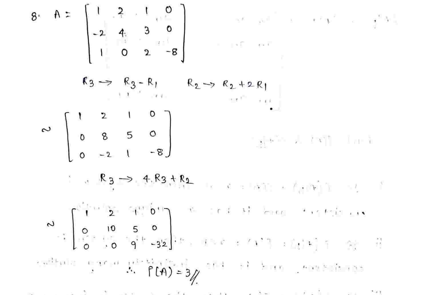
Browse handwritten PDF notes for all specializations under ENGINEERING. Click on any branch to access downloadable handwritten notes and study materials.