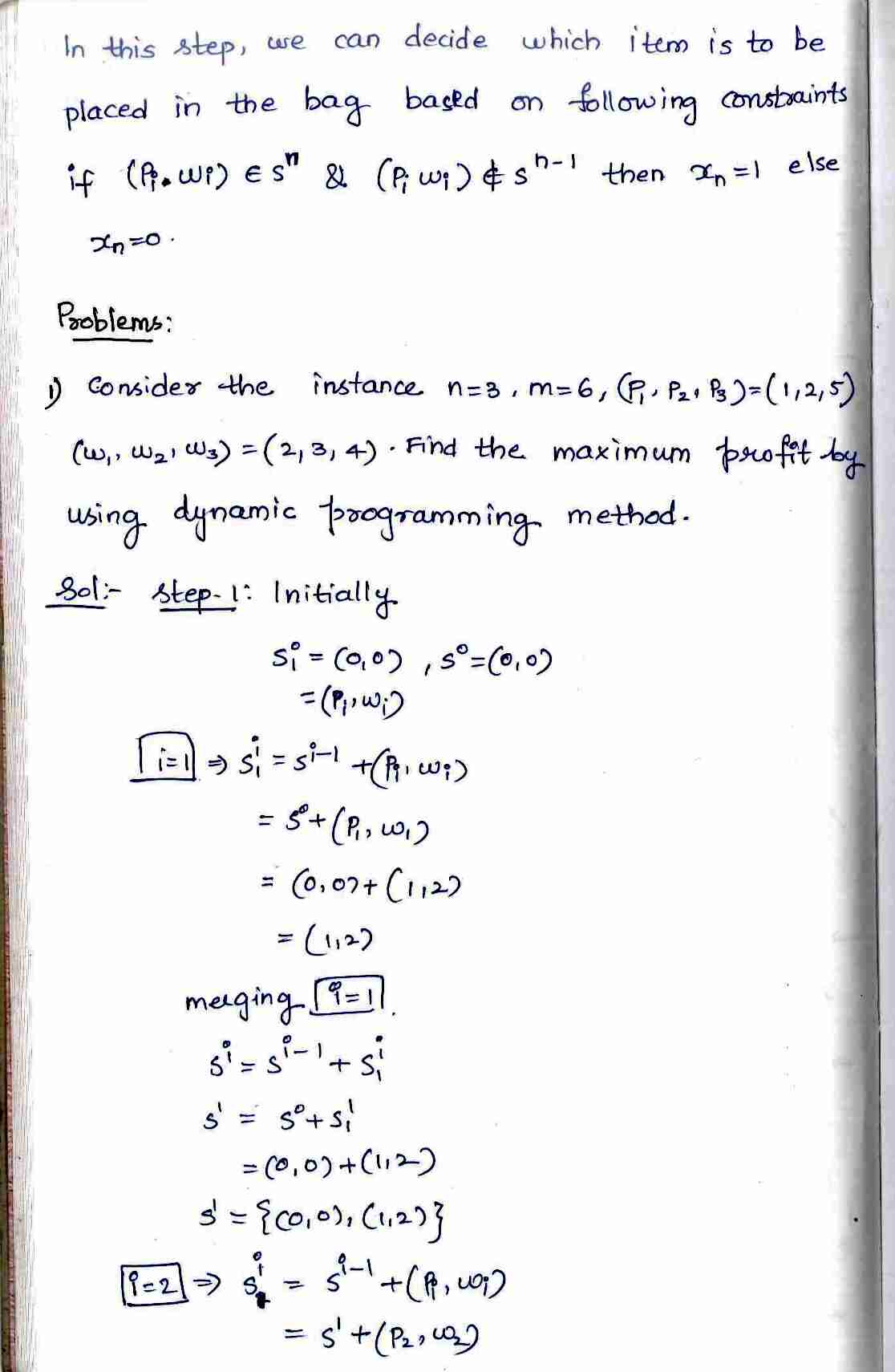
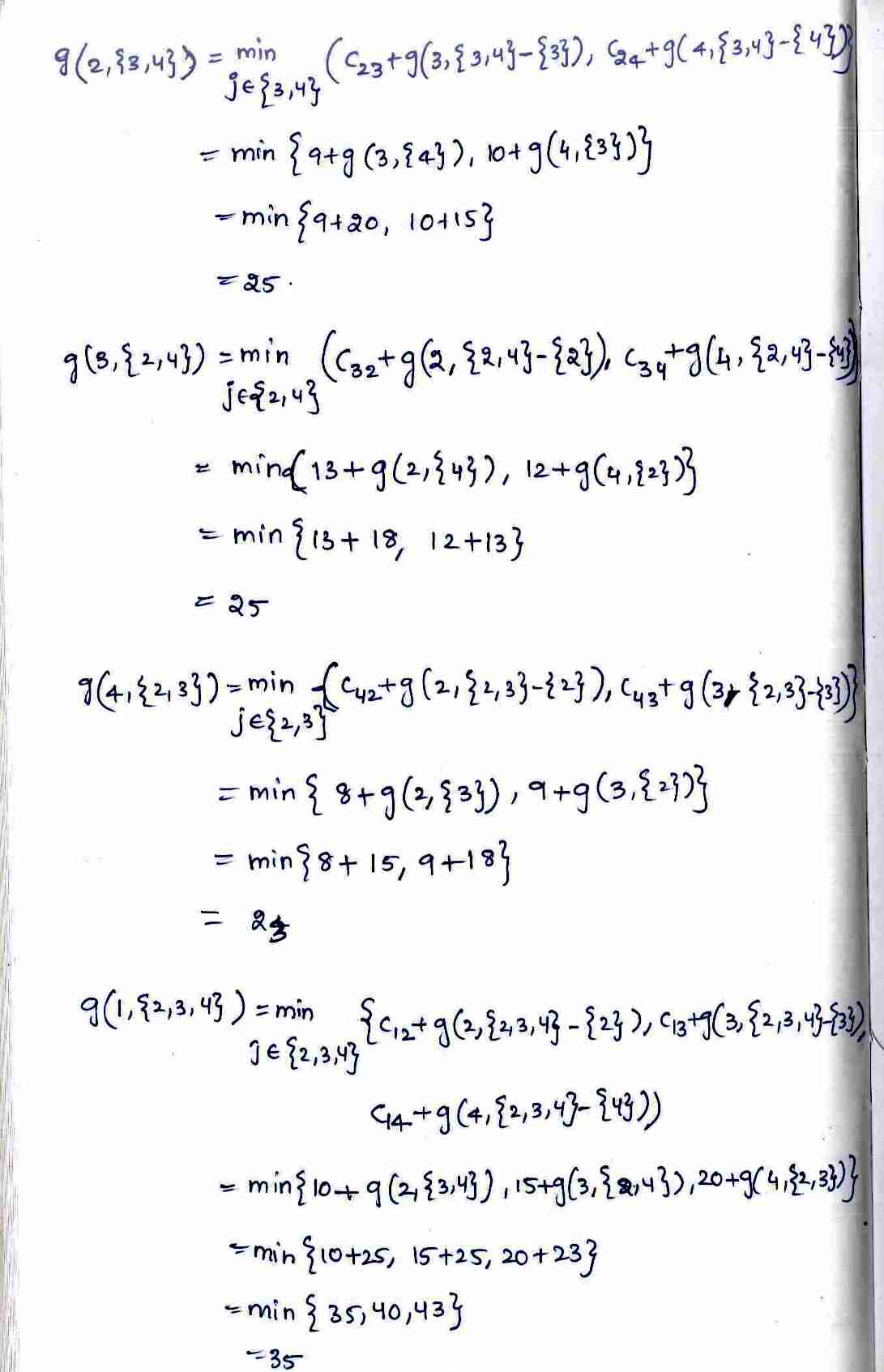
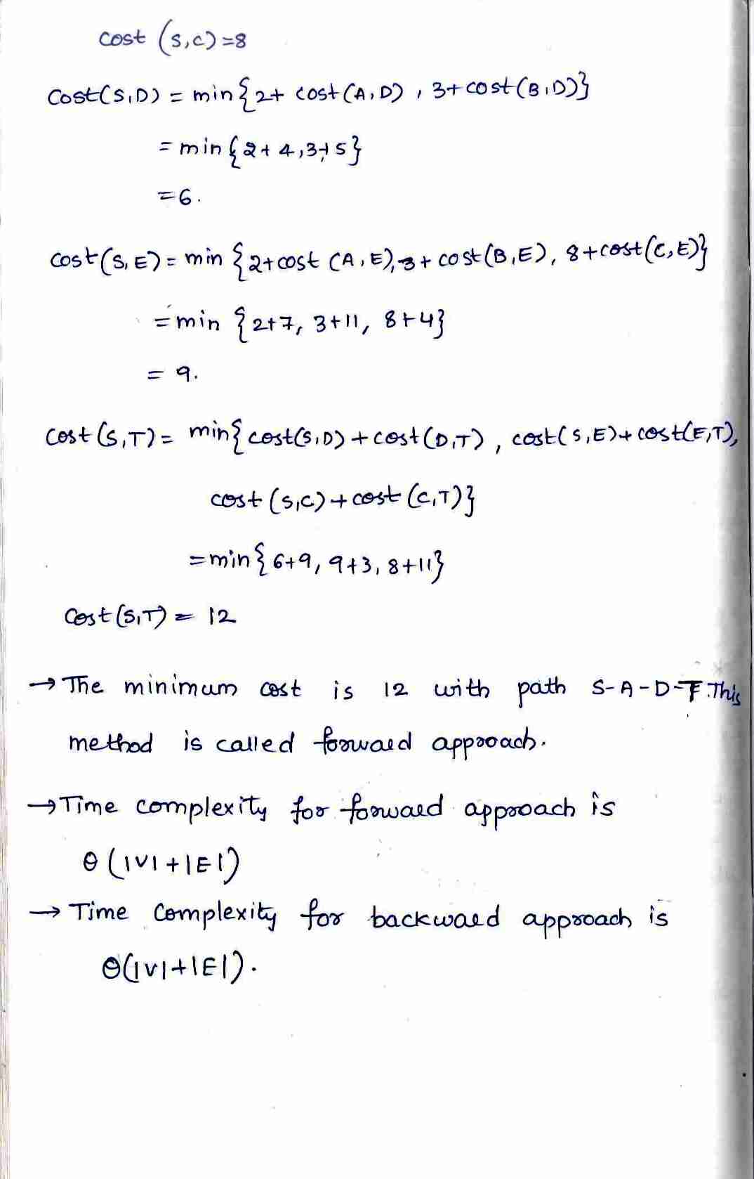
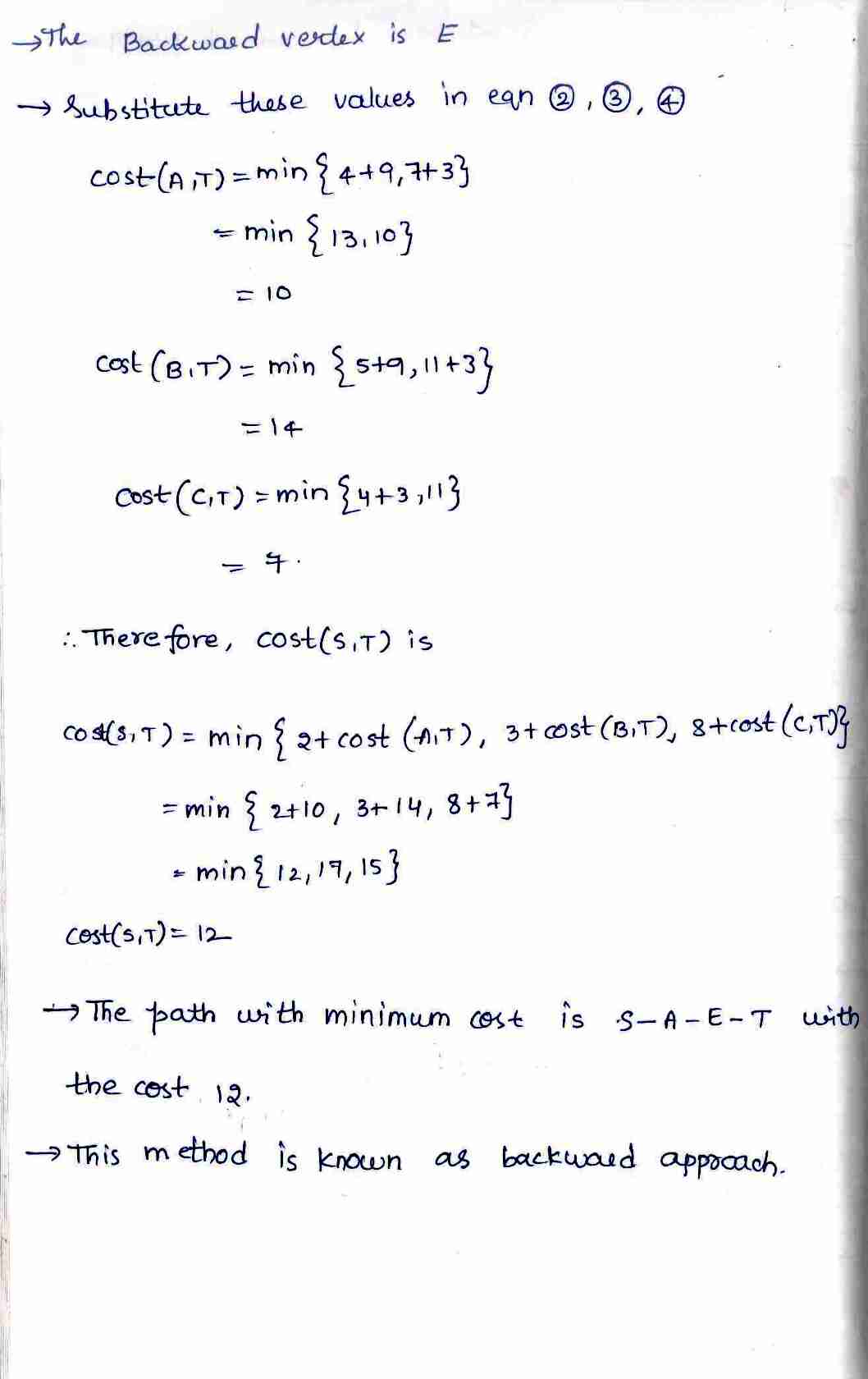
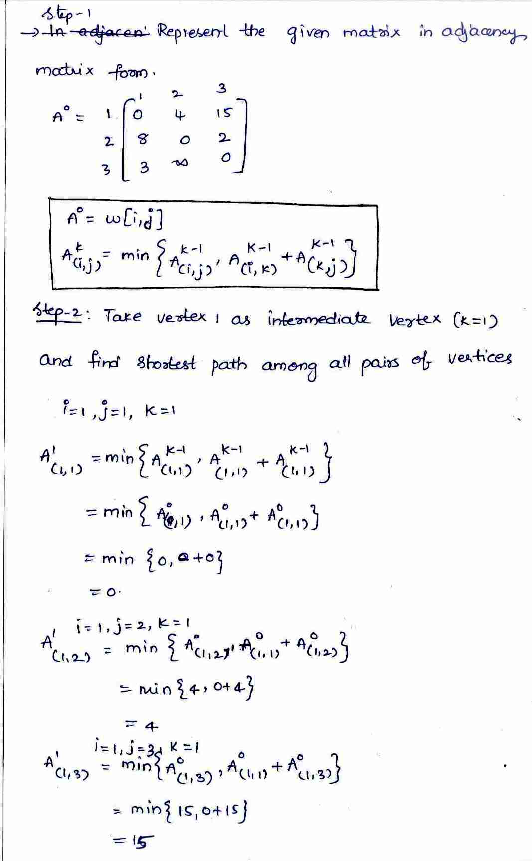
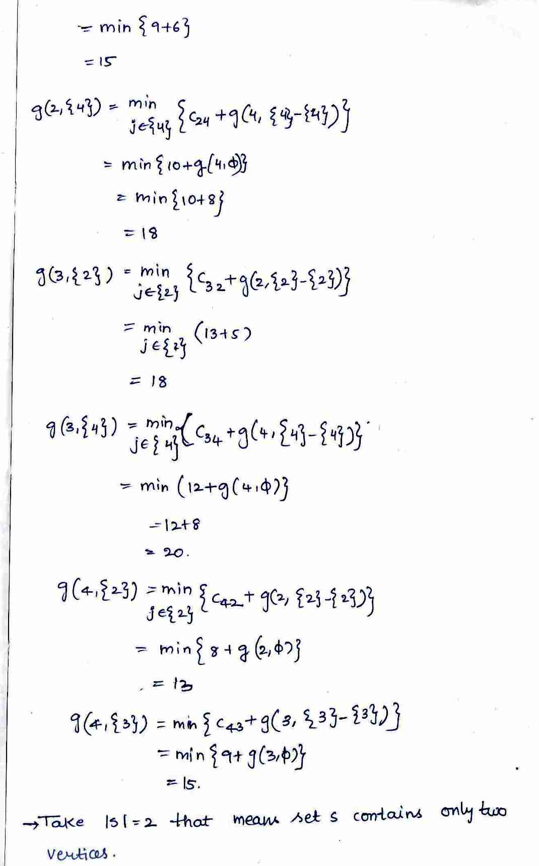
