logo
index

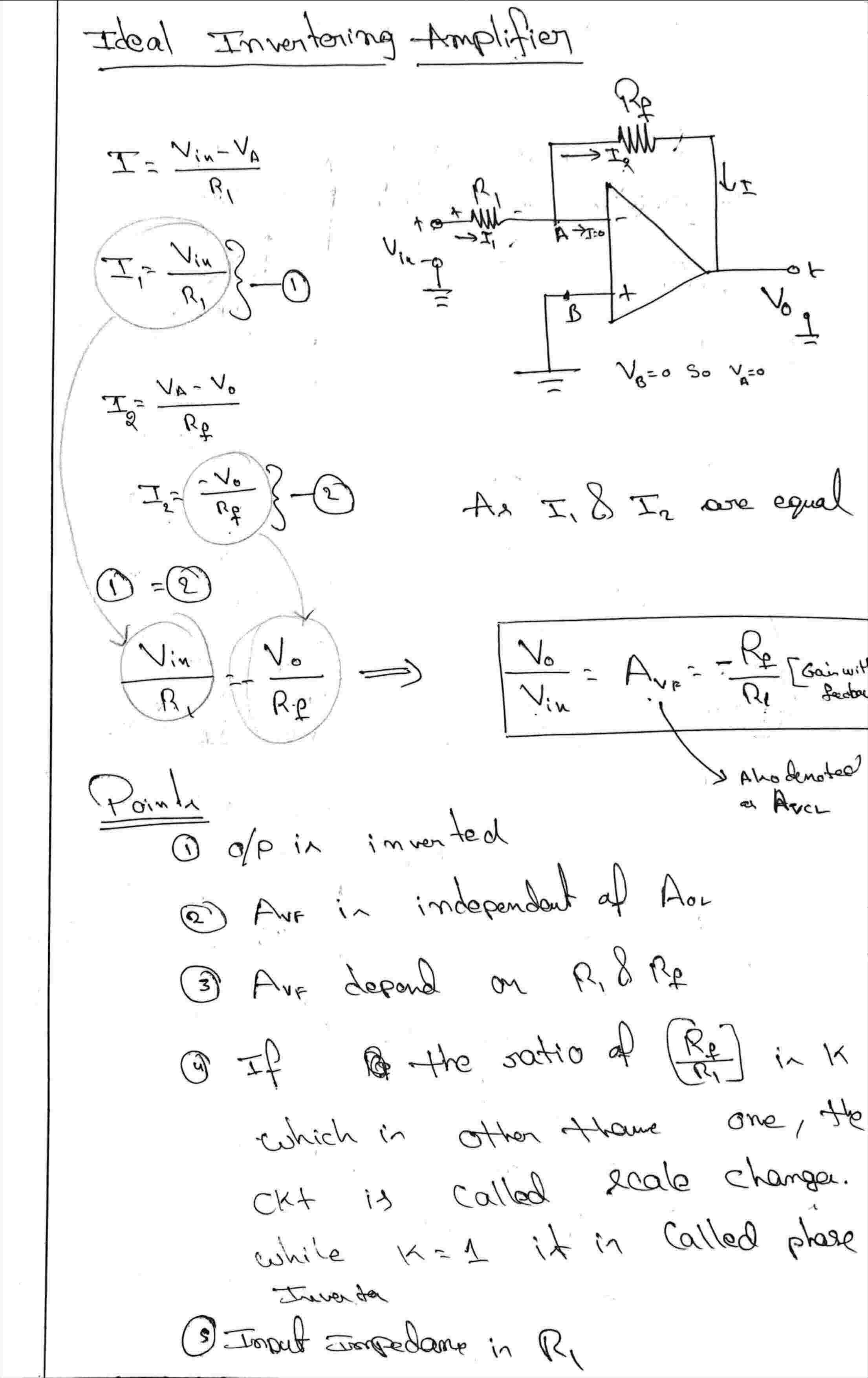
Basics Of Operational Amplifier

Basics Of Op-Amp Basics Of Op-Amp Basics Of Op-Amp Basics Of Op-Amp Basics Of Op-Amp Basics Of Op-Amp Basics Of Op-Amp Basics Of Op-Amp Basics Of Op-Amp Basics Of Op-Amp Basics Of Op-Amp Basics Of Op-Amp Basics Of Op-Amp Basics Of Op-Amp Basics Of Op-Amp Basics Of Op-Amp Basics Of Op-Amp Basics Of Op-Amp Basics Of Op-Amp Basics Of Op-Amp Basics Of Op-Amp Basics Of Op-Amp Basics Of Op-Amp Basics Of Op-Amp Basics Of Op-Amp Basics Of Op-Amp Basics Of Op-Amp Basics Of Op-Amp Basics Of Op-Amp Basics Of Op-Amp Basics Of Op-Amp Basics Of Op-Amp Basics Of Op-Amp Basics Of Op-Amp Basics Of Op-Amp Basics Of Op-Amp Basics Of Op-Amp Basics Of Op-Amp Basics Of Op-Amp Basics Of Op-Amp Basics Of Op-Amp
logo