logo
𝞹
❮ Previous

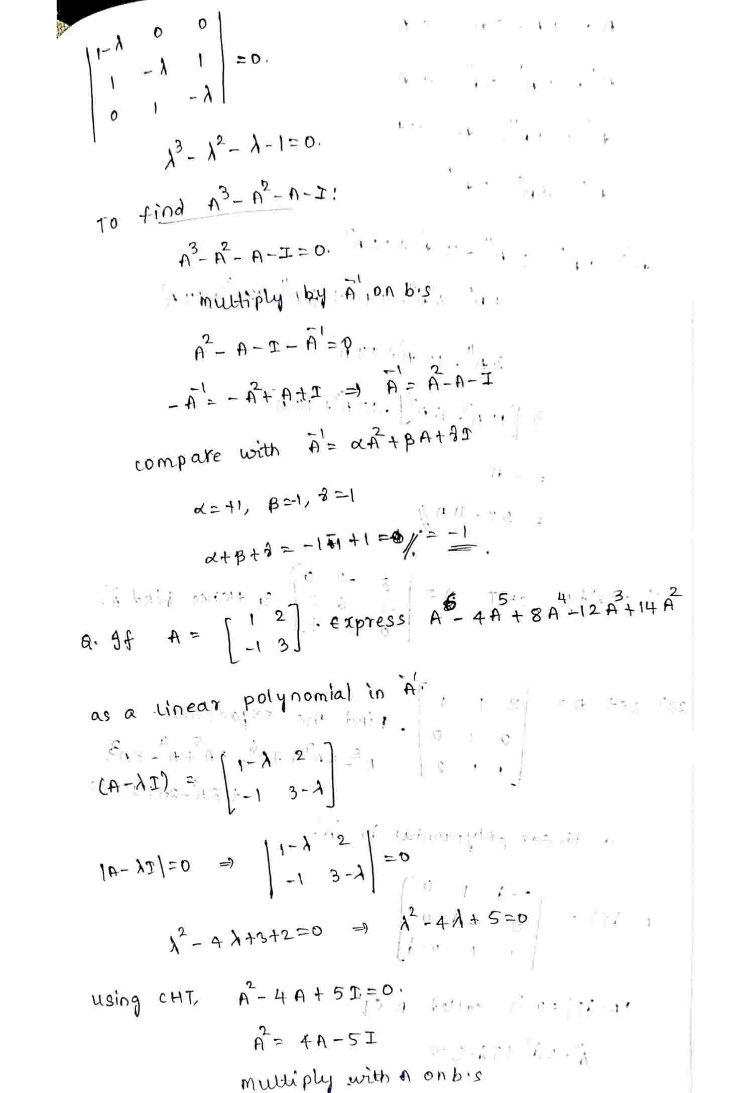
Cayley-Hamilton theorem

Cayley-Hamilton theorem Cayley-Hamilton theorem Cayley-Hamilton theorem Cayley-Hamilton theorem Cayley-Hamilton theorem
logo