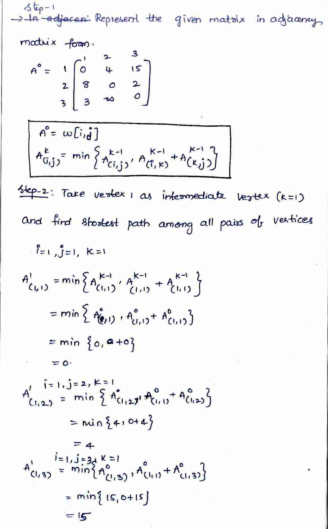
Dynamic programming

Dynamic programming in DAA Dynamic programming in DAA Dynamic programming in DAA Dynamic programming in DAA Dynamic programming in DAA Dynamic programming in DAA Dynamic programming in DAA Dynamic programming in DAA Dynamic programming in DAA Dynamic programming in DAA Dynamic programming in DAA Dynamic programming in DAA Dynamic programming in DAA Dynamic programming in DAA Dynamic programming in DAA Dynamic programming in DAA Dynamic programming in DAA Dynamic programming in DAA Dynamic programming in DAA Dynamic programming in DAA Dynamic programming in DAA Dynamic programming in DAA Dynamic programming in DAA Dynamic programming in DAA Dynamic programming in DAA Dynamic programming in DAA Dynamic programming in DAA
logo